Mit der effektiven isotropen Strahlungsleistung (EIRP) lassen sich Sendeleistung und Abstrahlung überprüfen. Nutzt man dazu passende Spektrumanalysatoren, lassen sich damit 5G-Basisstationen (gNB) testen.
EIRP: Feldtests bei Antennensystemen für 5G NR lassen sich mit speziellen Spektrumanalysatoren messen.
(Bild: (c) James Thew - stock.adobe.com)
Mit dem Aufkommen aktiver Antennensysteme für 5G-New-Radio (NR) sind neue Prüf- und Testmethoden notwendig. Dazu gehört die effektive isotrope Strahlungsleistung (EIRP; Effective Isotropic Radiated Power). Damit überprüfen Techniker die Sendeleistung und Abstrahlung. Vorbei sind die Zeiten, in denen die Sendeleistung einfach mit einem Absorptionsleistungsmesser erfasst oder eine direkte Verbindung über einen Sniffer-Port in der Antenneneinspeisung verwendet wurde.
Für die Messungen müssen neue Techniken im Feld zum Einsatz kommen. Der Beitrag befasst sich mit den Grundlagen, Herausforderungen und Best Practices von EIRP-Tests bei der Installation und Wartung von 3GPP-5G-Next-Generation-Basisstationen (gNB). Dazu gehören außerdem wichtige Spezifikationen für ein Spektrumanalysator, um genaue EIRP-Messungen zu gewährleisten.
Komplexe Antennensysteme für 5G
Vor 5G verwendeten Funksysteme, wie Mobilfunk (GSM), PMR, Rundfunk oder Militär, relativ einfache Sender und Antennen. Waren der Antennengewinn und die Eingangsleistung bekannt, konnten Entwickler die Signalstärken vorhersagen und somit eine Basisstation validieren, die Sicherheit garantieren und Leistungsindikatoren analysieren.
Heute ist das nicht mehr der Fall. 5G-Netze benötigen komplexe aktive Antennensysteme, die erhebliche Änderungen bei der Installation und Wartung von Basisstationen mit sich bringen. Diese Komplexität ist notwendig, um die Effizienz und Geschwindigkeit von 5G zu erreichen. Herkömmliche Messmethoden sind unpraktisch geworden, und die Ergebnisse hätten, selbst wenn möglich, wenig Bezug zur Leistungsfähigkeit des Netzwerks.
Alle Beteiligten an 5G-Netzen haben andere Prioritäten: Mobilfunkbetreiber müssen die Qualität der Verbindungen von Endgeräten (User Equipment) bewerten und die Feldabdeckung kartieren. Die installierten 5G-Basisstationen müssen von Technikern auf ausreichend Sendeleistung und Beamforming hin überprüft werden. Regulierungsbehörden müssen die Einhaltung der elektromagnetischen Pegel sicherstellen und bewerten sowie die Freigabe von Frequenzen durchsetzen.
Die äquivalente isotrope Strahlungsleistung, kurz EIRP für Equivalent Isotropically Radiated Power, ist das Produkt aus Sendeleistung und Antennengewinn in einer bestimmten Richtung relativ zu einer isotropen Antenne. EIRP gehört zu den Indikatoren, um die Leistungsfähigkeit, Sicherheit, Abdeckung und Konformität eines 5G-Netzes zu bestimmen.
Eine Antenne als eine Punktquelle oder als eine Richtantenne
Bild 1: Leistungspegel gemessen in einer Entfernung von 100 m von einem isotropen Sender (links) und von einer Richtantenne mit einem Gewinn von 6 dBi (rechts). Die Richtantenne hat die effektive Strahlungsleistung einer isotropen Antenne, die mit +36 dBm oder 4 W gespeist wird.
(Bild: Anritsu)
Beispiel: Eine Antenne strahlt als Punktquelle gleichmäßig in alle Richtungen ab. Würde man die Leistung in einer bestimmten Entfernung messen, wäre diese unabhängig von der Richtung gleich. Wie ein Stein, der in ein Wasserbecken fällt und gleichmäßig in alle Richtungen verteilte Wellen erzeugt, würde die Antenne isotrop abstrahlen und einen Gewinn von 1 haben.
