Elektrische und thermische UntersuchungsmethodenTeil 2: Qualifizierung von Vias und Buried Vias
Von
Prof. Dr.-Ing. Felix Müller-Gliesmann, Hochschule Mannheim - Institut für Analogtechnik und Sensorik (AGT) und Helge Schimanski, Fraunhofer-Institut für Siliziumtechnologie (ISIT)
7 min Lesedauer
Die fortschreitende Miniaturisierung und steigende Komplexität elektronischer Baugruppen stellen immer höhere Anforderungen an die Zuverlässigkeit und Lebensdauer von Multilayerleiterplatten.
Qualifizierung: Visuelle Analyse von Buried Vias im Querschliff unter dem Lichtmikroskop.
(Bild: AGT & ISIT)
Elektronische Baugruppen bestehen aus Schaltungsträgern, elektronischen Bauteilen und eventuell noch mechanischen Komponenten. Als Schaltungsträger werden in sehr vielen Anwendungen Mehrlagenleiterplatten (Kurz: Leiterplatte oder Platine) eingesetzt, die auch als Multilayerleiterplatten oder Multilayerplatinen bezeichnet werden. Die Komplexität elektronischer Baugruppen hat sich in den letzten 15 bis 20 Jahren deutlich verändert. Es ist nicht mehr so, dass die Elektronik und darauf installierte Software uns nur begleiten, sondern in speziellen Anwendungen treffen die Elektronik und die Software inzwischen Entscheidungen, die über unseren privaten und beruflichen Alltag entscheiden und somit auch in speziellen Fällen über unser Leben. Insofern sind die Anforderungen an solche elektronischen Systeme hinsichtlich Zuverlässigkeit und Lebensdauer deutlich gestiegen.
Diese Anforderungen werden auf die Multilayerleiterplatten übertragen, weil sie die Basis der elektronischen Produkte sind und zum Beispiel auch bei Hochstromanwendungen in der Elektromobilität oder auch in der Medizintechnik eine zentrale Rolle spielen.
In Multilayerplatinen werden verschiedene Durchkontaktierungen (Vias) eingesetzt werden: Zum Beispiel µ-Via, Blind-Via, Buried-Via oder gebohrte Durchkontaktierungen. Vias dienen zur elektrischen Verbindung der verschiedenen Lagen in Mehrlagenleiterplatten. Mit zunehmender Miniaturisierung der elektronischen Bauteile wirkt sich dies auch auf die Strukturen in den Leiterplatten aus, so bewegen sich die gültigen Designregeln hinsichtlich der Leiterplattentechnologie zunehmend in technologischen Grenzbereichen oder sogar über die bisher als gültig vereinbarten Grenzen hinaus.
Aufgrund des Umfangs wurde dieser Artikel in drei Teile aufgeteilt, die nacheinander in EP erscheinen werden: Visuelle und optische Untersuchungsmethoden im Querschliff (Teil 1), Elektrische und thermische Untersuchungsmethoden (Teil 2) und CT-Röntgenanalyse und Ultraschall-Prüfverfahren (Teil 3). Inhaltlich hängen diese 3 Teile zusammen und bauen aufeinander, so dass es für das Gesamtverständnis hilfreich ist, wenn die vorhergehenden Teile bekannt sind. Den ersten Teil der Reihe Wissenschaftliche Untersuchungen von Vias und Buried Vias in Mehrlagenleiterplatten finden Sie in ELEKTRONIKPRAXIS-Ausgabe 13/2023 ab Seite 42.
Neben der visuellen Analyse im Querschliff können noch weitere Methoden angewendet werden, die nicht zerstörend sind. Dazu gehören u.a. die elektrische Messung und thermische Analyse der Kupferstrukturen. Mit diesen Analysenmethoden können aber nur die Kupferstrukturen und nicht das Epoxidharz analysiert werden. Im Rahmen dieser Analysen werden durch die Kupferstrukturen ein elektrischer Strom geleitet und die elektrische Spannung gemessen, die über den Kupferstrukturen abfällt und daraus der elektrische Widerstand nach dem ohmschen Gesetz ermittelt.
