Supraleitende Materialien können Strom nahezu verlustfrei transportieren, doch bisher waren die begehrten Effekte an realitätsfremde Betriebsanforderungen gekoppelt. Innovative Messtechniken sowie Herstellungs- und Tunneling-Technologien versprechen einen Durchbruch am nahen Horizont.
Max-Planck-Institut für Chemie in Mainz
(Bild: Max-Planck-Institut für Chemie)
Das Jahr 2025 steht offenbar im Zeichen der Supraleitung. Ein internationales Forschungsteam am Max-Planck-Institut für Chemie in Mainz hat kürzlich einen entscheidenden Durchbruch im Verständnis der Hochtemperatur-Supraleitung in wasserstoffreichen Materialien vermeldet. Forscher haben erstmals direkt eine supraleitende Lücke in einem Hydrid-Schwefel-Material gemessen.
Mithilfe planarer Elektronen-Tunnelspektroskopie unter extrem hohem Druck konnten sie nachweisen, dass sich im Schwefelwasserstoff (H₃S) Elektronen zu Cooper-Paaren verbinden und widerstandslos fließen. Mit diesem Ergebnis ist ein wesentlicher Meilenstein auf dem Weg zu Raumtemperatur-Supraleitern erreicht.
Bei Supraleitern handelt es sich um Materialien, welche elektrischen Strom ohne jeglichen Widerstand transportieren. Diese Klasse von Materialien hält das Versprechen, viele zentrale Herausforderungen der Energiewende zu überwinden.
Doch Supraleitung ist ein physikalischer Ausnahmezustand; er tritt erst unterhalb einer sogenannten kritischen Temperatur auf – einem materialspezifischen Schwellenwert, unter dem der elektrische Widerstand schlagartig auf null fällt. Gleichzeitig werden magnetische Felder aus dem Inneren des Materials verdrängt (Meißner-Effekt), was Effekte wie Magnetschwebe hervorruft.
Supraleiter versprechen verlustfreie Energieübertragung, leistungsstarke Magnetfelder (erforderlich für Fusionsreaktoren) und ultrasensitive Sensorik. Die möglichen Anwendungsfelder – etwa in der Medizintechnik, Quantenphysik oder Hochleistungselektronik – sind jedoch bisher durch die recht extremen Temperatur- und Druckanforderungen beschränkt.
Die sogenannten Hochtemperatur-Supraleiter (HTS) haben dennoch bereits Nischen erschlossen. Mit „Hochtemperatur“ ist im Zusammenhang mit Supraleitern typischerweise der Bereich ab etwa 23 K bis hin zu über 100 K (-250,15 °C bis -173,15 °C) gemeint. Die Kühlung mit flüssigem Stickstoff ist erst ab 77 K (dem Siedepunkt von flüssigem Stickstoff, –196 °C) möglich; sie ist einfacher und kostengünstiger als mit flüssigem Helium – und dennoch nicht ganz ohne.
SuperLink, ein Pilotprojekt der Stadtwerke München
Seit Oktober 2024 läuft in München ein Praxistest mit einem solchen Hochtemperatursupraleiter (HTS), bei dem ein 150 Meter langes 110-kV-Kabel im Umspannwerk Menzing unter realen Netzbedingungen erprobt wird.
Das Supraleiterkabel basiert auf einem keramischen YBCO-Band (Yttrium-Barium-Kupferoxid), das mithilfe von flüssigem Stickstoff auf etwa minus 200 Grad Celsius gekühlt wird. Diese Technologie ermöglicht eine Übertragungsleistung von bis zu 500 Megawatt, also rund das Fünffache herkömmlicher Kupferkabel vergleichbarer Größe.
Das Kabeldesign von SuperLink integriert alle drei Stromphasen in einen gemeinsamen Vakuum-Kryostaten, reduziert den Außendurchmesser auf nur 18 cm und nutzt bestehende Leitungstrassen – was aufwendige Tiefbauarbeiten im urbanen Raum deutlich minimiert.