Eine Richtantenne ist variabel bei der Eingangsleistung. Damit erhält man im gleichen Abstand wie zuvor den gleichen Leistungsmesswert. Die Strahlungsleistung in dieser bestimmten Richtung entspricht einer isotropen Antenne mit einer gegebenen Eingangsleistung.
Bei einer Frequenz von 1 GHz und 100 m beträgt der Pfadverlust im freien Raum 72 dB. Eine mit 1 W (+30 dBm) gespeiste isotrope Antenne ergibt auf 100 m einen gemessenen Leistungspegel von -42 dBm (Bild, 1 links). Handelt es sich beim Sender um eine Richtantenne mit einem Gewinn von 6 dBi in Zielrichtung (Bild 1, rechts), würde die Leistung -36 dBm betragen. Oder: die Richtantenne hat die effektive Strahlungsleistung einer isotropen Antenne, die mit +36 dBm oder einer Leistung von 4 W gespeist wird. Daher beträgt der EIRP-Wert = 4 W.
Die Antennenleistung und EIRP
EIRP ist die Leistung, die eine Antenne in eine bestimmte Richtung abstrahlen kann. Bei einer realen Antenne ist der EIRP-Wert die Eingangsleistung, die in eine ideale isotrope Antenne eingespeist werden müsste, um im gleichen Abstand und in der gleichen Richtung die gleiche Leistung der realen Antenne abzustrahlen.
EIRP hängt von zwei Faktoren ab: Zum einen von der Gesamtsendeleistung einschließlich Verstärkungs- und Koppelverlusten. Zum anderen vom Antennengewinn in Strahlrichtung des Empfangsbereichs. Die korrekte Nettostrahlungsleistung eines Antennenelements für eine 5G-gNB zu ermitteln ist komplex. Es stehen keine Messtore und Testports zur Verfügung. Verwendet werden aktive Antennenelemente. Jedes Element hat einen eigenen Leistungsverstärker für das Senden und einen eigenen rauscharmen Vorverstärker für den Empfang. Das beeinflusst sehr stark die Feldtests.
Stand: 08.12.2025
Es ist für uns eine Selbstverständlichkeit, dass wir verantwortungsvoll mit Ihren personenbezogenen Daten umgehen. Sofern wir personenbezogene Daten von Ihnen erheben, verarbeiten wir diese unter Beachtung der geltenden Datenschutzvorschriften. Detaillierte Informationen finden Sie in unserer Datenschutzerklärung.
Einwilligung in die Verwendung von Daten zu Werbezwecken
Ich bin damit einverstanden, dass die Vogel Communications Group GmbH & Co. KG, Max-Planckstr. 7-9, 97082 Würzburg einschließlich aller mit ihr im Sinne der §§ 15 ff. AktG verbundenen Unternehmen (im weiteren: Vogel Communications Group) meine E-Mail-Adresse für die Zusendung von redaktionellen Newslettern nutzt. Auflistungen der jeweils zugehörigen Unternehmen können hier abgerufen werden.
Der Newsletterinhalt erstreckt sich dabei auf Produkte und Dienstleistungen aller zuvor genannten Unternehmen, darunter beispielsweise Fachzeitschriften und Fachbücher, Veranstaltungen und Messen sowie veranstaltungsbezogene Produkte und Dienstleistungen, Print- und Digital-Mediaangebote und Services wie weitere (redaktionelle) Newsletter, Gewinnspiele, Lead-Kampagnen, Marktforschung im Online- und Offline-Bereich, fachspezifische Webportale und E-Learning-Angebote. Wenn auch meine persönliche Telefonnummer erhoben wurde, darf diese für die Unterbreitung von Angeboten der vorgenannten Produkte und Dienstleistungen der vorgenannten Unternehmen und Marktforschung genutzt werden.
Meine Einwilligung umfasst zudem die Verarbeitung meiner E-Mail-Adresse und Telefonnummer für den Datenabgleich zu Marketingzwecken mit ausgewählten Werbepartnern wie z.B. LinkedIN, Google und Meta. Hierfür darf die Vogel Communications Group die genannten Daten gehasht an Werbepartner übermitteln, die diese Daten dann nutzen, um feststellen zu können, ob ich ebenfalls Mitglied auf den besagten Werbepartnerportalen bin. Die Vogel Communications Group nutzt diese Funktion zu Zwecken des Retargeting (Upselling, Crossselling und Kundenbindung), der Generierung von sog. Lookalike Audiences zur Neukundengewinnung und als Ausschlussgrundlage für laufende Werbekampagnen. Weitere Informationen kann ich dem Abschnitt „Datenabgleich zu Marketingzwecken“ in der Datenschutzerklärung entnehmen.