Der elektrische Widerstand von einzelnen Kupferstrukturen ist sehr klein und liegt typischerweise in der Größenordnung von Mikro-Ohm (µΩ). Der elektrische Widerstand R hängt vom spezifischen Widerstand des Kupfers und von der Länge L und der Fläche A der Kupferstrukturen ab und kann nach der Formel 2 berechnet:
(Bild: Hochschule Mannheim)
Bei der Messung von mehreren Kupferstrukturen hängt der elektrische Gesamtwiderstand davon ab, ob die Kupferstrukturen entweder in Reihe oder parallel geschaltet sind, so dass für die Berechnung des elektrischen Gesamtwiderstandes entsprechend die Zusammenhänge für Reihen- oder Parallelschaltungen anzuwenden sind. Zur elektrischen Messung dieser relativ kleinen Widerstandswerte kann beispielsweise die Vierleiter-Methode angewendet werden, um Kontakt- und Übergangswiderstände bei der Messung zu kompensieren. Dabei wird mit zwei äußeren Leitern mit einer Stromquelle ein konstanter Strom in die Kupferstrukturen eingespeist und der Spannungsabfall innerhalb dieses stromdurchflossenen Leiterbildes mit zwei Messpunkten abgegriffen. Hierbei können einzelne Vias oder auch längere elektrische Verbindungen aus Reihen- oder Parallelschaltungen von verschiedenen Leiterbahnen und Kupferstrukturen mit Vias oder Buried Vias gemessen werden.
Der Messwert kann dann mit dem Sollwert aus der theoretischen Berechnung verglichen werden. Für die theoretische Berechnung werden die Geometriedaten aus dem Layout der Schaltung verwendet. Eine größere Abweichung des Messwertes vom Sollwert deutet dann auf einen Unterschied zwischen der Struktur im Layout im Vergleich zu der gefertigten Kupferstruktur hin. Allerdings ist es dann meistens schwierig, einen möglichen Fehler elektrisch exakt zu lokalisieren, weil die Widerstandswerte der einzelnen Kupferstrukturen sehr klein sind. Eine Eingrenzung ist möglich, indem die verschiedenen Einzelstrukturen direkt mit den Messpunkten abgegriffen werden.
Stand: 08.12.2025
Es ist für uns eine Selbstverständlichkeit, dass wir verantwortungsvoll mit Ihren personenbezogenen Daten umgehen. Sofern wir personenbezogene Daten von Ihnen erheben, verarbeiten wir diese unter Beachtung der geltenden Datenschutzvorschriften. Detaillierte Informationen finden Sie in unserer Datenschutzerklärung.
Einwilligung in die Verwendung von Daten zu Werbezwecken
Ich bin damit einverstanden, dass die Vogel Communications Group GmbH & Co. KG, Max-Planckstr. 7-9, 97082 Würzburg einschließlich aller mit ihr im Sinne der §§ 15 ff. AktG verbundenen Unternehmen (im weiteren: Vogel Communications Group) meine E-Mail-Adresse für die Zusendung von redaktionellen Newslettern nutzt. Auflistungen der jeweils zugehörigen Unternehmen können hier abgerufen werden.
Der Newsletterinhalt erstreckt sich dabei auf Produkte und Dienstleistungen aller zuvor genannten Unternehmen, darunter beispielsweise Fachzeitschriften und Fachbücher, Veranstaltungen und Messen sowie veranstaltungsbezogene Produkte und Dienstleistungen, Print- und Digital-Mediaangebote und Services wie weitere (redaktionelle) Newsletter, Gewinnspiele, Lead-Kampagnen, Marktforschung im Online- und Offline-Bereich, fachspezifische Webportale und E-Learning-Angebote. Wenn auch meine persönliche Telefonnummer erhoben wurde, darf diese für die Unterbreitung von Angeboten der vorgenannten Produkte und Dienstleistungen der vorgenannten Unternehmen und Marktforschung genutzt werden.
