Messtechnik-Grundlagen Welchen Einfluss die Auflösebandbreite eines Spektrumanalysators hat
Die Auflösebandbreite ist ein wesentlicher Schlüsselparameter bei der Wahl des Spektrumanalysators in der Messtechnik. Unser Beitrag erklärt diesen Parameter anhand eines Beispiels.
Anbieter zum Thema

Im vierten Teil unserer Serie zum Thema Spektrumanalyse geht es um die Auflösung der einzelnen Signale. Nach dem Zwischenfrequenzverstärker aus Teil 3 schließen sich die Zwischenfrequenzfilter an, die entweder aus analogen oder digitalen Filtern bestehen und die Auflösebandbreite bestimmen. Diese ist ein wichtiger Schlüsselparameter für die Selektion des richtigen Spektrumanalysators, um eine Messaufgabe zu lösen. Die Auflösebandbreite wird definiert als das Vermögen des Spektrumanalysators, wie das Messgerät sehr eng benachbarte Frequenzen voneinander trennen kann, so dass der Anwender eindeutig erkennt, dass beispielsweise zwei Sinussignale dicht beieinander stehen.
Ein kurzer Rückblick: Nach Fourier lassen sich die periodischen Signale in einzelne Sinussignale aufspalten. Unabhängig davon, wie nahe diese im Frequenzbereich beieinander stehen, sind es doch einzelne Nadeln. Allerdings unterscheidet sich hier Theorie und Praxis: Was man auf dem Display sieht ist eine deutlich breiter werdende Glockenkurve.
Zum Verständnis muss man sich die Wirkungsweise eines Überlagerungsempfängers anschauen. Der Ausgang des Mischers enthält alle Mischprodukte plus die beiden Originalsignale, das Eingangssignal und die Frequenz des Lokaloszillators (LO). Das Bandpassfilter legt die Zwischenfrequenz fest und selektiert das gewünschte Mischprodukt, wobei alle anderen Signale unterdrückt werden. Nachdem das Eingangssignal stabil ansteht und der LO über den Frequenzbereich durchgewobbelt wird, ist auch das Ausganssignal des Mischers gewobbelt. Damit wird die Durchlasskennlinie des Bandpassfilters auf dem Display sichtbar. Vor dem geistigen Auge des Betrachters beschreibt der dargestellte Messwert die betragsmäßige, rot dargestellte Übertragungsfunktion des Bandpassfilters (Bild 1).
Um zwei Signale voneinander unterscheiden zu können, müssen sie mindestens so weit auseinander liegen, dass die beiden Spitzen der Glockenkurven deutlich sichtbar sind. Andernfalls fallen sie zusammen und man kann nicht mehr erkennen, dass zwei Signalanteile vorhanden sind. Aus diesem Grund können bei den Spektrumanalysatoren unterschiedliche und schmalbandige ZF-Filter gewählt werden, um frequenzseitig sehr nah beieinander liegende Signalanteile zu erkennen.
Zwei benachbarte Signale gleicher Amplitude erkennen
Liegen die beiden Signale in Bild 2 noch näher beieinander, würden sie nur als ein Signal (Sinus) wahrgenommen werden. Eine Daumenregel für die Praxis: Es sollte eine Amplitudenabsenkung von 3 dB ausreichen, um zwei benachbarte Signale gleicher Amplitude zu erkennen. Anders sieht es aus, wenn es zwei unterschiedliche Signale gibt, die auch in der Amplitude deutliche Unterschiede aufweisen. Dann kann es passieren, dass das größere Signal ein weiteres kleineres Signal komplett verdeckt (Bild 3). Hier unterliegt man der Täuschung, dass es sich um ein Signal handelt, eines bei 300 MHz mit 0 dBm, das kleinere bei 300,005 MHz mit -30 dBm. Das kleinere Signal zeigt sich auf dem Display, wenn das 300-MHz-Signal abgeschaltet wird.
Eine weitere Spezifikation ist die Bandbreiten-Trennschärfe. Die auch als Bandwidth Selectivity oder Selectivit or Shape Factor bekannte Größe gibt an, wie hoch das Auflösungsvermögen für ungleiche Sinussignale ist. Bei Keysight ist das Bandbreitenverhältnis der Filterübertragungsfunktion bei der -60-dB-Bandbreite zur -3-dB-Bandbreite definiert, wenn der maximale Signalpegel auf 0 dB eingestellt ist. Aktuelle Spektrumanalysatoren nutzen einen Filter 4. Ordnung mit einer Gaußschen Hüllkurve. Dieser Filtertyp bietet eine Bandbreitentrennschärfe von 12,7:1.
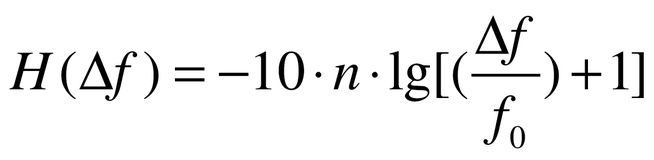
Welche Auflösebandbreite (RBW) muss gewählt werden, um mit einer Bandbreitentrennschärfe von 12,7:1 mit einem Abstand von 4 kHz und einer um 30 dB kleineren Amplitude von einem großen Sinus-Signal mit 0 dB zu separieren? Für die Praxis lassen sich folgende Gleichungen nutzen:
mit Gleichung 2
Es gelten: H(Δf) ist die Filterhüllkurve, N ist die Filterordnung, Δf ist der Frequenzoffset von der Mittenfrequenz und f0 ist eine Hilfsgröße. Die Tabelle zeigt die Werte für zwei Beispiele, wie sie bei einer Auflösebandbreite von 3 und 1 kHz bei einer Filterordnung 4. Grades gemessen werden.
In aktuellen Spekrumanalysatoren werden zunehmend digitale Filter eingesetzt. Der Vorteil ist, dass sich mit ihnen wesentlich schmalere Filter mit besserer Bandbreiten-Trennschärfe realisieren lassen. Bei der PSA- und X-Serie von Keysight werden alle Filter für die Auflösebandbreite (RBW) digital realisiert, bei der ESA-E-Serie wird eine hybride Methode angewendet, indem analoge Filter für die breiteren Bandbreiten, die digitalen für die schmalen Bandbreiten im Bereich 300 Hz und darunter angewendet werden.
(ID:43877899)

