Anbieter zum Thema
Vom Wirkungsgrad
Der Wirkungsgrad des Systems wird beschrieben durch eine Funktion abhängig von ρ = k√(Q1Q2) . Ein geringer Kopplungsfaktor kann somit durch eine Erhöhung der Güte in den Resonanzkreisen kompensiert werden. Ab ρ>10 können bereits Effizienzwerte über 80 Prozent erreicht werden. Bei ρ = 100 ist die theoretische Effizienz schon nahe eins. Die drei wichtigsten Parameter k, Q1 und Q2 können messtechnisch mit Hilfe eines Vektor-Netzwerkanalysators bestimmt werden. Damit lässt sich ein Entwurf eines drahtlosen Übertragungssystems verifizieren und der Wirkungsgrad abschätzen.
Bei einem auf magnetischer Induktion basierenden System kann die Güte der Sendespule und Empfängerspule über die Frequenz gemessen werden. Die Güte einer Induktivität definiert sich dabei durch Q = XL/R. Die Güte der Spule als Verhältnis zwischen resistivem und reaktivem Widerstand zeigt ein ausgeprägtes Maximum bei 100 bis 300 kHz.
Dort erreichen die Spulen je nach Ausführung eine Güte bis >200. Nach dem Maximum sinkt die Güte durch höhere Leitungsverluste (Skin-Effekt und Stromverdrängung) und durch Annäherung an die Eigenfrequenz. Bei der Eigenfrequenz bildet die Spule mit ihrer parasitären Kapazität einen Schwingkreis der bei Resonanz von außen betrachtet rein ohmsch (ohne Reaktanz) wirkt. Die Güte eines Schwingkreises kann über die Form der Resonanzkurve gemessen werden, indem das Verhältnis zwischen einer Bandbreite von -3 dB der Resonanzkurve und der Resonanzfrequenz der Spule gebildet wird.
So wird der Koppelfaktor gemessen
Neben der Messung über die Kurvenform kann die Güte über die Parameter des Ersatzschaltbildes berechnet werden. In diesem Fall hat die Spule eine Induktivität von 25,4 µH und eine parasitäre Kapazität von 42 pF. Mit einem parallelen Verlustwiderstand von 10,64 kΩ erhält man über die Formel Q=R√(C/L) eine Güte von 13,7.
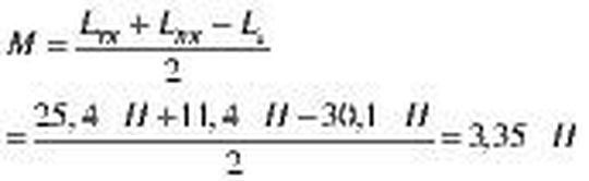
Der Koppelfaktor lässt sich unterschiedlich berechnen. Für geringe Koppelfaktoren hat sich folgende Methode bewährt. Zuerst werden die Induktivitäten der Sendespule (LTX) und die der Empfängerspule (LRX) separat und ohne Verkopplung gemessen. Die Induktivitäten der Spulen können wie die Güte über eine Ein-Tor-Reflexionsmessung bestimmt werden. Der Koppelfaktor lässt sich über eine Serienschaltung der gekoppelten Spulen bestimmen. Dazu wird die Serieninduktivität (LS) der zusammengeschalteten gekoppelten Spulen gemessen. Aus dem Ersatzschaltbild ergibt sich folgender Zusammenhang über den die Gegeninduktivität M bestimmt werden kann:
Der Koppelfaktor ergibt sich dann aus der bekannten Gleichung k = M/√(LTX⋅LRX ) ≈ 0,2. Zusammen mit den gewonnenen Parametern kann die erreichbare Effizienz eines drahtlosen Energieübertragungssystems sehr genau abgeschätzt werden. Die Parameter helfen bei der Modellierung der Übertragungsfunktion. Zudem hilft die Übertragungsfunktion der verkoppelten Spulen, den Schaltungsentwurf des drahtlosen Übertragungssystems zu optimieren.
* Florian Hämmerle ist Product Manager bei OMICRON Lab in Österreich.
(ID:44801781)
