Hochfrequenzanwendungen stellen besondere Herausforderungen an die Auswahl von passenden Induktivitäten. Dazu sollte man einige Parameter wie Induktivitätswert und -toleranz, Eigenresonanzfrequenz, Güte, DC-Widerstand und Nennstrom verstehen und bewerten können.
HF-Induktivitäten: In Fällen, in denen Induktivitätswerte im Bereich von µH benötigt werden, sind Ferritkerne mit einer magnetischen Permeabilität µr > 1 erforderlich, wie sie in der Serie WE-RFI verwendet werden.
(Bild: Würth Elektronik eiSos)
Hochfrequenzinduktivitäten werden in einer Vielzahl von Branchen verwendet, von Verbraucherprodukten bis hin zu hochspezialisierten wissenschaftlichen Anwendungen. Typische Funktionen sind Resonanzabstimmung, Impedanzanpassung, Filterung und auch die Dämpfung hochfrequenter Überschwinger bei elektronischen Schaltvorgängen. Zu den spezielleren Anwendungen gehören Radar, GPS und Testgeräte. Würth Elektronik eiSos bietet ein komplettes Sortiment an HF-Spulen als Teil des umfangreichen Portfolios an elektronischen Bauteilen, die für eine Vielzahl von Frequenzen und Anwendungen geeignet sind.
Eigenschaften von HF-Induktivitäten
In erster Linie muss man sich vor Augen halten, dass HF-Spulen genauso funktionieren wie jede andere Spule. Für sie gelten die gleichen physikalischen Regeln wie für Leistungsinduktivitäten. Daher lassen sie sich nach wie vor durch ihre Windungen, Permeabilität, Induktivität und ähnliche Parameter charakterisieren. Aufgrund der Ähnlichkeit mit Leistungsinduktivitäten haben beide gleiche Parameter, die in den Datenblättern zu finden sind, z. B. Induktivität (und deren Toleranz), Gleichstromwiderstand und Nennstrom. Es gibt jedoch zusätzliche Parameter, z. B. den Gütefaktor, die für die Validierung der HF-Induktivität in einer bestimmten Funktion entscheidend sind.
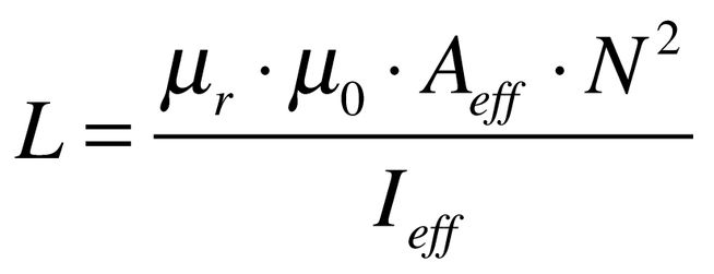
Die Induktivität ist natürlich der wichtigste Parameter. Wie bei herkömmlichen Induktivitäten wird dieser Parameter durch die relative Permeabilität des Kerns, seine Querschnittsfläche, die Anzahl der Windungen und die effektive magnetische Weglänge der Feldlinien im Kern bestimmt (Gleichung 1).
(1)
L: Induktivität [H], µr: relative magnetische Permeabilität, µo: magnetische Permeabilität des freien Raums (4π⋅10-7 Vs/1 Am), Aeff: effektive Querschnittsfläche des Spulenkerns [m2], leff: effektive Weglänge der magnetischen Feldlinien im Spulenkern [m], N: Anzahl der Windungen.
