In der Messdatenauswertung gibt es viele Anwendungen, bei denen die Betrachtung eines Messsignals über der Zeit nicht die gewünschten Informationen liefert. Diese erhält man dann vielmehr aus einer Analyse der Zusammensetzung des Signals im Frequenzbereich, dem sogenannten Spektrum.
Messsignale auswerten: Messsignale über die Zeit auszuwerten liefert nicht immer die gewünschten Informationen. Über das Spektrum geht das einfacher.
Computergestützte Messdatenerfassungssysteme an Maschinen oder einzelnen Aggregaten sollen teilweise auch die Früherkennung von sich anbahnendem Verschleiß ermöglichen. Insbesondere bei Prozessen mit rotierenden Massen wie Werkzeugmaschinen, Fahrzeugantrieben oder Windkraftanlagen lassen sich erste Verschleißanzeichen an einem unrunden Lauf erkennen, der zu einem veränderten Schwingungsverhalten von Gehäusekomponenten führt. Diese Schwingungen werden mit einem Sensor aufgenommen und in abgetasteter Form der Messdatenanwendung zugeführt.
Die Erfahrung zeigt, dass solche Schwingungssignale im zeitlichen Verlauf einem Rauschsignal ähneln, in dem Veränderungen durch beginnenden Verschleiß weder mit dem menschlichen Auge noch mit üblichen Auswerteverfahren zufriedenstellend detektiert werden können. Anders sieht es aus, wenn man die im Signal enthaltenen Frequenzanteile analysiert. Hier zeigen sich sehr schnell auffällige Veränderungen. Das ist nur ein Beispiel für die große Bedeutung der Spektralanalyse bei der Messdatenauswertung. Weitere Beispiele sind die Analyse frequenzabhängiger Störaussendungen in der EMV-Messtechnik oder raumakustische Untersuchungen.
Der Frequenzanteil mathematisch betrachtet
Um besser zu verstehen, was sich hinter dem Frequenzanteil von Messsignalen verbirgt, wollen wir ein wenig in die Theorie einsteigen: Jedes periodische Signal kann, wie uns die Mathematik sagt, als unendliche Summe elementarer Cosinus- und Sinusfunktionen mit Frequenzen von ganzzahligen Vielfachen der Grundfrequenz f0 des Signals beschrieben werden (Formel 1):
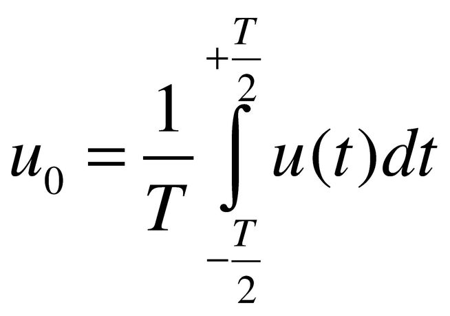
Dies ist die sogenannte Fourier-Reihe eines periodischen Signals. Hier ist u0 der Gleichanteil (Mittelwert) des Signals, der sich über (Formel 2)
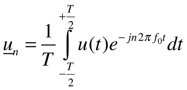
berechnet. Die Koeffizienten u1n und u2n sind signalspezifisch. Sie lassen sich über die beiden Formeln 3 und 4
ermitteln. Die Integrationen in obigen Formeln müssen über eine Signalperiode T erfolgen unabhängig vom konkreten Startzeitpunkt, der hier aus formalen Gründen wie in vielen weiterführenden Formeln der Fourieranalyse mit -0,5·T gewählt wurde. Alternativ zu der reellen Schreibweise ist eine komplexe Darstellung der Fourier-Reihe verbreitet (Formel 5):
In je einer komplexen Exponentialfunktion hierbei sind entsprechend der eulerschen Formel jeweils eine Sinus- und eine Cosinusfunktion aus Formel 1 enthalten. Die zugehörige Formel zur Bestimmung der komplexen Koeffizienten lautet (Formel 6):
Ein gleichanteilsfreies, symmetrisches Rechtecksignal beispielsweise lässt sich mit obigen Formeln in Abhängigkeit von Amplitude und Frequenz durch nachfolgende Fourier-Reihe darstellen, welche wie bei übrigens allen ungeraden Zeitfunktionen nur Sinusanteile besitzt (Formel 7):
Bild 1: Ein Rechtecksignal und sein zugehöriges Spektrum.
