Der Artikel gibt einen kurzen Überblick zu den Definitionen der Streuparameter, kurz S-Parameter. Vorgestellt werden die wichtigsten S-Parameter-Arten, die in der Hochfrequenztechnik häufig verwendet werden.
Bild 1: Beispiel für ein unsymmetrisches Zweitor-Netzwerk mit den entsprechenden S-Parametern.
(Bild: ADI)
Streuparameter (S-Parameter) quantifizieren, wie sich HF-Energie in einem System ausbreitet. Sie enthalten somit Informationen zu den Eigenschaften des Systems. Mit S-Parametern lässt sich selbst die komplexeste HF-Komponente als einfaches N-Tor-Netzwerk darstellen.
Bild 1 zeigt ein unsymmetrisches Zweitor-Netzwerk, das verwendet wird, um HF-Komponenten wie HF-Verstärker, Filter oder Dämpfungsglieder darzustellen. Bei den in Bild 1 schematisch dargestellten Wellengrößen a handelt es sich um komplexe Amplituden der Spannungswellen, die auf Port 1 und Port 2 der Komponente treffen.
Wird jeweils ein Anschluss mit der Wellengröße a1 oder a2 angeregt, während der andere Anschluss an die angepasste Last angeschlossen ist, lassen sich die Vorwärts- und Rückwärtsantworten der Komponente in Form der Wellengrößen b definieren. Die Größen repräsentieren Spannungswellen, die von den Anschlüssen des Netzes reflektiert und durch diese übertragen werden.
Die S-Parameter im Zwei-Tor-Netzwerk
Nimmt man das Verhältnis aus den resultierenden komplexen Antworten und den Anfangsstimuli, kann man die S-Parameter definieren, die sich im hier gezeigten Beispiel einer Zwei-Tor-Komponente wie folgt berechnen: S11 = b1/a1; S12 = b1/a2; S21 = b2/ a1; S22 = b2/ a2.
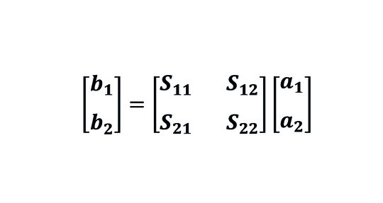
Die Antwort des Netzwerks lässt sich dann durch die Zusammenfassung von S-Parametern in einer Streu- oder S-Matrix ausdrücken, welche die komplexen Wellengrößen an allen Anschlüssen in Beziehung setzt. Für das unsymmetrische Zwei-Tor-Netzwerk hat die Beziehung zwischen Stimulus und Antwort die in Gleichung 1 dargestellte Form.
Gleichung 1: Beziehung zwischen Stimulus und Antwort im unsymmetrischen Zwei-Tor-Netzwerk.
(Bild: ADI)
Die S-Matrix kann auf ähnliche Weise für eine beliebige N-Tor-HF-Komponente definiert werden.
S-Parameter-Typen: Klein- und Großsignal, gepulst
Wenn nicht ausdrücklich anders angegeben, bezieht sich der Begriff „S-Parameter“ auf die Kleinsignal-S-Parameter. Diese repräsentieren die Antwort eines HF-Netzwerks auf kleine Signalimpulse und quantifizieren dessen Reflexions- und Übertragungseigenschaften über die Frequenz im linearen Betrieb. Mit Kleinsignal-S-Parametern lassen sich HF-Eigenschaften wie Stehwellenverhältnis (VSWR), Rückflussdämpfung, Einfügedämpfung oder Verstärkung bei bestimmten Frequenzen bestimmen.
Eine kontinuierliche Steigerung des Signals in der HF-Komponente führt häufig zu ausgeprägteren nichtlinearen Effekten. Quantifizierbar sind diese Effekte mit den so genannten Großsignal-S-Parametern. Die Großsignal-S-Parameter variieren nicht nur über Frequenzen, sondern auch über Leistungspegel eines Stimulussignals. Sie werden verwendet, um nichtlineare Eigenschaften eines Bauteils, wie die Kompressionsparameter, zu bestimmen.
Sowohl Klein- als auch Großsignal-S-Parameter werden mit Dauerstrich-Stimulationssignalen (CW) und unter Anwendung einer Schmalband-Antwortsignaldetektion gemessen. Viele HF-Komponenten sind jedoch für den Betrieb mit gepulsten Signalen, die eine große Bandbreite haben, ausgelegt.
