Messtechnik Digitalisieren von Messwerten und was dahinter steckt
Messsysteme sind mit A/D-Wandlern ausgestattet, die analoge Werte in digitale transformieren. Unser Beitrag zeigt wichtige Grundlagen, um analoge Messwerte zu digitalisieren.
Anbieter zum Thema

Eine Kernaufgabe eines Messsystems ist es, die Messwerte zu digitalisieren. Zum Einsatz kommen A/D-Wandler, die eine analoge Eingangsspannung in ein digitales Datenwort abbilden, dessen Wert als Zahl gelesen die Eingangsspannung repräsentiert. Zur Messung anderer elektrischer Signale wie Strom, Widerstand, Kapazität oder Induktivität, wie sie beispielsweise von Sensoren geliefert werden, werden Umformelektroniken vorgeschaltet, die das entsprechende Eingangssignal in eine durch den A/D-Wandler verarbeitbare Spannung wandeln.
Das Grundprinzip eines A/D-Wandlers zeigt Bild 1 am Beispiel einer Eingangsspannung von 0 bis 10 V und einer A/D-Auflösung von 10 Bit. Der Wandler teilt den gesamten Eingangsspannungsbereich in viele gleich hohe Stufen ein, die mit einem aufsteigenden Zahlenwert nummeriert sind. Der Zahlenwert wird durch eine Binärzahl repräsentiert, die eine der Auflösung entsprechende Anzahl von Bits umfasst. Mit n Bits lassen sich 2n Stufen darstellen. Im dargestellten Beispiel sind 210 = 1024 Stufen möglich, was eine Stufenhöhe von ca. 9,8 mV ergibt.
Die vom A/D-Wandler ausgegebene Binärzahl muss softwareseitig in eine entsprechende Spannung wieder zurück gerechnet werden. Entgegen einer weit verbreiteten Praxis sollte hierbei der kleinsten Binärzahl 000...000, welche die unterste Stufe repräsentiert, nicht der Spannungswert 0 V zugeordnet werden, sondern vielmehr die Hälfte der Stufenhöhe. In analoger Weise werden allen weiteren Binärzahlen die der Mitte ihrer jeweiligen Stufe entsprechenden Spannungen zugeordnet.
Der Grund hierfür liegt in der Minimierung der Quantisierungsabweichung. Die Kennlinie eines A/D-Wandlers zeigt das Bild 2: Zu sehen ist eine Treppenkurve, welche sich mit steigender Auflösung n immer mehr der idealen (stetigen) Gerade annähert. Die in den Chips der A/D-Wandler verwendeten Umsetzverfahren unterscheiden sich stark in ihrer Auflösung (8 bis 24 Bit), der Umsetzzeit (1 ns bis 100 ms) und dem Aufwand. Unter letzterem ist die Anzahl der schaltungstechnischen Basiselemente auf dem Chip und damit die benötigte Chipfläche zu verstehen.
Verfahren mit geringer Chipfläche sind häufig in Mikrocontrollerchips integriert. Einfachere Messdatenerfassungshardware verwendet intern häufig diese kostengünstige Variante, während höherwertige Komponenten in aller Regel mit eigenen A/D-Wandler-Chips höherer Umsetzqualität arbeiten.
Mit einer endlichen Auflösung des A/D-Wandlers kann die analoge Eingangsspannung nur in eine endliche Anzahl von Stufen übergeführt werden. Die Information über den genauen Eingangsspannungswert geht prinzipbedingt verloren. Anders formuliert: Die zurück gerechnete Spannung ist quantisiert – jede Analog-Digital-Umsetzung geht mit einer gewissen Quantisierungsabweichung einher. Sie entspricht im ungünstigsten Fall betragsmäßig der halben Stufenhöhe, wenn man bei der Rückrechnung wie oben dargestellt jeweils den Spannungswert der Stufenmitte heranzieht.
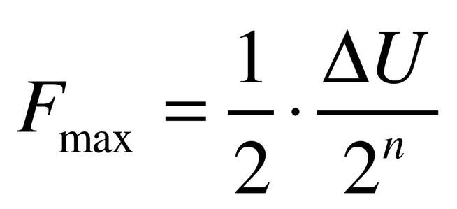
Im Beispiel aus Bild 1 würde jede Eingangsspannung von 0 V bis knapp unter 9,8 mV zu einer nach Analog-Digital-Umsetzung zurückgerechneten Spannung von stets ungefähr 4,9 mV führen – die maximal auftretende Abweichung wäre ebenso 4,9 mV. Würde man bei der Rückrechnung bei einer Zuordnung von 0 V für die unterste Stufe beginnen, so wäre die maximale Abweichung betragsmäßig doppelt so groß, also bei ungefähr 9,8 mV. Allgemein formuliert weist ein A/D-Wandler mit einem Eingangsspannungsbereich ΔU und einer Auflösung n (in Bit) eine betragsmäßig maximale Quantisierungsabweichung Fmax nach Formel 1 auf.
Wird eine Eingangsspannung von etwa 4,9 V digitalisiert, also etwa in der Mitte des Eingangsspannungsbereichs, so entspricht das einer betragsmäßig maximalen relativen Abweichung von 0,1%, was für viele Anwendungen der Messdatenerfassung vermutlich ausreicht. Anders bei sehr kleinen Spannungen, wie sie beispielsweise Sensoren liefern. Bei einer Eingangsspannung von 49 mV muss man mit einer Abweichung von 10% rechnen und bei 4,9 mV werden es 100%.
Grundlegende Regel bei der Digitalisierung: Sollen bezogen auf den Eingangsspannungsbereich des A/D-Wandlers kleine Spannungen verarbeitet werden, so verhindert man das Abtauchen in zu große relative Abweichungen, indem man die Eingangsspannung zunächst entsprechend verstärkt.
(ID:44076972)
