Digitale Daten und die Qualität des Signals lassen sich mit einem Oszilloskop und einem Spektrum-Analysator untersuchen. Worauf bei den verschiedenen Signalbestandteilen zu achten ist, zeigt der Beitrag.
Komplette Signalkette: Das Oszilloskop der Serie MSO8000 mit 2 GHz vermisst zusammen mit einem Spektrum-Analyzer die Signalkette vom eingebetteten Signal bis zur Luftschnittstelle und Empfängereinheit.
(Bild: Rigol)
Werden digitale Daten beispielsweise bei digitalen Schaltungen übertragen, so muss eine saubere und immer schnellere Datenübertragung möglich sein. Kleinste Abweichungen und Störungen während der Signalerzeugung, und die schaltungsintern bei der Übertragung entstehen, wirken sich negativ auf die HF-Übertragung des Signals aus. Letztendlich können die Störungen die komplette Datenübertragung zunichte machen, da sie sich zu den Störungen über die Luftschnittstelle hinzuaddieren.
Man muss sich über die unterschiedlichen Signalbestandteile einer digitalen Schaltung Gedanken machen, die ihre Information zusätzlich über die Luftschnittstelle übertragen. Mit einer gezielten Fehleranalyse können die Störfaktoren der einzelnen Teilkomponenten gemessen und geprüft werden. Außerdem lassen sich die Auswirkungen der Fehler von eingebetteten Signalen auf die HF-Übertragungsqualität vermessen. Das Messziel ist es, dass der Einfluss und die Qualität der Datenübertragung ausschließlich durch die Luftschnittstelle beeinflussen lässt und eine komplette Signalregeneration auf der Empfängerseite möglich ist.
Die Signalintegrität eines digitalen Datenstroms
Eine digitale Datenübertragung soll am Empfänger eine praktisch komplette Regenerierung des digitalen Signals erreichen. Das regenerierte Signal muss mindestens so gut sein, dass eine Schwellwertentscheidung der digitalen Einheiten möglich ist. Doch das übertragene Signal hängt von vielen unterschiedlichen Faktoren ab und wird negativ beeinflusst. Je höher die Datenrate ist, desto mehr wird die Qualität durch Steckverbindungen, die Leitung oder das verwendete Material beeinflusst.
Sporadische Einflüsse, wie hochfrequente Rauschspitzen, verfälschen die Schwellwertentscheidung. Eine unreine Datensequenz weist mehr Störungen und ungewollte Frequenzanteile auf, die bei einer HF-Übertragung stören. Entwickler sollte eine digitale Übertragung so auslegen, dass die BER (Bitfehlerrate) unterhalb des im Lastenheft definierten Wertes liegt. Die BER ist der wesentliche Qualitätsmaßstab der digitalen Übertragung. Ziel ist ein sehr kleiner BER. Allerdings dient eine BER-Messung nicht zur Fehlerlokalisierung. Damit die Signalqualität charakterisiert werden kann, lässt sich das Oszilloskop von Rigol mit einer Bandbreite von 2 GHz der Serie MSO8000 verwenden.
Seine Architektur basiert auf der Plattform Ultra Vision II und eines selbstentwickelten Chipsatzes. Entwickler können mit dem Echtzeit-Augendiagramm und der Jitter-Analysesoftware die Trenddarstellung ausführen. Es ist mit dem Oszilloskop außerdem möglich, den Einfluss der Bandbreite in Bezug auf die Anstiegszeit und dem Überschwingen zu messen. Der Einfluss der Signalintegrität wird zusätzlich nach der Modulation auf einen HF-Träger verglichen. Zum einen kann der Frequenzgang mit der in der Oszilloskop-Serie integrierten FFT (1 Mio Punkte) durchgeführt werden. Zum anderen wird für die Demodulation und für den Test der Bitfehlerrate der Echtzeit-Spektrum-Analysator der Serie RSA5000 mit dem Vektorsignalanalysator-Modul eingesetzt.