Dies erschwert die genaue Charakterisierung einer HF-Komponente mit der Standard-Schmalband-Detektionsmethode. Für die Charakterisierung von Bauteilen im gepulsten Betrieb werden daher die so genannten gepulsten S-Parameter verwendet. Diese werden mit speziellen Puls-Antwort-Messverfahren ermittelt.
Die Cold S-Parameter
Eine weitere, besondere, Art von S-Parametern, die selten erwähnt wird, die aber manchmal wichtig sein kann, sind Cold S-Parameter.
„Cold“ bedeutet hier, dass die Streuparameter für ein aktives Bauteil im nicht aktiven Betrieb ermittelt werden (wenn alle aktiven Elemente inaktiv sind, beispielsweise Transistorübergänge in Sperrrichtung oder auf Null vorgespannt sind und keine Übertragungsströme fließen).
Cold S-Parameter werden zum Beispiel genutzt, um die Anpassung der Signalkettensegmente mit ausgeschalteten Komponenten zu verbessern, welche hohe Reflexionen im Signalpfad verursachen.
Mixed-Mode-S-Parameter: Besonderheiten bei symmetrischen Netzwerken
Bisher wurden S-Parameter für ein typisches Beispiel einer massebezogenen Komponente definiert, bei der die Stimulus- und Antwortsignale auf Masse bezogen sind. Für symmetrische Komponenten mit differentiellen Ports ist diese Definition jedoch nicht mehr ausreichend.
Symmetrische Netzwerke erfordern einen umfassenderen Charakterisierungsansatz, welcher deren differentielles und Gleichtaktverhalten vollständig beschreibt.
Stand: 08.12.2025
Es ist für uns eine Selbstverständlichkeit, dass wir verantwortungsvoll mit Ihren personenbezogenen Daten umgehen. Sofern wir personenbezogene Daten von Ihnen erheben, verarbeiten wir diese unter Beachtung der geltenden Datenschutzvorschriften. Detaillierte Informationen finden Sie in unserer Datenschutzerklärung.
Einwilligung in die Verwendung von Daten zu Werbezwecken
Ich bin damit einverstanden, dass die Vogel Communications Group GmbH & Co. KG, Max-Planckstr. 7-9, 97082 Würzburg einschließlich aller mit ihr im Sinne der §§ 15 ff. AktG verbundenen Unternehmen (im weiteren: Vogel Communications Group) meine E-Mail-Adresse für die Zusendung von redaktionellen Newslettern nutzt. Auflistungen der jeweils zugehörigen Unternehmen können hier abgerufen werden.
Der Newsletterinhalt erstreckt sich dabei auf Produkte und Dienstleistungen aller zuvor genannten Unternehmen, darunter beispielsweise Fachzeitschriften und Fachbücher, Veranstaltungen und Messen sowie veranstaltungsbezogene Produkte und Dienstleistungen, Print- und Digital-Mediaangebote und Services wie weitere (redaktionelle) Newsletter, Gewinnspiele, Lead-Kampagnen, Marktforschung im Online- und Offline-Bereich, fachspezifische Webportale und E-Learning-Angebote. Wenn auch meine persönliche Telefonnummer erhoben wurde, darf diese für die Unterbreitung von Angeboten der vorgenannten Produkte und Dienstleistungen der vorgenannten Unternehmen und Marktforschung genutzt werden.
Meine Einwilligung umfasst zudem die Verarbeitung meiner E-Mail-Adresse und Telefonnummer für den Datenabgleich zu Marketingzwecken mit ausgewählten Werbepartnern wie z.B. LinkedIN, Google und Meta. Hierfür darf die Vogel Communications Group die genannten Daten gehasht an Werbepartner übermitteln, die diese Daten dann nutzen, um feststellen zu können, ob ich ebenfalls Mitglied auf den besagten Werbepartnerportalen bin. Die Vogel Communications Group nutzt diese Funktion zu Zwecken des Retargeting (Upselling, Crossselling und Kundenbindung), der Generierung von sog. Lookalike Audiences zur Neukundengewinnung und als Ausschlussgrundlage für laufende Werbekampagnen. Weitere Informationen kann ich dem Abschnitt „Datenabgleich zu Marketingzwecken“ in der Datenschutzerklärung entnehmen.