Der Grund, warum die meisten HF-Induktivitäten einen Keramik- oder einen „Luftkern“ haben, liegt in der benötigten geringen Permeabilität, die so auch eine hohe Stabilität der Induktivität, eine hohe Güte Q und geringe Verluste ermöglicht. Sowohl Keramik als auch Luft haben keine magnetischen Eigenschaften, d. h. ihre relative magnetische Permeabilität (µr) ist ≈ 1 und beeinflusst somit nicht das magnetische Verhalten der Induktivität. Nach der Induktivitätsgleichung einer Spule, wenn µr ≈ 1 ist, kann der Induktivitätswert nur mit der Anzahl der Windungen oder den Abmessungen der Spule steigen. Dies ist der Grund, warum HF-Drosseln mit Keramik- oder Luftkernen nur Induktivitätswerte im nH-Bereich erreichen. Mit zunehmender Windungszahl steigen auch die parasitären Parameter, die die Güte Q und die Eigenresonanzfrequenz verringern können. In Fällen, in denen größere Induktivitätswerte im Bereich von µH benötigt werden, sind Ferritkerne mit einer magnetischen Permeabilität µr > 1 erforderlich, wie sie in den Serien WE-RFI und WE-RFH verwendet werden.
Darüber hinaus ist es beim HF-Design sehr wichtig, enge Induktivitätstoleranzen einzuhalten, insbesondere bei Anwendungen wie Filterung, Anpassung und in Oszillatorschaltungen. Dies ist der Grund, warum viele Ingenieure engere Toleranzen schätzen, selbst wenn dies mit angemessenen Mehrkosten verbunden ist. In den Spezifikationen werden sowohl der Induktivitätswert als auch die Toleranz bei einem bestimmten Frequenzpunkt angegeben. Bei den meisten HF-Anwendungen wie Filtern hoher Ordnung, Oszillatorschaltungen oder der Impedanzanpassung ist es sehr wichtig, dass die Induktivitätskurve über einen breiteren Frequenzbereich möglichst flach ist (Bild 1), und darüber hinaus sollte der Induktivitätswert unabhängig vom Strom sein.
Eigenresonanzfrequenz SRF
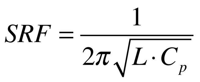
Da die Wicklungsstruktur jeder Drahtspule eine gewisse Kapazität aufweist, stellt die Induktivität einen Parallelschwingkreis dar, der eine entsprechende Eigenresonanzfrequenz (SRF, Self Resonance Frequency) aufweist. Wie bei herkömmlichen Induktivitäten gibt die SRF an, bis zu welcher Frequenz sich das Bauelement wie eine Induktivität verhält. Genau bei der SRF verhält sich die Induktivität mit ihrer parasitären Kapazität wie ein Resonanzkreis mit einer nahezu unendlich hohen Impedanz, nur Schaltungsverluste begrenzen den hohen Wert der Impedanz. Jenseits der SRF verhält sich das Bauelement wie ein Kondensator (Bild 2).
Wie in Bild 3 dargestellt, gibt es zwischen den Windungen und den Anschlüssen (Contact Pads) einer Induktivität eine verteilte Kapazität, die zu der in Bild 4 dargestellten Ersatzschaltung führt. Die Beziehung zwischen der Induktivität (L), der verteilten Kapazität (Cp) und der SRF ist in Gleichung 2 dargestellt.
Stand: 08.12.2025
Es ist für uns eine Selbstverständlichkeit, dass wir verantwortungsvoll mit Ihren personenbezogenen Daten umgehen. Sofern wir personenbezogene Daten von Ihnen erheben, verarbeiten wir diese unter Beachtung der geltenden Datenschutzvorschriften. Detaillierte Informationen finden Sie in unserer Datenschutzerklärung.
Einwilligung in die Verwendung von Daten zu Werbezwecken
Ich bin damit einverstanden, dass die Vogel Communications Group GmbH & Co. KG, Max-Planckstr. 7-9, 97082 Würzburg einschließlich aller mit ihr im Sinne der §§ 15 ff. AktG verbundenen Unternehmen (im weiteren: Vogel Communications Group) meine E-Mail-Adresse für die Zusendung von redaktionellen Newslettern nutzt. Auflistungen der jeweils zugehörigen Unternehmen können hier abgerufen werden.
