Anbieter zum Thema
Die Rauschverstärkung des differenziellen Verstärkers muss berechnet werden, um seinen Beitrag zum äquivalenten Ausgangsrauschen auszurechnen.
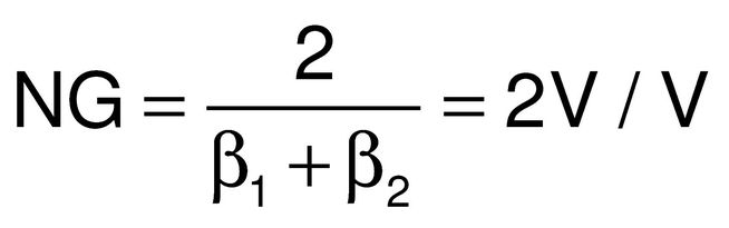
Die Rauschverstärkung (NG) des differenziellen Verstärkers beschreibt Gleichung 2.
Dabei sind β1 und β2 Rückkopplungsfaktoren: β1 = R1/(R1 + R2) = 0,5 und β2 = R3/(R3 + R4) = 0,5.
Die folgenden Rauschquellen des differenziellen Verstärkers sollten berücksichtigt werden: Da das Eingangsspannungsrauschen 3,9 nV/√Hz beträgt, ergibt sich das differenzielle Ausgangsrauschen mit 7,8 nV/√Hz. Das Gleichtakteingangsspannungsrauschen (eOCM) beträgt 83 nV/√Hz laut Datenblatt. Damit ergibt sich ein Ausgangsrauschen von –eOCM (β1 – β2) NG = 0.
Das Wärmerauschen der Widerstände R1, R2, R3 und R4 lässt sich mit der Johnson-Nyquist-Rauschgleichung für eine gegebene Bandbreite berechnen: eRn = [4 kB T R]-1/2
Es bedeuten kB Boltzmann-Konstante kB=1,38065 × 10–23 J/K). T ist die absolute Temperatur des Widerstands in Kelvin (300 K) und R der Widerstandswert in Ohm [Ω]. Das Rauschen der Rückkopplungswiderstände ergibt sich als eR2 = eR4 = 4,07 nV/√Hz.
Das Rauschen von R1 entspricht eR1 × (1 – β1) × NG = 4,07 nV/√Hz und R3 eR3 × (1 – β2) × NG = 4,07 nV/√Hz.
Das Stromrauschen des ADA4940-1 beträgt 0,81 pA/√Hz laut Datenblatt.
Invertierendes Eingangsspannungsrauschen: iIN– × R1|| R2 × NG = 0,81 nV/√Hz.
Nicht-Invertierendes Eingangsspannungsrauschen: iIN+ × R3|| R4 × NG = 0,81 nV/√Hz.
Der äquivalente Beitrag des Ausgangsrauschens beträgt: [(7,8 10-9)2 + (0)2 + 4 × (4,07 10-9)2 + 2 × (0,81 10-9)2]-1/2= 11,33 nV/√Hz.
Das integrierte Gesamtrauschen am Eingang des A/D-Wandlers (nach dem RC-Filter) beträgt 11,33 nV/√Hz × [(2,7 106 × π/2)]-1/2
= 23,26 µVeff.
Das Effektivwertrauschen des AD7982 lässt sich aus seinem durchschnittlichen
Signal/Rausch-Verhältnis von 98 dB für eine 5-V-Referenz berechnen (Gleichung 3).
Mit diesen Zahlen ergibt sich ein Rauschbeitrag des ADC-Treibers und A/D-Wandlers von
eRausch,eff = [(23,26 10-6)2 + (44,50 10-6)2]-1/2
= 50,21 µVeff
Der Rauschbeitrag der Referenz ADR435 wurde in diesem Fall ignoriert, da er vernachlässigbar ist.
Somit lässt sich das theoretische Signal/Rausch-Verhältnis des Datenerfassungssystems nach Gleichung 4 zu 96,95 dB berechnen.
Der AD7982 erreicht ein Signal/Rausch-Verhältnis von durchschnittlich 96,67 dB und eine gesamte harmonische Verzerrung (THD) von –111,03 dB für ein 1-kHz-Eingangssignal, wie das FFT-Diagramm in Bild 3 (nur online) zeigt.
Das gemessene Signal/Rausch-Verhältnis von 96,67 dB liegt ziemlich nahe bei dem oben theoretisch ermittelten Signal/Rausch-Verhältnis von 96,95 dB. Die Abweichung vom Wert, der im Datenblatt mit 98 dB angegeben wird, ist dem äquivalenten Ausgangsrauschen aus dem differenziellen Verstärkerschaltkreis ADA4940-1 zuzuschreiben.
Das Rauschen ist eine wichtige Angabe und sollte neben der Untersuchung von Bandbreite, Einschwingzeit, Ein- und Ausgangsreserven sowie Leistungsanforderungen bei der Auswahl eines ADC-Treibers zum Treiben eines SAR-A/D-Wandlers in einer Anwendung berücksichtigt werden. Für die Entwicklung differenzieller Verstärkerschaltkreise gibt es das kostenfreie Tool „DiffAmpCalc“ zum Download.
* Maithil Pachchigar arbeitet als Applikationsingenieur in der Gruppe Präzisionswandler bei Analog Devices in Wilmington / USA.
(ID:44788261)