Zum Projektkonsortium zählen unter anderem THEVA (Herstellung des YBCO-Supraleitermaterials), Linde (Kryotechnik) und das Karlsruher Institut für Technologie (Netzsimulation). Gemeinsam validieren sie die Langzeitstabilität, das thermische Management sowie die Skalierbarkeit des Systems auf größere Distanzen.
Für die geplante Kommerzialisierung bis 2030 soll ein 15 km langes HTS-Kabel zwischen den Umspannwerken Menzing und Sendling verlegt werden. Damit ließen sich jährlich rund 880 GWh Übertragungsverluste einsparen – ein Äquivalent zum Stromverbrauch von rund 250.000 Haushalten.
Wirtschaftlich rechnen die Stadtwerke München (SWM) mit bis zu 32 Prozent niedrigeren Installationskosten – vor allem durch den geringeren Materialeinsatz – sowie 15 Prozent reduzierten Betriebskosten, trotz des zusätzlichen Kühlaufwands. Grund dafür ist die nahezu verlustfreie Stromübertragung, die den Bedarf an konventionellem Netzausbau deutlich reduziert. Die kompakte Bauweise erlaubt zudem die Nachrüstung in bestehenden Kabelkanälen.
Als technologische Schlüsselinnovation gilt die modular aufgebaute Kryotechnik, bei der alle 4 bis 6 km ein Kühlaggregat installiert wird. Derzeit liegt der Fokus auf der Optimierung des geschlossenen Stickstoffkreislaufs sowie der Langzeitdichtigkeit der Kryostaten unter realen Netzdynamiken.
Stand: 08.12.2025
Es ist für uns eine Selbstverständlichkeit, dass wir verantwortungsvoll mit Ihren personenbezogenen Daten umgehen. Sofern wir personenbezogene Daten von Ihnen erheben, verarbeiten wir diese unter Beachtung der geltenden Datenschutzvorschriften. Detaillierte Informationen finden Sie in unserer Datenschutzerklärung.
Einwilligung in die Verwendung von Daten zu Werbezwecken
Ich bin damit einverstanden, dass die Vogel Communications Group GmbH & Co. KG, Max-Planckstr. 7-9, 97082 Würzburg einschließlich aller mit ihr im Sinne der §§ 15 ff. AktG verbundenen Unternehmen (im weiteren: Vogel Communications Group) meine E-Mail-Adresse für die Zusendung von redaktionellen Newslettern nutzt. Auflistungen der jeweils zugehörigen Unternehmen können hier abgerufen werden.
Der Newsletterinhalt erstreckt sich dabei auf Produkte und Dienstleistungen aller zuvor genannten Unternehmen, darunter beispielsweise Fachzeitschriften und Fachbücher, Veranstaltungen und Messen sowie veranstaltungsbezogene Produkte und Dienstleistungen, Print- und Digital-Mediaangebote und Services wie weitere (redaktionelle) Newsletter, Gewinnspiele, Lead-Kampagnen, Marktforschung im Online- und Offline-Bereich, fachspezifische Webportale und E-Learning-Angebote. Wenn auch meine persönliche Telefonnummer erhoben wurde, darf diese für die Unterbreitung von Angeboten der vorgenannten Produkte und Dienstleistungen der vorgenannten Unternehmen und Marktforschung genutzt werden.
Meine Einwilligung umfasst zudem die Verarbeitung meiner E-Mail-Adresse und Telefonnummer für den Datenabgleich zu Marketingzwecken mit ausgewählten Werbepartnern wie z.B. LinkedIN, Google und Meta. Hierfür darf die Vogel Communications Group die genannten Daten gehasht an Werbepartner übermitteln, die diese Daten dann nutzen, um feststellen zu können, ob ich ebenfalls Mitglied auf den besagten Werbepartnerportalen bin. Die Vogel Communications Group nutzt diese Funktion zu Zwecken des Retargeting (Upselling, Crossselling und Kundenbindung), der Generierung von sog. Lookalike Audiences zur Neukundengewinnung und als Ausschlussgrundlage für laufende Werbekampagnen. Weitere Informationen kann ich dem Abschnitt „Datenabgleich zu Marketingzwecken“ in der Datenschutzerklärung entnehmen.