Der Newsletterinhalt erstreckt sich dabei auf Produkte und Dienstleistungen aller zuvor genannten Unternehmen, darunter beispielsweise Fachzeitschriften und Fachbücher, Veranstaltungen und Messen sowie veranstaltungsbezogene Produkte und Dienstleistungen, Print- und Digital-Mediaangebote und Services wie weitere (redaktionelle) Newsletter, Gewinnspiele, Lead-Kampagnen, Marktforschung im Online- und Offline-Bereich, fachspezifische Webportale und E-Learning-Angebote. Wenn auch meine persönliche Telefonnummer erhoben wurde, darf diese für die Unterbreitung von Angeboten der vorgenannten Produkte und Dienstleistungen der vorgenannten Unternehmen und Marktforschung genutzt werden.
Meine Einwilligung umfasst zudem die Verarbeitung meiner E-Mail-Adresse und Telefonnummer für den Datenabgleich zu Marketingzwecken mit ausgewählten Werbepartnern wie z.B. LinkedIN, Google und Meta. Hierfür darf die Vogel Communications Group die genannten Daten gehasht an Werbepartner übermitteln, die diese Daten dann nutzen, um feststellen zu können, ob ich ebenfalls Mitglied auf den besagten Werbepartnerportalen bin. Die Vogel Communications Group nutzt diese Funktion zu Zwecken des Retargeting (Upselling, Crossselling und Kundenbindung), der Generierung von sog. Lookalike Audiences zur Neukundengewinnung und als Ausschlussgrundlage für laufende Werbekampagnen. Weitere Informationen kann ich dem Abschnitt „Datenabgleich zu Marketingzwecken“ in der Datenschutzerklärung entnehmen.
Falls ich im Internet auf Portalen der Vogel Communications Group einschließlich deren mit ihr im Sinne der §§ 15 ff. AktG verbundenen Unternehmen geschützte Inhalte abrufe, muss ich mich mit weiteren Daten für den Zugang zu diesen Inhalten registrieren. Im Gegenzug für diesen gebührenlosen Zugang zu redaktionellen Inhalten dürfen meine Daten im Sinne dieser Einwilligung für die hier genannten Zwecke verwendet werden. Dies gilt nicht für den Datenabgleich zu Marketingzwecken.
Recht auf Widerruf
Mir ist bewusst, dass ich diese Einwilligung jederzeit für die Zukunft widerrufen kann. Durch meinen Widerruf wird die Rechtmäßigkeit der aufgrund meiner Einwilligung bis zum Widerruf erfolgten Verarbeitung nicht berührt. Um meinen Widerruf zu erklären, kann ich als eine Möglichkeit das unter https://contact.vogel.de abrufbare Kontaktformular nutzen. Sofern ich einzelne von mir abonnierte Newsletter nicht mehr erhalten möchte, kann ich darüber hinaus auch den am Ende eines Newsletters eingebundenen Abmeldelink anklicken. Weitere Informationen zu meinem Widerrufsrecht und dessen Ausübung sowie zu den Folgen meines Widerrufs finde ich in der Datenschutzerklärung, Abschnitt Redaktionelle Newsletter.
Die SRF ist also der Frequenzpunkt, an dem die parasitäre Kapazität eine Parallelresonanz mit der Induktivität bildet, oder mit anderen Worten, der Frequenzpunkt, an dem die Kapazität die Induktivität „aufhebt“ (d. h. beide Reaktanzen sind gleich XL = XC). Aus Gleichung 2 ist auch ersichtlich, dass eine Erhöhung der Induktivität und/oder der parasitären Kapazität die SRF senkt und umgekehrt. Dies ist der Grund, warum die SRF umso niedriger ist, je größer der Wert der Induktivität ist.
Bei EMV-Filterapplikationen mit Induktivitäten liegt die beste Signaldämpfung kurz unterhalb der SRF, wo die Impedanz sehr hoch ist und somit die Dämpfung ihr Maximum erreicht. Bei Signalfilter- oder Impedanzanpassungsanwendungen ist es wichtiger, eine konstante Induktivität im relevanten Frequenzbereich zu haben, was bedeutet, dass die SRF der Induktivität weit oberhalb der Betriebsfrequenz der Schaltung liegen sollte. Eine Faustregel ist: SRF-Induktivität > 8 ... 10 ⋅ fSchaltung.
