Anbieter zum Thema
Schaltungsbeispiel Track-and-hold-Verstärker
Ein Schaltungsbeispiel hierfür ist ein Track-and-hold-Verstärker. Das erfasste Eingangssignal soll für die Analog/Digital-Wandlung konstant gehalten werden (Bild 6b). Wenn der Schalter S1 schließt, wird der kleine Pufferkondensator (C) mit der Eingangsspannung (VS) verbunden. Dieser Kondensator hat eine Kapazität von wenigen Picofarad und behält beim Öffnen von S1 seine momentane Spannung bei.
Zu Beginn eines Umsetzungszyklus wird die Haltespannung (VH) mit dem hochohmigen Eingang des Pufferverstärkers verbunden. Der Pufferverstärker sorgt dafür, dass am (relativ niederohmigen) Eingang des nachgeschalteten A/D-Wandlers, für den gesamten Umsetzungszyklus, eine konstante Spannung VH anliegt.
Kurze Abtastzeiten erfordern sowohl eine kleine Track-und-hold-Kapazität (C) als auch einen Schalter (S1) mit niedrigem RON. Infolge der Ladungsträgerinjektion verändert sich die Spannung VH und verringert somit die Genauigkeit der A/D-Umsetzung.
Leckströme (Leakage) und deren Einfluss auf den Spannungsfehler
Auch Leckströme beeinflussen den Ausgang eines Analogschalters. Die Bilder 7 und 8 zeigen vereinfachte Kleinsignalmodelle eines Analogschalters im On- bzw. Off-Zustand. In beiden Fällen verursachen interne parasitäre Dioden Leckströme, die über RL zum Ausgangsspannungsfehlern führen. Der Leckstrom ist temperaturabhängig und verdoppelt sich etwa alle 10°C. Einige Analogschalter enthalten ESD-Schutzdioden, die zusätzliche Leckströme hervorrufen.
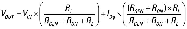
Die Ausgangsspannung im On-Zustand berechnet sich nach Gleichung 3. Sie ist eine Funktion des Leckstroms, des RON, der RON-Welligkeit, des Lastwiderstands und des Quellwiderstands. Wobei der Leckstrom (Ilkg) in den Bildern 7 und 8 IS oder ID ist, je nachdem ob die Drain- oder Source-Seite eines bidirektionalen Analogschalters als Ausgang konfiguriert ist.
Die Ausgangsspannung im Off-Zustand ist in erster Linie eine Funktion des Leckstroms und berechnet sich nach der Gleichung VOUT = Ilkg × RL.
Viele IC-Datenblätter enthalten Angaben zu den On/off-Leckströmen unter Worst-Case-Bedingungen: Nähert sich die Signalspannung den Betriebs-spannungsgrenzen, injizieren die parasitären Dioden höhere Leckströme in das Substrat und verursachen einen Stromfluss in Nachbarkanäle.
Der Schwerpunkt des zweiten Teils dieses Artikels liegt auf anwendungsspezifischen Analogschaltern.
//
* * Usama Munir arbeitet als Applikationsingenieur bei Maxim Integrated in Dublin/Irland.
* * David Canny. ist als Inside Applications Manager für die EMEA-Region bei Maxim Integrated in Dublin/Irland tätig.
Artikelfiles und Artikellinks
(ID:35852710)