Falls ich im Internet auf Portalen der Vogel Communications Group einschließlich deren mit ihr im Sinne der §§ 15 ff. AktG verbundenen Unternehmen geschützte Inhalte abrufe, muss ich mich mit weiteren Daten für den Zugang zu diesen Inhalten registrieren. Im Gegenzug für diesen gebührenlosen Zugang zu redaktionellen Inhalten dürfen meine Daten im Sinne dieser Einwilligung für die hier genannten Zwecke verwendet werden. Dies gilt nicht für den Datenabgleich zu Marketingzwecken.
Recht auf Widerruf
Mir ist bewusst, dass ich diese Einwilligung jederzeit für die Zukunft widerrufen kann. Durch meinen Widerruf wird die Rechtmäßigkeit der aufgrund meiner Einwilligung bis zum Widerruf erfolgten Verarbeitung nicht berührt. Um meinen Widerruf zu erklären, kann ich als eine Möglichkeit das unter https://contact.vogel.de abrufbare Kontaktformular nutzen. Sofern ich einzelne von mir abonnierte Newsletter nicht mehr erhalten möchte, kann ich darüber hinaus auch den am Ende eines Newsletters eingebundenen Abmeldelink anklicken. Weitere Informationen zu meinem Widerrufsrecht und dessen Ausübung sowie zu den Folgen meines Widerrufs finde ich in der Datenschutzerklärung, Abschnitt Redaktionelle Newsletter.
Erste Tests zeigen bereits, dass das System bis zu 97 Prozent weniger Leitungsverluste aufweist als konventionelle VPE-Kabel – ein entscheidender Vorteil in stark ausgelasteten urbanen Netzen. SuperLink könnte so kritische Netzengpässe im Münchner Südosten entschärfen. Bei erfolgreichem Verlauf und mit Unterstützung durch das Bundeswirtschaftsministerium gilt das Projekt ab 2026 als Blaupause für Ballungsräume wie Berlin oder Frankfurt, wo alternde 110-kV-Infrastrukturen und Flächenknappheit vergleichbare Herausforderungen darstellen.
Supraleitende Kabel können bereits heute bei gleicher Leistung deutlich kompakter gebaut werden als konventionelle Kupfer- oder Aluminiumkabel. Das ist besonders dort wichtig, wo unterirdische Leitungswege begrenzt sind. Durch die Minimierung der Übertragungsverluste steigt die Effizienz der Stromnetze insgesamt, was auch die Integration erneuerbarer Energien erleichtern dürfte.
Tiefgekühlt und unter Druck
Bislang gelang die Erzeugung des supraleitenden Zustands nur unter extrem tiefen Temperaturen, meist unterhalb von 77 Kelvin, also dem Siedepunkt von flüssigem Stickstoff. Die Entdeckung wasserstoffreicher Verbindungen wie Schwefelwasserstoff (H₃S) und Lanthandecahydrid (LaH₁₀), die bei erstaunlich hohen Temperaturen von 203 K bzw. 250 K (-70,15 °C bis -23,15 °C) supraleitend werden, markiert einen Meilenstein in der jahrzehntelangen Suche nach Raumtemperatur-Supraleitern.
Der größte Vorteil von Raumtemperatur-Supraleitern läge in dem vollständigen Wegfall der Kühlungsanforderungen.
Raumtemperatur-Supraleitung bei Normaldruck gilt als der „Heilige Gral“ der Materialforschung. Bislang erzielte Erfolge waren an hohen Druck gebunden oder ließen sich nicht zuverlässig reproduzieren.