Meine Einwilligung umfasst zudem die Verarbeitung meiner E-Mail-Adresse und Telefonnummer für den Datenabgleich zu Marketingzwecken mit ausgewählten Werbepartnern wie z.B. LinkedIN, Google und Meta. Hierfür darf die Vogel Communications Group die genannten Daten gehasht an Werbepartner übermitteln, die diese Daten dann nutzen, um feststellen zu können, ob ich ebenfalls Mitglied auf den besagten Werbepartnerportalen bin. Die Vogel Communications Group nutzt diese Funktion zu Zwecken des Retargeting (Upselling, Crossselling und Kundenbindung), der Generierung von sog. Lookalike Audiences zur Neukundengewinnung und als Ausschlussgrundlage für laufende Werbekampagnen. Weitere Informationen kann ich dem Abschnitt „Datenabgleich zu Marketingzwecken“ in der Datenschutzerklärung entnehmen.
Falls ich im Internet auf Portalen der Vogel Communications Group einschließlich deren mit ihr im Sinne der §§ 15 ff. AktG verbundenen Unternehmen geschützte Inhalte abrufe, muss ich mich mit weiteren Daten für den Zugang zu diesen Inhalten registrieren. Im Gegenzug für diesen gebührenlosen Zugang zu redaktionellen Inhalten dürfen meine Daten im Sinne dieser Einwilligung für die hier genannten Zwecke verwendet werden. Dies gilt nicht für den Datenabgleich zu Marketingzwecken.
Recht auf Widerruf
Mir ist bewusst, dass ich diese Einwilligung jederzeit für die Zukunft widerrufen kann. Durch meinen Widerruf wird die Rechtmäßigkeit der aufgrund meiner Einwilligung bis zum Widerruf erfolgten Verarbeitung nicht berührt. Um meinen Widerruf zu erklären, kann ich als eine Möglichkeit das unter https://contact.vogel.de abrufbare Kontaktformular nutzen. Sofern ich einzelne von mir abonnierte Newsletter nicht mehr erhalten möchte, kann ich darüber hinaus auch den am Ende eines Newsletters eingebundenen Abmeldelink anklicken. Weitere Informationen zu meinem Widerrufsrecht und dessen Ausübung sowie zu den Folgen meines Widerrufs finde ich in der Datenschutzerklärung, Abschnitt Redaktionelle Newsletter.
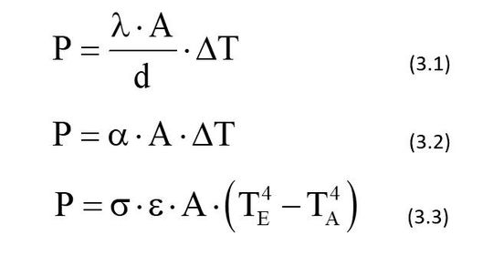
Alternativ kann für die gezielte Lokalisierung des möglichen Fehlers im Kupferleiterbild zusätzlich eine thermische Messung mit einer Infrarotkamera (IR-Kamera) eingesetzt werden. Bei diesen thermischen Messungen ist es wichtig, dass sich ein thermodynamisches Gleichgewicht eingestellt hat. Durch die eingespeiste elektrische Leistung P (P = U⋅I) entsteht durch den elektrischen Widerstand eine Erwärmung im Kupfer. Das thermodynamische Gleichgewicht entsteht dann durch folgende physikalische Wärme-Gesetze, die sich ebenfalls auf die verschiedenen Leistungen P beziehen: Wärmeleitung (Formel 3.1), Konvektion (Formel 3.2) und Wärmestrahlung (Formel 3.3). Die Temperaturdifferenz ∆T ist die Differenz der Anfangstemperatur TA und der Endtemperatur TE (∆T = TE - TA).
