Aufgrund ihres Mehrschichtaufbaus reagieren Chip-Bead-Ferrite empfindlich auf Stromspitzen, wie sie typischerweise beim Einschalten von Schaltnetzteilen oder Elektromotoren auftreten. Ein optimiertes Lagendesign verbessert jedoch ihre Widerstandsfähigkeit gegenüber kurzzeitig starken Stromamplituden.
Die WE-MPSB-Familie.
(Bild: Würth Elektronik eiSos)
Bei einem Chip-Bead-Ferrit handelt es sich um eine Induktivität, die im Siebdruckverfahren hergestellt wird und typischerweise bei der EMV-Filterung Einsatz findet. Das Bauteil besteht aus einem Nickel-Zink-Ferrit und verfügt über eine innere Silberlage von wenigen Mikrometern Dicke. Dieser Aufbau macht den klassischen SMD-Ferrit anfällig für Stromspitzen oberhalb des maximalen Nennstroms. Diese können zur Schädigung oder sofortigen Zerstörung des Bauteils führen. Daher gilt für SMD-Ferrite im Allgemeinen, dass der maximale Nennstrom im Datenblatt auch die größte zulässige Stromamplitude bei kurzzeitiger Belastung definiert.
Mit der Bauteilserie WE-MPSB ist jedoch eine Reihe von Multilayer-Ferriten [1] verfügbar, deren Datenblätter eine separate Spitzenstrombetrachtung bieten. Würth Elektronik hat für diese Produkte ein optimiertes Lagendesign mit dem Ziel entwickelt, hohe Ströme, einen um bis zu 75 Prozent reduzierten Gleichstromwiderstand RDC und eine möglichst hohe Impedanz über das komplette Frequenzspektrum zu erreichen.
Bild 1 zeigt eine typische Anwendung: Der Multilayer-Ferrit am Eingang der Schaltung wird als Längsfilter eingesetzt. Im Einschaltmoment fließt aufgrund des niedrigen Einschaltwiderstands des Kondensators kurzzeitig ein sehr hoher Pulsstrom. Dieser belastet den SMD-Ferrit kurzzeitig mit einem Vielfachen des spezifizierten maximalen Nennstroms. In diesem Beispiel hat der optimierte Multilayer-Ferrit, der bei Würth Elektronik als „Multilayer Power Suppression Bead“ (kurz MPSB) bezeichnet wird, eine Impedanz von 600 Ω bei einer maximal erlaubten Nennstrombelastung von 2,1 A. Die einmalige Stromspitze erreicht in dieser Konstellation einen Wert von circa 19 A, und es dauert 0,8 ms, bis sie auf den Nennstrom der Schaltung abgeklungen ist.
Bild 1: Typische Anwendung mit Spitzenstrom im Einschaltmoment (5 A/DIV | 100μs/DIV).
(Bild: Würth Elektronik eiSos)
Für die SMD-Ferrite gilt, dass der maximale Nennstrom auch die maximale Stromamplitude bei kurzzeitiger Belastung definiert. Bei der WE-MPSB-Serie mit Pulsbelastung sind Multilayer-Ferrite verfügbar, die den Spitzenstrom separat im Datenblatt betrachten.
Testverfahren zur Pulsbelastbarkeit
Häufig treten Stromspitzen beispielsweise im Einschaltmoment verschiedener Schaltnetzteile sowie bei Elektromotoren auf. Bekannte Anwendungen mit wiederkehrenden Pulsen sind etwa Scheibenwischermotoren in Fahrzeugen, aber auch Vorschaltgeräte von Leuchtmitteln, die im Einschaltmoment des Lichtes eine hohe Stromspitze erzeugen können. Insbesondere verursacht der Eingangskondensator in einem Schaltregler nicht selten eine hohe Stromspitze, der ein vorgelagerter EMV-Filter standhalten muss. Als Pulse versteht man in diesem Zusammenhang kurzzeitige Stromspitzen mit einer zeitlichen Begrenzung unterhalb von 8 ms bis zum vollständigen Abklingen zum DC-Strom der Schaltung.