Eine erste Analyse mit dem Oszilloskop
Für die erste Analyse mit dem Oszilloskop wird die Korrektheit der einzelnen Bussysteme überprüft, die für die digitale Übertragung eingesetzt werden. Dazu muss der Datenstrom mit seinem Takt richtig getriggert werden. Es stehen verschiedene Trigger-, und Dekodiervarianten für die unterschiedlichen Bussysteme wie CAN, I²C, SPI, LIN, RS232, FlexRay oder MIL-STD-1553B bereit. Das Bild 1 zeigt einen parallelen Bus (Takt auf Kanal 3, Daten auf Kanal 1), der mit einem PRBS7-Testsignal vermessen wird.
An Kanal 2 liegt das Taktsignal an. Die Triggerung kann auf die Anstiegsflanke des Datensignals erfolgen (Edge). Alternativ lassen sich andere sinnvollere Trigger-Methoden, wie Triggerung auf den längsten Zustand („0“ oder „1“) mit dem Zeitdauertrigger (Duration). Eine dritte Möglichkeit sind zwei zeitgleiche Zonentrigger. Sie sollen auslösen, wenn sie nicht durchschritten werden. Dazu wird jeweilige Zone in dem Bereich eingesetzt, bei der für die Zeitdauer eine „0“ erwartet. Nach der Triggerung kann man das Signal dann dekodieren.
Bild 1: Das Datensignal (gelb) mit Takt (lila) und Dekodierung, stabilisiert über den Duration-Trigger
(Bild: Rigol)
Ein bereits aufgenommenes Signal lässt sich ebenfalls dekodieren. Mit der Aufnahmemöglichkeit lassen sich bei einer Einzelkanalmessung bis zu neun Frames mit je 100 Mpts (also 900 Mpts) aufnehmen und wieder abspielen. Zusätzlich lassen sich die dekodierten Daten in einer Eventtabelle darstellen und exportieren. Der Datensatz kann mit den ursprünglichen Daten verglichen werden. Statt der analogen Eingänge am Oszilloskop können die 16 digitalen Eingänge verwendet werden. Somit lässt sich testen, wie ein digitaler Empfänger den Bus interpretiert und die Schwellwertentscheidung durchführt.
Stand: 08.12.2025
Es ist für uns eine Selbstverständlichkeit, dass wir verantwortungsvoll mit Ihren personenbezogenen Daten umgehen. Sofern wir personenbezogene Daten von Ihnen erheben, verarbeiten wir diese unter Beachtung der geltenden Datenschutzvorschriften. Detaillierte Informationen finden Sie in unserer Datenschutzerklärung.
Einwilligung in die Verwendung von Daten zu Werbezwecken
Ich bin damit einverstanden, dass die Vogel Communications Group GmbH & Co. KG, Max-Planckstr. 7-9, 97082 Würzburg einschließlich aller mit ihr im Sinne der §§ 15 ff. AktG verbundenen Unternehmen (im weiteren: Vogel Communications Group) meine E-Mail-Adresse für die Zusendung von redaktionellen Newslettern nutzt. Auflistungen der jeweils zugehörigen Unternehmen können hier abgerufen werden.
Der Newsletterinhalt erstreckt sich dabei auf Produkte und Dienstleistungen aller zuvor genannten Unternehmen, darunter beispielsweise Fachzeitschriften und Fachbücher, Veranstaltungen und Messen sowie veranstaltungsbezogene Produkte und Dienstleistungen, Print- und Digital-Mediaangebote und Services wie weitere (redaktionelle) Newsletter, Gewinnspiele, Lead-Kampagnen, Marktforschung im Online- und Offline-Bereich, fachspezifische Webportale und E-Learning-Angebote. Wenn auch meine persönliche Telefonnummer erhoben wurde, darf diese für die Unterbreitung von Angeboten der vorgenannten Produkte und Dienstleistungen der vorgenannten Unternehmen und Marktforschung genutzt werden.