Falls ich im Internet auf Portalen der Vogel Communications Group einschließlich deren mit ihr im Sinne der §§ 15 ff. AktG verbundenen Unternehmen geschützte Inhalte abrufe, muss ich mich mit weiteren Daten für den Zugang zu diesen Inhalten registrieren. Im Gegenzug für diesen gebührenlosen Zugang zu redaktionellen Inhalten dürfen meine Daten im Sinne dieser Einwilligung für die hier genannten Zwecke verwendet werden. Dies gilt nicht für den Datenabgleich zu Marketingzwecken.
Recht auf Widerruf
Mir ist bewusst, dass ich diese Einwilligung jederzeit für die Zukunft widerrufen kann. Durch meinen Widerruf wird die Rechtmäßigkeit der aufgrund meiner Einwilligung bis zum Widerruf erfolgten Verarbeitung nicht berührt. Um meinen Widerruf zu erklären, kann ich als eine Möglichkeit das unter https://contact.vogel.de abrufbare Kontaktformular nutzen. Sofern ich einzelne von mir abonnierte Newsletter nicht mehr erhalten möchte, kann ich darüber hinaus auch den am Ende eines Newsletters eingebundenen Abmeldelink anklicken. Weitere Informationen zu meinem Widerrufsrecht und dessen Ausübung sowie zu den Folgen meines Widerrufs finde ich in der Datenschutzerklärung, Abschnitt Redaktionelle Newsletter.
Bild 2: Symmetrisches Zwei-Tor-Netzwerk und die zugehörige Mixed-Mode-Streumatrix.
(Bild: ADI)
Dies ist mit Mixed-Mode-S-Parametern erreichbar. Bild 2 zeigt ein Beispiel für die Mixed-Mode-Streuparameter, die in einer erweiterten S-Matrix zusammengefasst sind. Die Matrix repräsentiert eine typische symmetrische Zwei-Tor-Komponente.
Die Indizes der Mixed-Mode-S-Parameter in der Matrix in Bild 2 verwenden die Bezeichnungen b-mode, a-mode, b-port und a-port, wobei die ersten beiden die Modi des Antwort-Ports (b-mode) und des Stimulus-Ports (a-mode) beschreiben und die letzten beiden die Indexnummern dieser Ports angeben. Dabei entspricht b-port der Antwort und a-port dem Stimulus-Port.
Im Beispiel dieses Beitrags werden die Port-Modi entweder durch den Index d (differentiell) oder c (Gleichtakt) definiert. In einem allgemeineren Fall einer Komponente mit sowohl symmetrischen als auch unsymmetrischen Anschlüssen enthält eine Mixed-Mode-S-Matrix jedoch zusätzliche Elemente mit dem Index s, welche die für die massebezogenen Anschlüsse erhaltenen Größen beschreiben.
Mit Mixed-Mode-Streuparametern lassen sich nicht nur die grundlegenden Parameter einer HF-Komponente, wie Rückflussdämpfung oder Verstärkung, bestimmen, sondern auch die wichtigsten Kennzahlen zur Charakterisierung der Leistungsfähigkeit von differentiellen Schaltungen wie die Gleichtaktunterdrückung (CMRR) sowie die Betrags- und Phasenungleichheit.
S-Parameter-Daten anwenden
Mit den S-Parametern lassen sich also die grundlegenden Eigenschaften von HF-Komponenten bei verschiedenen Frequenzen und für verschiedene Leistungspegel eines Signals charakterisieren.
S-Parameter-Daten, die integrale Strukturen und Komponenten von HF-Designs beschreiben, werden in der Entwicklung von HF-Anwendungen eingesetzt. HF-Ingenieure messen oder verlassen sich auf bereits vorhandene S-Parameter-Daten, welche normalerweise in Standard-Textdateien, den so genannten „Touchstone“- oder „SnP“-Dateien, gespeichert sind. Diese Dateien stehen in der Regel für die gängigsten HF-Komponenten kostenlos zur Verfügung.
Literatur
[1] Pozar, D.: Microwave Engineering, 4th Edition, Wiley, 2011. [2] Hiebel, M.: Fundamentals of Vector Network Analysis, Rohde & Schwarz, 2007. [3] Application Note: Pulsed Measurements Using Narrowband Detection and a Standard PNA Series Network Analyzer, Keysight Technologies, 2017.
* Anton Patyuchenko arbeitet als arbeitet als HF-Applikationaingenieur bei Analog Devices in München.