Auf der Suche nach einem einheitlichen Standard zur Messung der Pulsbelastbarkeit bei SMD-Ferriten wurde der geeignete Ansatz in der Definition des Schmelzintegrals für Sicherungen gefunden. Für die Bestimmung des I²t-Wertes der Sicherungen wird gemäß Standard ein Puls von 8 ms Länge auf die Sicherung gegeben, ein Intervall, das lange genug ist, um die Sicherung zu erhitzen. Hält die Sicherung stand, wird der Strom so lange weiter erhöht, bis die Erhöhung zur Zerstörung der Sicherung führt. Zwischen den Pulsen ist eine Pause von 10 s gefordert, um dem Bauteil die nötige Zeit zur Regeneration (Abkühlung) zu geben.
Bild 2: Mögliche Impulsformen im Einschaltmoment. Der Rechteck-Impuls stellt die höchste Belastung des Bauteils dar und wird daher in der Testroutine genutzt.
(Bild: Würth Elektronik eiSos)
Auf Basis dieser Sicherungsnorm hat Würth Elektronik eine angepasste Testroutine für die Multilayer-Ferrite entwickelt. Der in Bild 2 dargestellte Rechteck-Impuls wurde als Pulsform für alle Tests ausgewählt, weil dieser das Bauteil mit der höchstmöglichen Energie bei der gegebenen Pulslänge belastet, obgleich er in der Praxis im Einschaltmoment nur sehr selten anzutreffen sein wird.
Empirisch gemessene Pulsfestigkeit
Im Vergleich zur Sicherung ist es beim Multilayer-SMD-Ferrit nicht möglich, eine allgemeingültige Formel anzugeben, mit der man über die Berechnung des Schmelzintegrals auf die verschiedenen Spitzenströme bei unterschiedlichen Pulslängen schließen kann. Die empirisch ermittelten Datenblattwerte sind auf längerfristige Testreihen mit unterschiedlichen Parametern zurückzuführen [2].
Beispiel zur Verdeutlichung der Nichtanwendbarkeit des Schmelzintegrals für Multilayer-Ferrite, anhand des Ferrits 742 792 206 01 (Z = 600 Ω, IR = 2,1 A, RDC,typ = 43 mΩ).
Stand: 08.12.2025
Es ist für uns eine Selbstverständlichkeit, dass wir verantwortungsvoll mit Ihren personenbezogenen Daten umgehen. Sofern wir personenbezogene Daten von Ihnen erheben, verarbeiten wir diese unter Beachtung der geltenden Datenschutzvorschriften. Detaillierte Informationen finden Sie in unserer Datenschutzerklärung.
Einwilligung in die Verwendung von Daten zu Werbezwecken
Ich bin damit einverstanden, dass die Vogel Communications Group GmbH & Co. KG, Max-Planckstr. 7-9, 97082 Würzburg einschließlich aller mit ihr im Sinne der §§ 15 ff. AktG verbundenen Unternehmen (im weiteren: Vogel Communications Group) meine E-Mail-Adresse für die Zusendung von redaktionellen Newslettern nutzt. Auflistungen der jeweils zugehörigen Unternehmen können hier abgerufen werden.
Der Newsletterinhalt erstreckt sich dabei auf Produkte und Dienstleistungen aller zuvor genannten Unternehmen, darunter beispielsweise Fachzeitschriften und Fachbücher, Veranstaltungen und Messen sowie veranstaltungsbezogene Produkte und Dienstleistungen, Print- und Digital-Mediaangebote und Services wie weitere (redaktionelle) Newsletter, Gewinnspiele, Lead-Kampagnen, Marktforschung im Online- und Offline-Bereich, fachspezifische Webportale und E-Learning-Angebote. Wenn auch meine persönliche Telefonnummer erhoben wurde, darf diese für die Unterbreitung von Angeboten der vorgenannten Produkte und Dienstleistungen der vorgenannten Unternehmen und Marktforschung genutzt werden.