Meine Einwilligung umfasst zudem die Verarbeitung meiner E-Mail-Adresse und Telefonnummer für den Datenabgleich zu Marketingzwecken mit ausgewählten Werbepartnern wie z.B. LinkedIN, Google und Meta. Hierfür darf die Vogel Communications Group die genannten Daten gehasht an Werbepartner übermitteln, die diese Daten dann nutzen, um feststellen zu können, ob ich ebenfalls Mitglied auf den besagten Werbepartnerportalen bin. Die Vogel Communications Group nutzt diese Funktion zu Zwecken des Retargeting (Upselling, Crossselling und Kundenbindung), der Generierung von sog. Lookalike Audiences zur Neukundengewinnung und als Ausschlussgrundlage für laufende Werbekampagnen. Weitere Informationen kann ich dem Abschnitt „Datenabgleich zu Marketingzwecken“ in der Datenschutzerklärung entnehmen.
Falls ich im Internet auf Portalen der Vogel Communications Group einschließlich deren mit ihr im Sinne der §§ 15 ff. AktG verbundenen Unternehmen geschützte Inhalte abrufe, muss ich mich mit weiteren Daten für den Zugang zu diesen Inhalten registrieren. Im Gegenzug für diesen gebührenlosen Zugang zu redaktionellen Inhalten dürfen meine Daten im Sinne dieser Einwilligung für die hier genannten Zwecke verwendet werden. Dies gilt nicht für den Datenabgleich zu Marketingzwecken.
Recht auf Widerruf
Mir ist bewusst, dass ich diese Einwilligung jederzeit für die Zukunft widerrufen kann. Durch meinen Widerruf wird die Rechtmäßigkeit der aufgrund meiner Einwilligung bis zum Widerruf erfolgten Verarbeitung nicht berührt. Um meinen Widerruf zu erklären, kann ich als eine Möglichkeit das unter https://contact.vogel.de abrufbare Kontaktformular nutzen. Sofern ich einzelne von mir abonnierte Newsletter nicht mehr erhalten möchte, kann ich darüber hinaus auch den am Ende eines Newsletters eingebundenen Abmeldelink anklicken. Weitere Informationen zu meinem Widerrufsrecht und dessen Ausübung sowie zu den Folgen meines Widerrufs finde ich in der Datenschutzerklärung, Abschnitt Redaktionelle Newsletter.
Das Jitter- und Rauschverhalten einer digitalen Schaltung
Wesentlich bei einer digitalen Übertragung ist das Jitter- und Rauschverhalten, das die Schwellwertentscheidung maßgeblich beeinflusst. Jitter entsteht, wenn Phasenvariationen in den einzelnen zu übertragenen Bits gegenüber der optimalen Bitflanke vorkommen. Jitter lässt sich als eine Art der Phasenmodulation beschreiben. Für eine hochqualitative Datenübertragung ist es wichtig, die Art des Jitters zu kennen, um die Ursachen effektiv zu minimieren.
Impulsstörungen, Nebensprechen oder Rauschen wirken sich als nicht-symmetrischer oder zufälliger Jitter aus. Beeinflusst ein anderes Taktsignal ungewollt das Signal, wird das als symmetrischer oder deterministischer Jitter bezeichnet, dessen Einfluss dann dominiert. Dieser kann sich als datenabhängiger oder periodischer Jitter auswirken.
Nicht nur der Jittereinfluss des Datensignals, sondern auch dessen Taktsignal ist wichtig. Deshalb wird zuerst die Taktstabilität des Bussystems überprüft. Sie ist Grundlage für eine gute Synchronisation zwischen Takt und Datenübertragung, damit die Daten gegenüber dem Takt nicht wegdriften. Der Jitter wird vermessen. Für die Langzeitanalyse ist die Ergebnistabelle ein geeignetes Werkzeug, um die Flankenabweichung zur Idealflanke [TIE], die Pulsbreitenabweichung des Folgepulses [± width-to ±width] und die Periodenabweichung [Cycle-to-Cycle] gegenüber der nachfolgenden Periode auszumessen und darzustellen.
Von Histogramm und wie Jitter untersucht wird
Die Funktion für die Wahrscheinlichkeitsdichte des Jitters lässt sich im Histogramm darstellen. Die grafische Darstellung des Histogramms ist aufgrund der Symmetrie eine Hilfestellung, um die Art des Jitters zu beurteilen. Außerdem lassen sich notwendige Messparameter aus der Ergebnistabelle herauslesen.
