Passive Bauelemente

Tausch von Ladespulen für die drahtlose Energieübertragung

< zurück

Seite: 4/9

Anbieter zum Thema

Aus diesem Grund beträgt die tatsächliche Kapazität 280 nF. Die zugehörige Schwingungsfrequenz beläuft sich auf

f0 = 130,71 kHz.

Bildergalerie
Bildergalerie mit 9 Bildern

f0 ist 0,5% höher als die ursprüngliche erforderliche Frequenz.

Allerdings beläuft sich der ausgewählte Kapazitätswert beim DC1969A auf 2 × 0,15 µF (Teilenummer ECHU1H154GX9).

Beim obigen Wert beläuft sich die neue Schwingungsfrequenz auf 126,3 kHz (unbelastet).

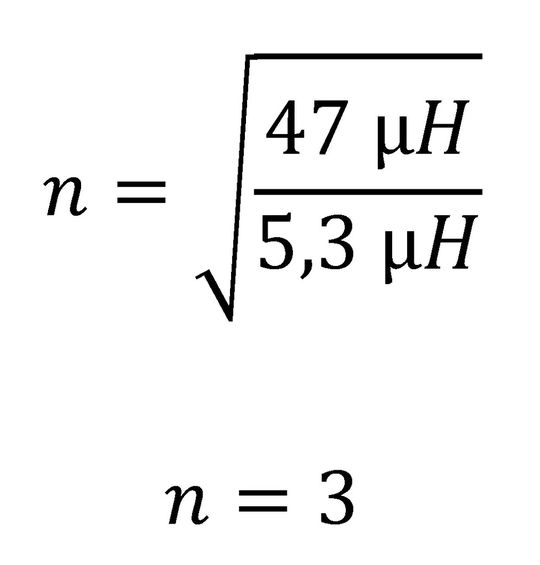
Die Bedeutung des Windungsverhältnisses n

Das für DC1967A empfohlene Windungsverhältnis zwischen Sende- und Empfängerspule beträgt 1:3. Hier wurden die vier unten angegebenen Bedingungen ausgewählt, bei denen das Erfüllen dieser Anforderung schwierig ist.

Nähere Angaben zu den Bedingungen 1 bis 4 finden Sie online, wie am Ende des Beitrags beschrieben. Die Schaltung wurde so modifiziert, dass sie mehr Strom von der Spule bezieht. Dazu wurde die Ausgangsspannung auf 8,23 V festgelegt. Gleichzeitig jedoch stellt die Schaltung den größtmöglichen Strom bereit und behält die maximale Effizienz bei.

Bedingung 1

Tx: 760308101302 (5,3 µH, 33 mΩ, Q: 100, 6 A),

Rx: 760308101303 (47 µH, 460 mΩ, Q: 25, 1,4 A).

(Bild:  WE)
(Bild: WE)

Messergebnisse:

*VCC = 5 V

*IINPUT = 0,973 A

*VIN_LR = 15,04 V

*IIN = 0,239 A

VBAT = 8,21 V

IBAT = 0,275 A

PMAX_BAT = 4,865 W

Wirkungsgrad ᶯ= (VIN_LR * IIN)/(V_cc * IINPUT) = 73,9 %

Artikelfiles und Artikellinks

(ID:44035513)

Jetzt Newsletter abonnieren

Verpassen Sie nicht unsere besten Inhalte

Mit Klick auf „Newsletter abonnieren“ erkläre ich mich mit der Verarbeitung und Nutzung meiner Daten gemäß Einwilligungserklärung (bitte aufklappen für Details) einverstanden und akzeptiere die Nutzungsbedingungen. Weitere Informationen finde ich in unserer Datenschutzerklärung. Die Einwilligungserklärung bezieht sich u. a. auf die Zusendung von redaktionellen Newslettern per E-Mail und auf den Datenabgleich zu Marketingzwecken mit ausgewählten Werbepartnern (z. B. LinkedIn, Google, Meta).

Aufklappen für Details zu Ihrer Einwilligung