(Bild: Prof. Böttcher)
Bild 1 zeigt links ein solches Rechtecksignal. Rechts im Bild sind die sich gemäß obiger Formel ergebenden Amplituden der einzelnen Sinusanteile bei den jeweiligen Frequenzen f dargestellt, wobei die Grafik nur die ersten sog. Oberwellen zeigt. In der Theorie erstrecken sich diese bis zu unendlich hohen Frequenzen, werden jedoch immer kleiner, so dass sich mit ein paar wenigen Frequenzpunkten oftmals bereits signifikante Aussagen über das Signal treffen lassen.
Genau dieser funktionale Zusammenhang zwischen Amplitude und Frequenz stellt das Spektrum des Signals dar. Häufig werden statt der Amplitude der Effektivwert angegeben. Beide können direkt oder als Dezibel-Angabe, man spricht dann auch vom Pegel, geschrieben werden.
Die Spektren von nicht-periodischen Signalen
Bild 2: Ein verrauschtes Sinussignal und sein Spektrum.
(Bild: Prof. Böttcher)
Viele Signale, mit denen wir es bei der Messdatenerfassung zu tun haben, sind nicht periodisch. Wenn ein Signal nur zu bestimmten Zeitpunkten auftritt und etwas später wieder verschwindet, spricht man auch von einem transienten Signal. Auch für nicht-periodische Signale können Spektren angegeben werden. In der Praxis kann man aber immer nur einen zeitlichen Ausschnitt, ein so genanntes Fenster, betrachten und für diesen ein Spektrum bestimmen. Man tut also immer so, als hätte man ein transientes Signal, das außerhalb des betrachteten Fensters 0 ist.
Im Gegensatz zu periodischen Signalen weisen transiente Signale ein sogenanntes kontinuierliches Spektrum über den gesamten Frequenzbereich auf. Es gibt nicht mehr nur Spektralanteile bei ganzzahligen Vielfachen einer Grundfrequenz, sondern bei jeder der unendlich vielen Frequenzen. Zur mathematischen Darstellung des Spektrums bedient man sich eines Tricks: Man stellt sich vor, dass das transiente Signal, das durch das Fenster der Länge T geschnitten wird, auf der Zeitachse links und rechts davon periodisch fortgesetzt wird. Für dieses nun periodische Signal lässt sich ein komplexes Spektrum nach Formel 6 angeben.
Stand: 08.12.2025
Es ist für uns eine Selbstverständlichkeit, dass wir verantwortungsvoll mit Ihren personenbezogenen Daten umgehen. Sofern wir personenbezogene Daten von Ihnen erheben, verarbeiten wir diese unter Beachtung der geltenden Datenschutzvorschriften. Detaillierte Informationen finden Sie in unserer Datenschutzerklärung.
Einwilligung in die Verwendung von Daten zu Werbezwecken
Ich bin damit einverstanden, dass die Vogel Communications Group GmbH & Co. KG, Max-Planckstr. 7-9, 97082 Würzburg einschließlich aller mit ihr im Sinne der §§ 15 ff. AktG verbundenen Unternehmen (im weiteren: Vogel Communications Group) meine E-Mail-Adresse für die Zusendung von redaktionellen Newslettern nutzt. Auflistungen der jeweils zugehörigen Unternehmen können hier abgerufen werden.
Der Newsletterinhalt erstreckt sich dabei auf Produkte und Dienstleistungen aller zuvor genannten Unternehmen, darunter beispielsweise Fachzeitschriften und Fachbücher, Veranstaltungen und Messen sowie veranstaltungsbezogene Produkte und Dienstleistungen, Print- und Digital-Mediaangebote und Services wie weitere (redaktionelle) Newsletter, Gewinnspiele, Lead-Kampagnen, Marktforschung im Online- und Offline-Bereich, fachspezifische Webportale und E-Learning-Angebote. Wenn auch meine persönliche Telefonnummer erhoben wurde, darf diese für die Unterbreitung von Angeboten der vorgenannten Produkte und Dienstleistungen der vorgenannten Unternehmen und Marktforschung genutzt werden.