Drei Klassen von Materialien gelten als Hoffnungsträger für Supraleitung unter Hochdruck:
Lanthanhydrid (LaH₁₀): Erreicht Supraleitung bei -23°C (250 K), benötigt aber 170 GPa Druck (1,7 Millionen Atmosphären);
Kohlenstoff-Schwefel-Wasserstoff-Verbindungen: supraleitend bei 15°C (288 K), allerdings bei 267 GPa Druck;
Hydride: Simulationen deuten auf mögliche Supraleitung bis 110 K (-163°C) unter reduziertem Druck hin, etwa durch borhaltige Verbindungen.
Im Zentrum des physikalischen Verständnisses der Supraleitung steht die sogenannte Energielücke – ein zentrales Kennzeichen des supraleitenden Zustands.
Die Energielücke liefert Aufschluss über die Bindungsenergie der sogenannten Cooper-Paare. Diese quantenmechanisch verschränkten Elektronenpaare gelten als zentrale Triebkraft des verlustfreien Stromflusses in einem Supraleiter. Ihre Bildung markiert die physikalische Grenze zwischen einem supraleitenden Zustand und konventionellen metallischen Phasen.
Die Energielücke wird typischerweise über tunnelempfindliche Verfahren (wie z. B. Rastertunnelmikroskopie, STM) oder spektrale Methoden bestimmt. Bei Hochdruck-Supraleitern wie H₃S (Schwefelwasserstoff unter hohem Druck) gestaltet sich diese Messung extrem umständlich.
Das liegt daran, dass Supraleiter wie H₃S nur unter extremem Druck – typischerweise über 150 GPa also etwa 1,5 Millionen Atmosphären – stabil bleiben. Solche Bedingungen lassen sich nur in einer Diamantstempelzelle (DAC) realisieren. Allerdings bietet diese keinen direkten Zugang für eine Rastertunnelmikroskopie, da der Probenraum extrem klein ist und die präzise Positionierung der Messspitze technisch kaum in Frage kommt. Hinzu kommen mechanische Instabilitäten und elektrische Störeinflüsse durch den Hochdruckaufbau, die die Signaltreue konventioneller spektroskopischer Methoden massiv einschränken. Umso bemerkenswerter ist der jüngste experimentelle Durchbruch aus Mainz.
Mit schwäbischer Präzision: ein Nachweis aus Mainz
Schwefelwasserstoff (eine chemische Verbindung aus der Kategorie der binären Hydride) sorgte bereits 2015 für Aufsehen: Unter einem Druck von rund 150 Gigapascal bildete sich die supraleitende Phase H₃S, die eine Übergangstemperatur von 203 Kelvin (−70 °C) erreichte – ein damaliger Rekord unter den bekannten Hydridsupraleitern.
Zwischen zwei Diamantspitzen können mehr als eine Million Bar erzeugt werden. Einige Materialien können so synthetisiert werden, dass sie bei relativ hohen Temperaturen supraleitend werden.
(Bild: Max-Planck-Institut für Chemie)
Seither gilt es als Prototyp für eine ganze Klasse wasserstoffreicher Hochtemperatur-Supraleiter, die sogenannten binären Hochdruck-Supraleiter.
Die Forschergruppe am Max-Planck-Institut für Chemie in Mainz, unter anderem unter Leitung von Mikhail Eremets, war 2015 federführend an der Entdeckung beteiligt. Daran anknüpfend rückten in den folgenden Jahren weitere wasserstoffreiche Verbindungen wie Lanthanhydrid (LaH₁₀) und Yttriumhydrid (YH₉) in den Fokus. LaH₁₀ erreichte 2019 bei einem Druck von rund 170 bis 200 Gigapascal eine kritische Temperatur von etwa 250 Kelvin (−23 °C) – ein neuer Höchstwert, der der Raumtemperatur bereits erstaunlich nahekommt. Doch auch hier liegen die Druckanforderungen weit außerhalb des für Anwendungen praktikablen Bereichs.
