Power-tipps von TI, Teil 27

Aufbau von Parallelstromversorgungen nach dem Droop-Verfahren

< zurück

Seite: 2/2

Anbieter zum Thema

Um einen Spannungsabfall zu implementieren, würde es sich auf den ersten Blick anbieten, einfach einen großen Widerstand in Reihe mit der Ausgangsspannung zu schalten, doch die Toleranzbetrachtungen und die resultierenden Verluste sprechen klar dagegen. So würden im obigen Beispiel über 20 Prozent der Ausgangsleistung in diesem Widerstand verlorengehen.

Eine Alternative wäre es, den Ausgangsstrom der Stromversorgung zu messen und diese Messgröße nach Verstärkung als Offsetgröße für die Ausgangsspannungs-Einstellschaltung zu verwenden. Dies funktioniert bei spannungsgeregeltem Betrieb, doch im Fall der Stromregelung gibt es ein weitaus einfacheres Verfahren. Begrenzt man nämlich die DC-Verstärkung der Regelschleife, so wirkt dies wie ein künstlicher Widerstand.

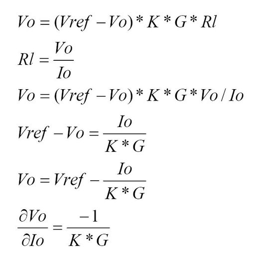
Anhang 1 zeigt, wie sich die Ausgangsimpedanz (basierend auf Abbildung 2) auf einfache Weise berechnen lässt. Das Ergebnis lautet, dass die Ausgangsimpedanz dieses Systems gleich dem negativen Kehrwert des Produkts aus der Kompensatorverstärkung und der Verstärkung der Leistungsstufe ist. Die meisten Stromversorgungen enthalten einen Integrator in der Kompensationsschaltung, was in einer sehr großen DC-Kompensatorverstärkung resultiert. Durch Einstellen der DC-Verstärkung auf einen bestimmten Wert lässt sich ein gewünschter Spannungsabfall realisieren. Dies ist gewöhnlich recht einfach zu implementieren, indem man den Fehlerverstärker einfach mit einem zusätzlichen Widerstand belastet.

Abbildung 2: Bei stromgesteuertem Betrieb ist ein Spannungsabfall leicht zu implementieren(Bild:  Texas Instruments)
Abbildung 2: Bei stromgesteuertem Betrieb ist ein Spannungsabfall leicht zu implementieren
(Bild: Texas Instruments)

Um einen Spannungsabfall zu implementieren, würde es sich auf den ersten Blick anbieten, einfach einen großen Widerstand in Reihe mit der Ausgangsspannung zu schalten, doch die Toleranzbetrachtungen und die resultierenden Verluste sprechen klar dagegen. So würden im obigen Beispiel über 20 Prozent der Ausgangsleistung in diesem Widerstand verlorengehen.

Eine Alternative wäre es, den Ausgangsstrom der Stromversorgung zu messen und diese Messgröße nach Verstärkung als Offsetgröße für die Ausgangsspannungs-Einstellschaltung zu verwenden. Dies funktioniert bei spannungsgeregeltem Betrieb, doch im Fall der Stromregelung gibt es ein weitaus einfacheres Verfahren. Begrenzt man nämlich die DC-Verstärkung der Regelschleife, so wirkt dies wie ein künstlicher Widerstand.

Anhang 1 zeigt, wie sich die Ausgangsimpedanz (basierend auf Abbildung 2) auf einfache Weise berechnen lässt. Das Ergebnis lautet, dass die Ausgangsimpedanz dieses Systems gleich dem negativen Kehrwert des Produkts aus der Kompensatorverstärkung und der Verstärkung der Leistungsstufe ist.

Die meisten Stromversorgungen enthalten einen Integrator in der Kompensationsschaltung, was in einer sehr großen DC-Kompensatorverstärkung resultiert. Durch Einstellen der DC-Verstärkung auf einen bestimmten Wert lässt sich ein gewünschter Spannungsabfall realisieren. Dies ist gewöhnlich recht einfach zu implementieren, indem man den Fehlerverstärker einfach mit einem zusätzlichen Widerstand belastet.

Anhang 1: Ableitung des Ausgangsspannungsabfalls (Droop) im stromgesteuerten Betrieb

(Bild:  Texas Instruments)
(Bild: Texas Instruments)

* * Robert Kollmann ... ist Senior Applications Manager und Distinguished Member of Technical Staff bei Texas Instruments.

(ID:31095160)

Jetzt Newsletter abonnieren

Verpassen Sie nicht unsere besten Inhalte

Mit Klick auf „Newsletter abonnieren“ erkläre ich mich mit der Verarbeitung und Nutzung meiner Daten gemäß Einwilligungserklärung (bitte aufklappen für Details) einverstanden und akzeptiere die Nutzungsbedingungen. Weitere Informationen finde ich in unserer Datenschutzerklärung. Die Einwilligungserklärung bezieht sich u. a. auf die Zusendung von redaktionellen Newslettern per E-Mail und auf den Datenabgleich zu Marketingzwecken mit ausgewählten Werbepartnern (z. B. LinkedIn, Google, Meta).

Aufklappen für Details zu Ihrer Einwilligung