(Bild: Hochschule Mannheim)
Dabei ist λ die Wärmeleitfähigkeit des verwendeten Materials, A die zugehörige Fläche und d der zugehörige Abstand, α der Wärmeübergangskoeffizient, ε der Emissionskoeffizient des Materials undσdie Stefan-Boltzmann-Konstante σ = 5,6703 ⋅ 10-8 W/m²K4). Der Wärmeübergangskoeffizient α von ruhender Luft liegt bei etwa 10 W/m²⋅K, der Emissionskoeffizient ε von Epoxidharz liegt etwa bei 0,95 und die Wärmeleitfähigkeit von Kupfer beträgt etwa 360 W/m⋅K und für Epoxidharz etwa 0,25 W/m⋅K.
Durch einen elektrischen Strom entsteht durch den elektrischen Widerstand eine Erwärmung der Kupferstrukturen. Die Wärme verteilt sich im Kupfer über Wärmeleitfähigkeit des Kupfers und zusätzlich auch in der Leiterplatte über die Wärmeleitfähigkeit des Epoxidharzes. Obwohl die Wärmeleitfähigkeit des Epoxidharzes viel kleiner ist als von Kupfer, das Verhältnis liegt etwa bei 0,07 Prozent, wird ein Teil der Wärme über das Epoxidharz an die benachbarten Kupferstrukturen in anderen Kupferlagen geleitet (Bild 1). Dies hängt davon ab, wie groß der Abstand d zwischen den verschiedenen Lagen ist.
Bild 1: Die Wärmeverteilung im thermodynamischen Gleichgewicht auf verschiedene Kupferlagen in einer 4-lagigen Leiterplatte. Die senkrechten Leiterbahnen werden von einem konstanten Strom auf Lage 1 (Top) und Lage 4 (Bottom) durchflossen und sind durch ein oder mehrere Vias verbunden. Auf den Innenlagen 2 und 3 befinden sich horizontal querverlaufende Kupferleiterbahnen, die aber elektrisch nicht mit Lage 1 und 4 verbunden sind. Über das Epoxidharz zwischen den verschiedenen Kupferlagen wird die Wärme von Lage 1 und 4 auf die Innenlagen 2 und 3 übertragen. Im linken Bild (a) sind die Außenlagen 1 und 4 durch eine Durchkontaktierung verbunden. Im rechten Bild (b) sind die Außenlagen 1 und 4 durch 3 Durchkontaktierungen miteinander verbunden [2].
(Bild: Hochschule Mannheim, Institut für Analogtechnik und Sensorik [1])
Das Bild 1 zeigt die Wärmeverteilung im thermodynamischen Gleichgewicht auf verschiedene Kupferlagen in einer 4- lagigen Leiterplatte. Die senkrechten Leiterbahnen auf den Außenlagen werden von einem konstanten Strom auf Lage 1 (Top) und Lage 4 (Bottom) durchflossen und sind durch ein oder mehrere Vias verbunden. Auf den Innenlagen 2 und 3 befindet sich querverlaufende Kupferleiterbahnen, die aber elektrisch nicht mit Lage 1 und 4 verbunden sind. Über das Epoxidharz zwischen den verschiedenen Kupferlagen wird die Wärme von Lage 1 und 4 auf die Innenlagen 2 und 3 übertragen und somit auch quer zur Stromrichtung weitergeleitet. Abhängig von der Zahl der Vias unterscheidet sich die Erwärmung der Kupferleiterbahnen, die elektrisch angeschlossen sind. Im linken Bild (a) sind die Außenlagen 1 und 4 durch eine Durchkontaktierung verbunden. Im rechten Bild (b) sind die Außenlagen 1 und 4 durch drei Durchkontaktierungen miteinander verbunden, so dass sich die Erwärmung der stromführenden Leitung gegenüber dem Fall (a) unterscheidet. Insgesamt wird die Wärme über Konvektion und Wärmestrahlung an die Umgebung abgegeben, so dass sich nach dem Einschalten des elektrischen Stromes ein thermodynamisches Gleichgewicht gebildet hat.