Meine Einwilligung umfasst zudem die Verarbeitung meiner E-Mail-Adresse und Telefonnummer für den Datenabgleich zu Marketingzwecken mit ausgewählten Werbepartnern wie z.B. LinkedIN, Google und Meta. Hierfür darf die Vogel Communications Group die genannten Daten gehasht an Werbepartner übermitteln, die diese Daten dann nutzen, um feststellen zu können, ob ich ebenfalls Mitglied auf den besagten Werbepartnerportalen bin. Die Vogel Communications Group nutzt diese Funktion zu Zwecken des Retargeting (Upselling, Crossselling und Kundenbindung), der Generierung von sog. Lookalike Audiences zur Neukundengewinnung und als Ausschlussgrundlage für laufende Werbekampagnen. Weitere Informationen kann ich dem Abschnitt „Datenabgleich zu Marketingzwecken“ in der Datenschutzerklärung entnehmen.
Falls ich im Internet auf Portalen der Vogel Communications Group einschließlich deren mit ihr im Sinne der §§ 15 ff. AktG verbundenen Unternehmen geschützte Inhalte abrufe, muss ich mich mit weiteren Daten für den Zugang zu diesen Inhalten registrieren. Im Gegenzug für diesen gebührenlosen Zugang zu redaktionellen Inhalten dürfen meine Daten im Sinne dieser Einwilligung für die hier genannten Zwecke verwendet werden. Dies gilt nicht für den Datenabgleich zu Marketingzwecken.
Recht auf Widerruf
Mir ist bewusst, dass ich diese Einwilligung jederzeit für die Zukunft widerrufen kann. Durch meinen Widerruf wird die Rechtmäßigkeit der aufgrund meiner Einwilligung bis zum Widerruf erfolgten Verarbeitung nicht berührt. Um meinen Widerruf zu erklären, kann ich als eine Möglichkeit das unter https://contact.vogel.de abrufbare Kontaktformular nutzen. Sofern ich einzelne von mir abonnierte Newsletter nicht mehr erhalten möchte, kann ich darüber hinaus auch den am Ende eines Newsletters eingebundenen Abmeldelink anklicken. Weitere Informationen zu meinem Widerrufsrecht und dessen Ausübung sowie zu den Folgen meines Widerrufs finde ich in der Datenschutzerklärung, Abschnitt Redaktionelle Newsletter.
Um die nur gedachte Periodizität wieder zu entfernen, muss man in beiden Integrationsgrenzen T gegen ∞ gehen lassen. Auf eine weitere mathematische Darstellung wird in dieser Übersicht verzichtet. Bild 2 zeigt links beispielhaft ein Mischsignal aus periodischem Sinus und nicht-periodischem Rauschen und rechts das resultierende Spektrum.
Die Spektren mit einem Spektrumanalysator messen
Bild 3: Eine typische Vorderseite eines Spektrumanalysators.
(Bild: Prof. Böttcher)
Spektren können mit Spektrumanalysatoren live gemessen oder aus abgetasteten Signalen algorithmisch berechnet werden. Spektrumanalysatoren ähneln auf den ersten Blick Oszilloskopen. Wie diese besitzen sie auf der Vorderseite ein meist größeres Display und zahlreiche Bedienelemente (Bild 3). In der Regel haben sie jedoch nur einen Spannungsmesseingang, der meist als BNC-Buchse ausgeführt ist.
Bild 4: Internes Funktionsprinzip eines Spektrumanalysators.