Die bislang veröffentlichten Ergebnisse mit ternären Supraleiter, insbesondere dem viel diskutierten C–S–H-System (Kohlenstoff–Schwefel–Wasserstoff), ließen sich nicht zuverlässig reproduzieren und stehen unter erheblicher wissenschaftlicher Kritik.
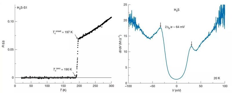
Nachweis der supraleitenden Energielücke von wasserstoffreichen Materialien (rechts): Unter sehr hohem Druck sinkt der elektrische Widerstand (links).
(Bild: Max-Planck-Institut für Chemie)
Damit gelten binäre Hydride wie H₃S oder LaH₁₀ weiterhin als aussichtsreichste Kandidaten für Supraleitung nahe Raumtemperatur – allerdings nur unter extremen Bedingungen. Die hohen Übergangstemperaturen jenseits der 200-Kelvin-Marke (-73°C) gehen mit einem Hochdruckumfang von >150 GPa (1.48 Millionen Atmosphären) sind als Anforderungen bisher unverrückbar. So bleiben viele praktische Anwendungen – etwa verlustfreie Stromleitungen bei Normaldruck – vorerst weiterhin außerhalb der Reichweite.
Jetzt gelang es Forschern, den supraleitenden Zustand unter diesen extremen Bedingungen direkt zu charakterisieren.
Die nun publizierten Ergebnisse vom Max-Planck-Institut für Chemie in Mainz stellen den ersten direkten mikroskopischen Nachweis der Supraleitung in einem solchen System dar – ein Meilenstein für das grundlegende Verständnis dieses Phänomens.
Die Forscher nutzten hierzu eine eigens entwickelte, exakt steuerbare Elektronen-Tunnelspektroskopie, die es ermöglicht, auch unter extremen Druckbedingungen präzise Messungen durchzuführen.
Der Nachweis für die supraleitende Energielücke gelang den Forschern des Max-Planck-Instituts für Chemie mit Tunnelspektroskopie.
(Bild: Du, F., Drozdov, A.P., Minkov, V.S. et al./Nature)
Die Messergebnisse zeigen, dass H₃S bei hohen Drücken eine vollständig geöffnete supraleitende Energielücke von etwa 60 Millielektronenvolt (meV) aufweist. Im Vergleich dazu beträgt die Energielücke beim Deuterium-Analogon D₃S, bei dem Wasserstoff durch das schwerere Isotop Deuterium ersetzt ist, rund 44 meV. Die kleinere Energielücke bei D₃S bestätigt die theoretische Annahme, dass die Kopplung zwischen Elektronen und Phononen – also den quantisierten Gitterschwingungen des Festkörpers – den Mechanismus der Supraleitung in diesen Materialien maßgeblich bestimmt.
Diese Entdeckung setzt nicht nur einen neuen Maßstab im technologischen Fortschritt, sondern eröffnet auch faszinierende Einblicke in die bislang wenig verstandenen Mechanismen der Hochtemperatur-Supraleitung in wasserstoffreichen Verbindungen.
Diese Methode schafft eine Grundlage, um das enorme Potenzial dieser Materialklasse für zukünftige Anwendungen zu erschließen – von energieeffizienter Leistungselektronik bis hin zu revolutionären Ansätzen in der Netztechnologie. Die Übertragung dieser Tunnelspektroskopie auf weitere Hydrid-Supraleiter dürfte den Weg zu neuen Materialsystemen ebnen, die auch unter praxisnahen Bedingungen, etwa bei Raumtemperatur und unter Umgebungsdruck ihre begehrenswerten Eigenschaften aufweisen.
Fazit
Supraleiter könnten zu einem zentralen Element der Energiewende werden – vorausgesetzt, es gelingt, ihre betriebliche Nutzung wirtschaftlich praktikabel zu gestalten. Die jüngsten Fortschritte markieren einen bedeutenden Schritt in diese Richtung. (mbf)
* Anna Kobylinska und Filipe Pereia Martins arbeiten für McKinley Denali, Inc., USA.