Bild 2: Thermische Messungen mit IR-Kamera von einer identischen Kupferleiterbahn von zwei verschiedenen Leiterplatten im thermodynamischen Gleichgewicht: Links (a) eine fehlerfreie und rechts (b) eine fehlerhafte Kupferleiterbahn mit derselben Teststruktur. Die höhere Temperatur bei (b) zeigt den höheren elektrischen Widerstand der fehlerhaften Leiterbahn, die auf eine geringere Kupferschichtdicke hinweist [2].
(Bild: Hochschule Mannheim, Institut für Analogtechnik und Sensorik [1])
In Bild 2 ist im Vergleich die thermische Messung eine Kupferleiterbahn von zwei verschiedenen Leiterplatten im thermodynamischen Gleichgewicht dargestellt. Im linken Bild (a) eine fehlerfreie und im rechten Bild (b) eine fehlerhafte Kupferleiterbahn, die dieselbe Teststruktur haben. Die fehlerhafte Leiterbahn hat einen höheren elektrischen Widerstand, der etwa 35 Prozent größer ist, weil dort weniger Kupfer abgeschieden wurde [1]. Die Kupferschichtdicke der beiden Leiterplatten unterscheidet sich, obwohl beide Leiterplatten gleichzeitig in einem Nutzen mit demselben Herstellungsprozess und Parametern erstellt wurden, die aber in der Produktionsanlage lokal schwanken können. Durch den höheren elektrischen Widerstand wird diese Leiterbahn stärker erwärmt. Dies ist dann deutlich mit der IR-Kamera zu erkennen. Hierbei zeigt sich, dass die Kupferabscheidung der zugehörigen Lage nicht fehlerfrei erfolgt ist. Somit kann mit diesen Messverfahren die Qualität der Kupferabscheidung analysiert werden. Mit diesen elektrischen und thermischen Messmethoden kann aber nicht die Harzverfüllung der Buried Vias ermittelt werden. Dafür werden weitere Untersuchungsmethoden benötigt.
Zusammenfassung und Ausblick
Der Einsatz von Buried Vias in Multilayer-Leiterplatten nimmt immer weiter zu. Für die Zuverlässigkeit dieser Leiterplatten ist es erforderlich, die Buried Vias vollständig mit Harz zu verfüllen und eine homogene Struktur der Füllstoffe zu erreichen, damit kein vorzeitiger Ausfall der Leiterplatten stattfindet. Die Untersuchung von Buried Vias im Querschliff zeigt immer nur einzelne Bereiche der Leiterplatte, die statistisch bei der Präparation der Querschliffe entstehen. Um aber ein wissenschaftlich vollständiges Verständnis und Bild von den Buried Vias zu bekommen, wäre es erforderlich weitere Analyse-Methoden einzusetzen, mit denen alle Buried Vias in einer Leiterplatte komplett erfasst werden können. Aussichtsreiche Methoden wären beispielsweise die CT-Röntgenanalyse oder das Ultraschall-Prüfverfahren, die in dem nächsten Teil 3 erläutert werden.
Die Ergebnisse dieser Untersuchungen sind dann mit den optischen und thermischen Analysen zu vergleichen. Es ist geplant mit diesen Verfahren ausführliche wissenschaftliche Untersuchungen an Buried Vias durchzuführen. Dafür werden noch interessierte Kooperationspartner gesucht. Interessenten können sich an die Autoren wenden. (mbf)
Literaturverzeichnis
[1] M. Schmidt: Untersuchung und Charakterisierung von Vias und Buried Vias in Mehrlagenleiterplatten für Hochstromanwendungen, Bachelorarbeit an der Hochschule Mannheim, Institut für Analogtechnik und Sensorik (AGT), 22.02.2022