Generell gilt: Je höher der Wert der Induktivität ist, desto niedriger ist die SRF, da die Wicklungskapazität der Induktivität steigt. Weitere Einflüsse auf die SRF sind Streukapazitäten der Schaltung, die Komponenten, an die die Induktivität angeschlossen ist, und die Art der in der Anwendung verwendeten Leiterplatte. PCB-Parameter wie εr und Laminatdicke verringern die SRF der Induktivität. Darüber hinaus beeinflussen auch Lötpunkte, Leiterbahnen, Masse- und VCC-Ebenen die SRF.
Einige kommerzielle Designprogramme bieten substratskalierbare Induktivitätsmodelle, die es ermöglichen, die Materialeigenschaften der Leiterplatte in eine Schaltungssimulation zu implementieren. Zusammen mit den S-Parametern, die für jede WE-HF-Induktivität angeboten werden, kann das Design recht genau simuliert und berechnet werden. Die S-Parameter der Induktivität beschreiben genau die Eigenschaften des Bauteils in Abhängigkeit von der Frequenz, die alle parasitären Phänomene berücksichtigen. Würth Elektronik bietet darüber hinaus Modelithics-Modelle für die meisten Induktivitätsreihen an. Modelithics berücksichtigt die S-Parameter einer Induktivität auf verschiedenen Substrattypen und -dicken und erstellt globale Modelle, die die substratabhängigen parasitären Effekte skalieren, was zu sehr genauen Simulationen führt. Obwohl dies nicht immer möglich ist, ist es am besten, die Induktivität in ein Design einzulöten, das dem Endprodukt so nahe wie möglich kommt, und das Schaltungsverhalten in einem Aufbau mit einem Netzwerkanalysator zu messen.
Gütefaktor Q
Der Gütefaktor Q (Q-Faktor) ist ein wesentlicher charakteristischer Parameter und einer der ersten, die jeder HF-Ingenieur berücksichtigen sollte. Je nach Hersteller wird der Q-Faktor entweder als Mindestwert oder als typischer Wert bei einem bestimmten Frequenzpunkt angegeben. Bei Würth Elektronik wird der Q-Faktor als Mindestwert angegeben, um den Kunden ein zuverlässiges Mindestniveau zu garantieren. Grundsätzlich ist der Q-Faktor das Verhältnis zwischen der Reaktanz XL und den Verlusten RS und ist ein Indikator dafür, wie ideal eine Induktivität ist (Gleichung 3). Bei Induktivitäten mit Luft- oder Keramikkernen ist der Widerstand RS hauptsächlich auf den spezifischen Widerstand des Leiters in der Spule zurückzuführen. Ein höherer Q-Faktor bedeutet weniger Verluste in der Komponente.
(3)
Q: Gütefaktor, XL: Reaktanz [Ω], RS: Widerstand [Ω], L: Induktivität [H], ω: Winkelfrequenz 2πf, f in [Hz].
Ferritinduktivitäten haben keine über die Frequenz konstante Induktivität L und der Gütefaktor Q kann nicht einfach nach Gleichung 3 berechnet werden. Für eine korrekte Messung des Gütefaktors müssen die frequenzabhängigen realen und imaginären Verluste des Ferritmaterials bei den Messungen zusammen mit den verschiedenen Induktivitäts- und Kapazitätseffekten der Verbundmaterialien der Induktivität berücksichtigt werden.
Bei Breitbandanwendungen, bei denen Drosseln zur Dämpfung eines HF-Signalspektrums benötigt werden, kann es erforderlich sein, eine Induktivität mit Ferritkern zu verwenden. In solchen Anwendungen wird der resistive (ohmsche) Anteil der magnetischen Permeabilität des Ferrits berücksichtigt, der die Verluste des Ferritmaterials darstellt. Durch die Verwendung einer Drossel mit verlustbehaftetem Ferritkern kann die erforderliche Dämpfung über den gewünschten Frequenzbereich erreicht werden. Der Nachteil dieser Lösung ist, dass diese Komponente zu den Gesamtverlusten der Schaltung beiträgt. Die Tabelle zeigt die elektrischen Parameter der Ferrit-SMD-Induktivität WE-RFH, das Diagramm in Bild 5 zeigt den Zusammenhang zwischen der Güte Q, dem Gleichstromwiderstand RDC, der Induktivität L und dem Blindwiderstand XL.