Meine Einwilligung umfasst zudem die Verarbeitung meiner E-Mail-Adresse und Telefonnummer für den Datenabgleich zu Marketingzwecken mit ausgewählten Werbepartnern wie z.B. LinkedIN, Google und Meta. Hierfür darf die Vogel Communications Group die genannten Daten gehasht an Werbepartner übermitteln, die diese Daten dann nutzen, um feststellen zu können, ob ich ebenfalls Mitglied auf den besagten Werbepartnerportalen bin. Die Vogel Communications Group nutzt diese Funktion zu Zwecken des Retargeting (Upselling, Crossselling und Kundenbindung), der Generierung von sog. Lookalike Audiences zur Neukundengewinnung und als Ausschlussgrundlage für laufende Werbekampagnen. Weitere Informationen kann ich dem Abschnitt „Datenabgleich zu Marketingzwecken“ in der Datenschutzerklärung entnehmen.
Falls ich im Internet auf Portalen der Vogel Communications Group einschließlich deren mit ihr im Sinne der §§ 15 ff. AktG verbundenen Unternehmen geschützte Inhalte abrufe, muss ich mich mit weiteren Daten für den Zugang zu diesen Inhalten registrieren. Im Gegenzug für diesen gebührenlosen Zugang zu redaktionellen Inhalten dürfen meine Daten im Sinne dieser Einwilligung für die hier genannten Zwecke verwendet werden. Dies gilt nicht für den Datenabgleich zu Marketingzwecken.
Recht auf Widerruf
Mir ist bewusst, dass ich diese Einwilligung jederzeit für die Zukunft widerrufen kann. Durch meinen Widerruf wird die Rechtmäßigkeit der aufgrund meiner Einwilligung bis zum Widerruf erfolgten Verarbeitung nicht berührt. Um meinen Widerruf zu erklären, kann ich als eine Möglichkeit das unter https://contact.vogel.de abrufbare Kontaktformular nutzen. Sofern ich einzelne von mir abonnierte Newsletter nicht mehr erhalten möchte, kann ich darüber hinaus auch den am Ende eines Newsletters eingebundenen Abmeldelink anklicken. Weitere Informationen zu meinem Widerrufsrecht und dessen Ausübung sowie zu den Folgen meines Widerrufs finde ich in der Datenschutzerklärung, Abschnitt Redaktionelle Newsletter.
Der WE-MPSB hat eine maximale Spitzenstrombelastbarkeit von 18 A bei einer Pulslänge von 8 ms. Dies ergibt einen I²t-Wert von 2,592 A²ms (18 A @ 8 ms (5 s Pause, 24°C), I²t = 2,592 A²s).
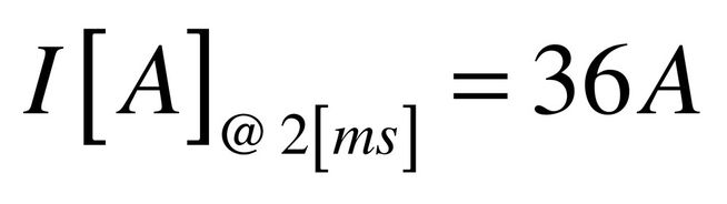
Berechnet man basierend auf dem I²t-Wert für 8 ms den Strom bei einer Pulslänge von 2 ms, erhält man folgendes Ergebnis:
Bild 3: Spezifizierte Spitzenstrombelastbarkeit nach Datenblatt.
(Bild: Würth Elektronik eiSos)
Der Datenblattwert (Bild 3) ist jedoch mit max. 24 A spezifiziert. Der berechnete I²t-Wert weicht also deutlich von den gemessenen Werten ab. Folglich ist es aufgrund des abweichenden Verhaltens des SMD-Ferrits zur Sicherung nicht möglich, die bekannte Berechnung des Schmelzintegrals I²t auf einen Multilayer-Ferrit anzuwenden.
SMD-Ferrite eignen sich aufgrund ihres Multilayer-Aufbaus prinzipiell nicht für hohe Pulsströme. Würth Elektronik setzt bei den pulsbelastbaren SMD-Ferriten auf ein optimiertes Lagendesign, das für hohe Ströme ausgelegt ist, den Gleichstromwiderstand um bis zu 75 Prozent reduziert und eine hohe Impedanz über einen breiten Frequenzbereich ermöglicht. So wird abhängig von der Impedanz und Stromamplitude für jedes Bauteil individuell das optimale Design verwendet.