Die zwei äußersten Histogrammbalken [Bins] sind als Minimal/Maximalwert dargestellt. Der höchste Wert ist der Modus [Mode]. Ungefähr 68,3% der Jitterschwankungen sind in der Standardabweichung enthalten. Sie wird mit ±1 σ [Sigma] beschrieben. Der Median-Zeitpunkt beschreibt den zeitlichen Wert, bei dem 50% der Werte unterhalb liegen. Damit lassen sich die genauen Zeitpunkte der Signalverteilung und die Häufigkeit der Jitterbestandteile vermessen.
Bild 2: Eine Jitter-Messung des Taktsignals mit Histogramm- und Trenddarstellung
(Bild: Rigol)
Im Histogramm wird der Gesamt-Jitter dargestellt (Faltung der Jitter-Komponenten im Zeitbereich). Einzelne Jitter-Komponenten lassen sich nicht komplett aus dem Histogramm ermitteln. Vor allem dann nicht, wenn unterschiedliche Komponenten dominieren. Deshalb bietet die Jittermessung eine weitere Darstellungsfunktion der Jitterabweichung und Charakteristik mit dem Trendgraphen an. In Kombination mit dem Histogramm lässt sich die Ursache für den Jitter ermitteln. Das Bild 2 zeigt eine Jitterstörung durch ein anderes 10-kHz-Sinussignal.
Der Trend wirkt sich als Integration des Störtaktsignals aus. Da eine Sinus-Charakteristik im Trend zu sehen ist, lässt sich auf eine Einzelfrequenzstörung schließen. Die Histogramm-Darstellung verstärkt die Annahme durch die maximale gleichmäßige Verteilung an den Seiten. Die größten Jitter-Ausschläge entstehen durch die Maxima/Minima des Störsignals. Das Störsignal könnte durch eine Oszillation in einer PLL-Schaltung oder durch eine Störwelligkeit eines Netzteils durch Schaltvorgänge entstehen. Rauschkomponenten sind auf den Einfluss des Jitters nicht dominierend.
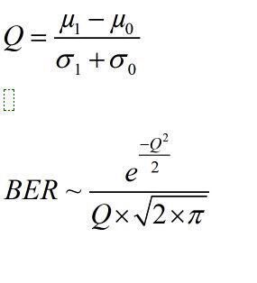
Jetzt wird der Einfluss von Amplitudenstörungen und Rauschen mit dem Augendiagramm vermessen. Das Echtzeitaugendiagramm der MSO8000-Serie erfasst einige Tausend Übertragungssequenzen. Die Triggerung wird in eine geeignete Beziehung zum Takt gebracht. Dann lassen sich die Sequenzen mit dem Dichtigkeitsplot so oft wie gewünscht übereinanderlegen und als Auge darstellen. Dank der Werte lässt sich der Q-Faktor darstellen. Er ist ein wichtiges Gütekriterium in der Datenübertragung, um die Datensignale zu beurteilen und eine Aussage für die BER erlaubt (Formel 1, µi = ist der Mittelwert und σi = die Standardabweichungen der Amplituden der Zustände i = 0 und 1). Zusammen mit dem Augendiagramm lässt sich die Übertragung auf ihre Robustheit überprüfen.
Bild 3: Vermessung des Augendiagramms eines verrauschten Datensignals sowie dessen Auswirkung auf die HF-Übertragung.
(Bild: Rigol)
Mit dieser Messmethode lassen sich einige Parameter aus dem Lastenheft oder dem notwendigen Kommunikationsstandard überprüfen und vermessen. Zum einen lässt sich das Rauschverhalten der Übertragung testen, was beispielsweise durch Übersprechen entsteht. Ein weiterer Einfluss ist die Leitungsdämpfung des Übertragungspfades. Sie sollte so gewählt sein, dass das Auge noch weitgehend geöffnet ist. Mit dieser Messmethode lassen sich zudem sporadische Störeinflüsse (Störimpulse durch Schaltvorgänge eines Netzteils) vermessen.