Wie bereits erwähnt, ist der Gleichstromwiderstand des Drahtes ein Parameter, der den Q-Faktor der Induktivität beeinflusst. Der Gleichstromwiderstand ist der offensichtlichste Beitrag, aber es gibt noch weitere Effekte, die zum Q-Faktor einer Induktivität beitragen:
Skin-Effekt: Dieser beeinflusst die Induktivität Q, da er den effektiven Widerstand des Leiters mit zunehmender Frequenz erhöht.
Kernverluste: Wenn die Spule einen Ferritkern verwendet, führt das Ferritmaterial aufgrund verschiedener Faktoren zu Verlusten, von denen jeder den Q-Faktor der Spule beeinflusst. Dazu zählen Hysterese-Verluste, Wirbelströme sowie der Proximity-Effekt.
Abgestrahlte Energie: Wenn ein Wechselstrom durch die Spule fließt, wird ein Teil des durch den Strom erzeugten Magnetfelds abgestrahlt. In Analogie zum Widerstand einer Antenne wird die Wirkung in der Spule ebenfalls durch einen Strahlungswiderstand dargestellt und verringert den Q-Faktor der Spule.
Die Online-Simulationsplattform REDEXPERT von Würth Elektronik erleichtert die Auswahl einer passenden Induktivität. Bild 6 zeigt ein Beispiel für den Vergleich verschiedener Induktivitäten WE-RFH und die zugehörigen elektrischen Parameter [4].
DC-Widerstand RDC
RDC (oder DCR) ist der ohmsche Widerstand der Induktivität, insbesondere des Drahtes. Der Wert beschreibt eine „Quelle“ der Leistungsverluste der Induktivität. Obwohl die Verluste von Skin-Effekt und Proximity-Effekt bei höheren Frequenzen größer sind als die durch den Gleichstromwiderstand verursachten, ist der RDC ein guter Ausgangswert zur Bewertung der Verluste einer HF-Induktivität. Natürlich hängt der RDC von der Länge und Dicke des Drahtes ab. Ein dickerer Draht bedeutet einen niedrigeren RDC, aber in der Regel auch größere Abmessungen des Bauteils. Da der Q-Faktor und der RDC als Teil der Gesamtverluste (RS) umgekehrt proportional sind (Gleichung 3), führt ein kleinerer RDC zu einem größeren Q-Faktor. Der RDC ist in den Spezifikationen als maximal möglicher Wert entweder in Ω oder in mΩ definiert.
Nennstrom IR
IR gibt den Strom an, bei dem die Induktivität ihre Temperatur um einen bestimmten Betrag (ΔT) erhöht (Bild 7). Letzterer hängt von der Serie ab (in unserem Fall: ΔT = 15 K, ΔT = 20 K oder ΔT = 40 K). Bei Standard-HF-Anwendungen ist der Strom in der Regel gering, sodass dieser Parameter eine untergeordnete Rolle spielt. Für Anwendungen, bei denen höhere Ströme erforderlich sind, bietet Würth Elektronik für die meisten der Induktivitätsserien (WE-KI HC, WE-AC HC und WE-RFH) eine Hochstromserie an. Der Nennstrom wird als maximaler Gleichstrom (A oder mA) angegeben, der eine definierte Temperaturerhöhung verursacht (z. B. ΔT = 40 K). Der Temperaturanstieg plus die Umgebungstemperatur darf die maximale Betriebstemperatur nicht überschreiten.
Weitere Parameter wie Baugröße sowie Informationen zu Technologien, Herstellungsverfahren und Anwendungen in Schaltungen werden in der AppNote ANP074 von Würth Elektronik eiSos detailliert erläutert [1].