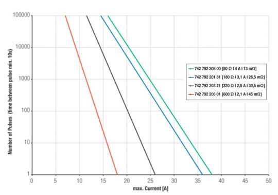
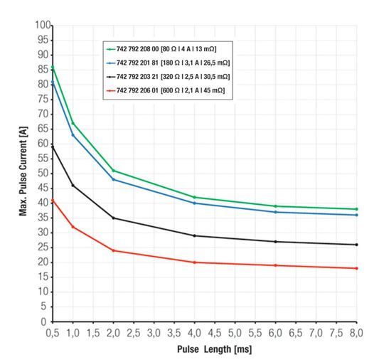
Bild 4a: Darstellung des Stromes in Abhängigkeit zur Pulsdauer und der Anzahl der Pulse bei 8 ms.
(Bild: Würth Elektronik eiSos)
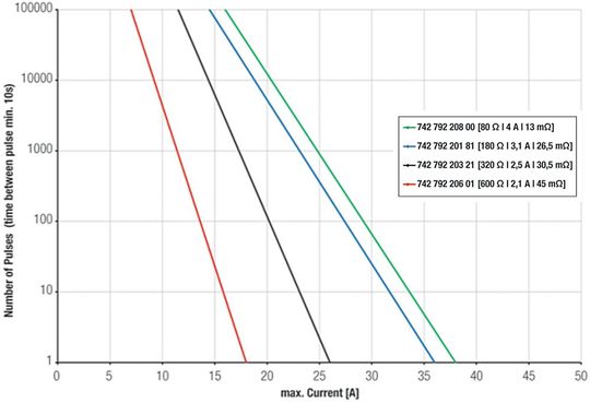
Bild 4b: Darstellung des Stromes in Abhängigkeit zur Pulsdauer und der Anzahl der Pulse bei 8 ms.
(Bild: Würth Elektronik eiSos)
Am Beispiel von vier ausgewählten MPSB-Bausteinen lässt sich die Pulsfestigkeit näher betrachten. Die in Bild 4a gezeigte Strom-Pulsdauer-Kurve zeigt den maximal zulässigen Spitzenstrom bei den jeweiligen getesteten Pulsdauern. Der getestete Bereich erstreckt sich im Zeitbereich von 0,5 ms bis 8 ms.
Der maximal zulässige Pulsstrom (Bild 4b) bei sich wiederholenden Pulsen ist in der zweiten Kurve in den Datenblättern dargestellt. Diese Kurve ist eine Grenzwertbetrachtung des maximalen Spitzenstromes bei sich wiederholenden Pulsen. Zur Bestimmung der Kurve wurde eine maximale Pulslänge von 8 ms gewählt.
Einflussfaktoren der Pulsbelastbarkeit
Die primären Einflussfaktoren bei der Pulsbelastbarkeit von SMD-Ferriten sind:
Die Pulslänge t, die standardmäßig von 0,5 ms bis 8 ms getestet wird. Je länger der Impuls ist, desto geringer ist die maximale Pulsbelastbarkeit.
Die Anzahl der Pulse, die von 10 bis 100.000 Pulse getestet werden (Bild 4b). Mit steigender Pulshäufigkeit sinkt die maximal zulässige Pulsbelastbarkeit.
Als dritte reduzierende Einflussgröße gilt es, die Temperatur zu beachten. Mit steigender Temperatur erhöht sich der RDC, was zu einer weiteren Reduzierung der maximalen Pulsbelastung führt.
Jedes dieser ineinander verketteten Systeme ist mit der Abhängigkeit der zugrundeliegenden Pause zwischen den einzelnen Pulsen behaftet. Um eine Betrachtung des verketteten Systems mit einer geringeren Pausenzeit durchzuführen, bedarf es des erneuten Vermessens der Einflussfaktoren Temperatur [T], Pulswiederholungen [n] und Pulslänge [t]. Ziel der WE-MPSB-Serie ist es, eine vergleichbare Impedanz wie bei der WE-CBF-Serie zu erreichen. Während die WE-CBF-Bauteile bei Überschreitung des Nennstroms (Rated Current) meist zerstört werden, sind die WE-MPSB-Bauelemente auf eine höhere Pulsstrombelastbarkeit ausgelegt (Bild 5).