Über das Auge lassen sich nicht nur vertikale Einflüssen vermessen. Es lassen sich auch horizontale Einflüsse wie Jitter visualisieren und ausmessen. In der Augendiagramm-Darstellung auf Kanal 1 (Bild 3) und der Taktdarstellung auf Kanal 3 lässt sich erkennen, ob das Signal gegenüber dem Takt wegdriftet.
Die Anstiegszeit eines Signals mit dem Oszilloskop messen
Das Bild 3 zeigt ein verrauschtes Jitter-behaftetes Signal mit starker Bandbreitenbegrenzung. Solch ein Signal kann zu Störungen in der HF-Übertragung (Modulation auf HF-Träger: 2FSK) führen und die BER der Luftschnittstelle beeinflussen. Die HF-Übertragung sowie die BER wurden mit dem Vektorsignal-Analyzer-Mode und das Spektrum mit dem Echtzeit-Spektrum-Analyzer-Mode des RSA5065-TG vermessen.
Formel 2: Berechnung der Bandbreite durch die Anstiegszeit des Datensignals.
(Bild: Rigol)
Ein weiterer wichtiger Bestandteil der digitalen Übertragung ist die Bandbreite. Mit der gemessenen Anstiegszeit kann der Entwickler eine Aussage über die Bandbreite des Datensignals treffen, da diese mit der Formel 2 zusammenhängt.
Formel3: Minimal messbare Anstiegszeit mit dem MSO8204 (2 GHz, 1 Kanalmessung).
(Bild: Rigol)
Bei der Messung der Anstiegszeit muss allerdings die Bandbreitenbegrenzung des Oszilloskops berücksichtigt werden. Das heißt, die gemessene Anstiegszeit im Oszilloskop wird dann nach Formel 3 berechnet. Hat ein Signal eine Anstiegszeit von 175 ns, so wirkt sich das im Ergebnis mit einer Anstiegszeit von 247 ns im Messgerät aus. Allerdings bringt eine Optimierung der Anstiegszeit auch Nachteile mit sich.
Bild 4: Reines Datensignal mit geringem Rauschen, mehr Bandbreite und geringem Jitter. Das führt zu einer deutlich besseren HF-Charakteristik und einem verbesserten BER.
(Bild: Rigol)
Zum einen wird wie beschrieben mehr Bandbreite benötigt, und zum anderen können Überschwinger erzeugt werden, die ebenfalls unerwünscht sein können. Mit der FFT im MSO8000 kann mit einer sehr genauen Frequenzanalyse (FFT mit 1 Mio. Punkten) der Bandbreitenbedarf des Datensignals mit unterschiedlichen Anstiegszeiten ermittelt werden. Gleichzeitig kann im Zeitbereich die Messung genutzt werden, um einen Kompromiss zwischen der bestmöglichen Anstiegszeit mit dem geringsten Überschwinger zu erreichen.
Im Bild 4 ist ein Datensignal zu sehen, bei dem alle Rauschkomponenten und Störkomponenten für den Jitter beseitigt wurden. Der Q-Faktor ist sehr hoch und die spektrale Reinheit der 2-FSK-Modulation auf den HF-Träger ist deutlich verbessert. Die BER-Messung zeigt keine Fehler und die Modulationsanalyse misst wesentlich bessere Parameter.
Zusammenfassung: Störungen wie Jitter, Rauschen oder eingekoppelte Störungen können die Qualität einer Datenübertragung stark beeinflussen. Anwender können mit dem 2-GHz-Oszilloskop der Serie MSO8000 sowie des Echtzeit-Spektrum-Analyzers der Serie RSA5000 die komplette Signalkette von den eingebetteten Signalen bis hin zur Luftschnittstelle und zur Empfängereinheit vermessen.
Eine geeignete Regenerierung und Fehlerbehebung sowie eine erfolgreiche Rückgewinnung lassen sich durch diese Messmethoden für eine erfolgreiche Datenübertragung realisieren. Lesen Sie außerdem im Interview mit Boris Adlung, wie sich Störer mit Oszilloskop und Spektrumanalysator aufspüren lassen.