Passive Bauelemente

Tausch von Ladespulen für die drahtlose Energieübertragung

< zurück

Seite: 6/9

Anbieter zum Thema

Oszillogramm-Aufnahmen der vier Testbedingungen

Die Oszillogramm-Aufnahmen in Bild 6 beziehen sich auf die oben beschriebenen jeweiligen Testbedingungen. In den Oszillogrammen bezeichnet Ch1 das gleichgerichtete empfangene Signal, Ch2 ist kein Signal, Ch3 ist das Empfängersignal und Ch4 der gleichgerichtete Empfängerstrom.

Bildergalerie
Bildergalerie mit 9 Bildern

Durch Analyse dieser Signale lässt sich feststellen, dass sich mit Bedingung 1 die beste Leistung erzielen lässt. Die betrachteten Kriterien sind dabei der Wirkungsgrad der Spule und die Fähigkeit zur Unterstützung des maximalen Laststroms bei gleichzeitiger Aufrechterhaltung einer möglichst hohen Spannung am empfängerseitigen Ende.

Es lässt sich erkennen, dass die Energieübertragungsleistung besser ist, wenn das Windungsverhältnis der Spule Tx zur Spule Rx 1:3 beträgt – ein niedrigeres Windungsverhältnis hat offenbar eine Abschwächung der Signalübertragung auf Empfängerseite zur Folge, weswegen kein ausreichend hoher Ladestrom erzielt werden kann. Dies ist bei den Bedingungen 2 und 3 der Fall, wo von den Spulen nicht mehr als 1,895 W bzw. 1,18 W unterstützt werden.

Deswegen ist das Windungsverhältnis von 1:3 zwischen Sender und Empfänger wichtig, entbindet aber nicht von der Auswahl einer Ferritbasis geeigneter Größe, Form und Stärke und der Anordnung der Wicklung auf der Ferritbasis.

Kreisstrom im LC-Kreis der Primär- und Sekundärspule

Der Kreisstrom im LC-Kreis der Primär- und Sekundärspule muss für einen zuverlässigen Betrieb der Schaltung geschätzt werden. Die geschätzte Spannung in der Primärspule beträgt

(Bild:  WE)
(Bild: WE)

Deswegen gilt: Vpk = 15,7 V.

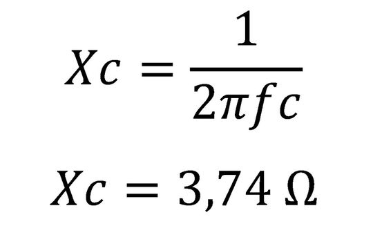
Der Blindwiderstand des 0,3-µF-Kondensators beläuft sich bei einer Frequenz von 126,3 kHz auf

(Bild:  WE)
(Bild: WE)

Der oben berechnete Wert Xc hat eine Kreisstromstärke in einer Größenordnung von ca. 4,2 A (Spitze) bzw. ca. 3 A (effektiv) zur Folge.

Aus diesem Grund sind 0,15-µF-Kondensatoren auszuwählen, die bei 126,3 kHz einen zulässigen Effektivstrom von mindestens 1,5 A bieten. Verwendet wurde der Kondensator ECHU1H154GX9 mit einem Effektivstrom von ca. 1,5 A. Ebenso unterscheidet sich der Kreisstrom bei verschiedenen Prüfbedingungen; es ergeben sich folgende Werte:

  • Bedingung 1: 2,07 Aeff,
  • Bedingung 2: 0,931 Aeff,
  • Bedingung 3: 0,459 Aeff,
  • Bedingung 4: 2,14 Aeff.

Artikelfiles und Artikellinks

(ID:44035513)

Jetzt Newsletter abonnieren

Verpassen Sie nicht unsere besten Inhalte

Mit Klick auf „Newsletter abonnieren“ erkläre ich mich mit der Verarbeitung und Nutzung meiner Daten gemäß Einwilligungserklärung (bitte aufklappen für Details) einverstanden und akzeptiere die Nutzungsbedingungen. Weitere Informationen finde ich in unserer Datenschutzerklärung. Die Einwilligungserklärung bezieht sich u. a. auf die Zusendung von redaktionellen Newslettern per E-Mail und auf den Datenabgleich zu Marketingzwecken mit ausgewählten Werbepartnern (z. B. LinkedIn, Google, Meta).

Aufklappen für Details zu Ihrer Einwilligung