Bild 5: Die WE-MPSB-Serie ist auf eine höhere Pulsstrombelastbarkeit ausgelegt und widersteht so Stromspitzen, die beim Einschaltvorgang auftreten.
(Bild: Würth Elektronik eiSos)
Am Beispiel der in Bild 6 gezeigten 600-Ω-Typen in der Baugröße 0805 hat die WE-MPSB-Serie durch den geringeren Widerstand einen höheren Nennstrom.
Bild 6a: Vergleich der Impedanz und Nennstrombelastbarkeit des WE-CBF- und WE-MPSB-600-Ω-Typs.
(Bild: Würth Elektronik eiSos)
Bild 6b: Vergleich der Impedanz und Nennstrombelastbarkeit des WE-CBF- und WE-MPSB-600-Ω-Typs.
(Bild: Würth Elektronik eiSos)
Die WE-MPSB-Serie weist gegenüber einem vergleichbaren Bauteil der WE-CBF-Serie eine wesentlich höhere Pulsbelastbarkeit auf. Bild 7 zeigt auf der linken Seite die maximale Pulshöhe des 600-Ω-Typs und auf der rechten Seite die maximale Pulshöhe des vergleichbaren WE-MPSB-600-Ω-Typs.
Bild 7: Pulsbelastbarkeit der Serien WE-CBF und WE-MPSB im Vergleich.
(Bild: Würth Elektronik eiSos)
Die WE-MPSB-Serie wurde basierend auf den Anforderungen von Schaltungen entwickelt, die die Multilayer-Ferrite mit kurzzeitigen Spitzenströmen über den Nennstrom hinaus belasten. Im Vergleich zu bestehenden Multilayer-Strukturen ist die Lagenstruktur optimiert, um durch niedrigere Widerstände eine höhere Strombelastbarkeit zu erzielen. Damit eignet sich die WE-MPSB-Serie besonders für den Einsatz in Schaltungen mit Pulsströmen.
Breites Bauteilspektrum
Die WE-MPSB-Familie umfasst Bauteile mit einer Impedanz Z (bei 100 MHz) von 8 bis 600 Ω in den Baugrößen 0603 bis 3312 (Bild 8). Der zulässige Einschaltspitzenstrom IR liegt je nach Bauteil bei 2,1 bis 10,5 A. Der Gleichstromwiderstand RDC beträgt zwischen 1,0 bis 80 mΩ. Der spezifizierte Frequenzbereich reicht von 1 bis 3 GHz. Die Qualifizierung für eine Erweiterung des Frequenzbereichs auf bis zu 8 GHz wird derzeit durchgeführt.
Vergleich: Die WE-MPSB-Familie umfasst Bauteile in den Baugrößen 0603 bis 3312.
(Bild: Würth Elektronik eiSos)
Bei Strömen oberhalb von 5 A spielt zunehmend das Leiterplatten-Layout hinsichtlich der Stromtragfähigkeit der Leiterbahnen eine Rolle. Deshalb erarbeitet Würth Elektronik derzeit Design-Tipps dazu. (sb)
Literatur
[1] SMD-Ferrite WE-MPSB (EMI Multilayer Power Suppression Bead) von Würth Elektronik: https://www.we-online.com/de/components/products/WE-MPSB
[2] Holzbrecher, M.: Spitzenstrom-belastbare SMD-Ferrite – Multilayer Power Suppression Beads. AppNote ANP028 von Würth Elektronik: https://www.we-online.com/anp028
* Markus Holzbrecher hat sein Studium der Elektrotechnik an der Hochschule für Technik, Wirtschaft und Kultur Leipzig mit dem Diplom abgeschlossen. Seit 2011 ist er verantwortlicher Entwickler/Produktmanager für EMV-Ferrite zur Bestückung von Leiterplatten bei Würth Elektronik eiSos.
* Mohamed Koobar hat sein Studium der Elektrotechnik und Informationstechnik am Karlsruhe Institut für Technologie (KIT) mit dem Bachelor of Science abgeschlossen. Von 2017 bis 2023 war er als Qualitätsmanager im Key Account Management bei Würth Elektronik eiSos tätig. Seit 2023 ist er verantwortlicher Entwickler/Produktmanager für EMV-Ferrite bei Würth Elektronik eiSos.