(Bild: Prof. Böttcher)
Im Gegensatz zu einem Oszilloskop stellt ein Spektrumanalysator die Frequenzanteile eines kontinuierlich am Messeingang anliegenden Signals dar. Von zentraler Bedeutung für die interne Funktion (Bild 4) ist die nach dem Tiefpass angeordnete sogenannte Mischstufe. Diese ist nichts anderes als ein Multiplizierer, der das Signal mit einem Sinussignal ansteigender Frequenz – im Bild von fM,min bis fM,max – jeweils für eine gewisse Zeit schrittweise multipliziert. Dadurch wird ein jeweils neu gewählter kleiner Frequenzausschnitt des Signals systematisch in einen Bereich um eine feste Zwischenfrequenz fZF angehoben. Das Signal selbst wird dabei in seiner Struktur nicht verändert, es werden lediglich alle Signalfrequenzen um einen festen Frequenzbetrag angehoben. Ein so in seiner Frequenz angehobener Frequenzausschnitt wird in der Regel noch etwas verstärkt und dann durch ein relativ schmalbandiges Bandpassfilter geführt.
Dieser hat als Mittenfrequenz (die Frequenz, bei der die maximale Durchlässigkeit gegeben ist) genau fZF. Seine Aufgabe besteht darin, nur die Signalanteile in diesem engen Frequenzbereich passieren zu lassen. Das verbleibende Signal wird dann von einer entsprechend schnellen digitalen Schaltungselektronik mit einer relativ hohen Abtastrate abgetastet.
Die Details bei einem Spektrumanalysator
Bild 5: Typische technische Daten von Spektrumanalysatoren.
(Bild: Prof. Böttcher)
Durch einen digitalen Signalverarbeitungsalgorithmus wird der Signalpegel nach bestimmten Kriterien bestimmt und schließlich als Signalpegel über der ursprünglichen Signalfrequenz auf dem Display angezeigt. Die Breite der Filterdurchlasskurve ist bei allen Spektrumanalysatoren einstellbar. Sie wird Auflösebandbreite oder abgekürzt RBW (von Resolution Bandwidth) genannt und ist definiert als die Breite der Filterkurve in der Höhe, in der die Durchlasswerte links und rechts der Mittenfrequenz fZF um 3 dB gegenüber dem Maximum in der Mitte abgefallen sind.
Je kleiner die RBW gewählt wird, desto mehr Details des Spektrums werden sichtbar, jedoch dauert eine vollständige Messung, der sogenannte Sweep, entsprechend länger. Bild 5 zeigt typische technische Daten von Spektrumanalysatoren.
Die Fast Fourier Transformation (FFT) als Algorithmus umsetzen
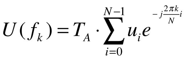
Die algorithmische Berechnung aus Abtastwerten, wie sie beispielsweise bei der Messdatenauswertung mit PCs oder auch bei den FFT-Funktionen von Oszilloskopen verwendet wird, basiert auf Formel 6. Dabei wird davon ausgegangen, dass innerhalb eines Zeitfensters eine Abtastfolge mit insgesamt N Abtastwerten eingelesen wird.
Um die Formel 6 nun anwenden zu können, müssen wir das stetige Integral durch eine numerische Formulierung ersetzen, wobei wir als einfachstes Integrationsverfahren die sogenannte Rechteckregel wählen – also eine Summation über den Ausdruck im Integral bei gleichzeitiger Multiplikation mit der Abtastzeit TA. Weiterhin ist zu berücksichtigen, dass aus N Abtastwerten nur N Spektralwerte berechnet werden können. Nach einigen Umformungen erhält man die Formel für die sogenannte Diskrete Fourier-Transformation (DFT) in Formel 8:
Bei der softwaretechnischen Umsetzung kann die Rechenzeit weiter optimiert werden, wenn bestimmte zusätzliche Annahmen getroffen werden. Diese Art der Implementierung hat sich unter dem Begriff Fast Fourier Transformation (FFT) durchgesetzt. U ist in Formel 8 zunächst eine sogenannte spektrale Dichte (also beispielsweise in V/Hz). In den meisten Fällen wird bei der Umsetzung von Formel 8 auf die Multiplikation mit TA verzichtet. Durch Division mit N erhält man direkt eine Schreibweise, bei der hinter den einzelnen Spektralwerten Amplituden periodischer Signalanteile in ihrer ursprünglichen physikalischen Einheit (zum Beispiel Spannung [V]) stehen.