Falls ich im Internet auf Portalen der Vogel Communications Group einschließlich deren mit ihr im Sinne der §§ 15 ff. AktG verbundenen Unternehmen geschützte Inhalte abrufe, muss ich mich mit weiteren Daten für den Zugang zu diesen Inhalten registrieren. Im Gegenzug für diesen gebührenlosen Zugang zu redaktionellen Inhalten dürfen meine Daten im Sinne dieser Einwilligung für die hier genannten Zwecke verwendet werden. Dies gilt nicht für den Datenabgleich zu Marketingzwecken.
Recht auf Widerruf
Mir ist bewusst, dass ich diese Einwilligung jederzeit für die Zukunft widerrufen kann. Durch meinen Widerruf wird die Rechtmäßigkeit der aufgrund meiner Einwilligung bis zum Widerruf erfolgten Verarbeitung nicht berührt. Um meinen Widerruf zu erklären, kann ich als eine Möglichkeit das unter https://contact.vogel.de abrufbare Kontaktformular nutzen. Sofern ich einzelne von mir abonnierte Newsletter nicht mehr erhalten möchte, kann ich darüber hinaus auch den am Ende eines Newsletters eingebundenen Abmeldelink anklicken. Weitere Informationen zu meinem Widerrufsrecht und dessen Ausübung sowie zu den Folgen meines Widerrufs finde ich in der Datenschutzerklärung, Abschnitt Redaktionelle Newsletter.
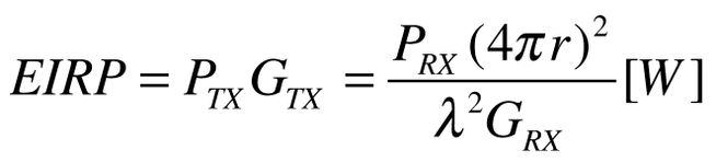
Die Friis-Formel setzt die Sendeleistung mit der Empfangsleistung in Beziehung. Unter Freiraumbedingungen lautet die Formel 1:
EIRP ist das Produkt aus Sendeleistung und Antennengewinn und kann wie folgt ausgedrückt werden (Formel 2):
Was in dBm lautet (Formel 3):
Eine Antenne strahlt immer in eine 3D-Kugel ab. Für die Gesamtstrahlleistung der Antenne (TRP) müsste man unendlich viele Leistungsmessungen über unendlich kleine Bereiche um die Kugel herum durchführen. Obwohl kompliziert und zeitaufwendig kann man sich mit Näherungswerten behelfen. TRP wird während 5G-NR-Antennentests in reflexionsarmen Kammern gemessen. Im Feld braucht man einen einfacheren Ansatz, bei dem das 3D-Antennendiagramm entlang einer bestimmten 2D-Ebene durchgeschnitten und als repräsentatives Antennenmuster definiert wird. Normalerweise liegen die 2D-Ebenen in der Achsrichtung der Azimut- oder Elevationsrichtung der Antenne.
Warum EIRP eine Leistungskennzahl für 5G-NR ist
Bild 2: Eine Richtantenne und Beamforming bei 5G-NR.
(Bild: Anritsu)
Eine 5G-Antenne kann 128 bis 256 einzelne Transceiver (Bild 2) aufweisen, die mit ihren eigenen Strahlern integriert sind. Aktive Antennen können Strahlen lenken und deren Form ändern, indem sie Energie in die gewünschte Richtung konzentrieren. Erzielt wird das durch Änderung der Verstärkung, also der Eingangsleistung. Dementsprechend sind herkömmlicher Verfahren zur Messung der Antenneneingangsleistung unpraktisch. Die Branche hat sich darauf geeinigt, dass in einem ähnlichen Feldszenario die nützlichste Leistungsmessung EIRP ist, da sie ein zuverlässiger Indikator für die Signalstärke überall in einer 5G-Zelle ist. Um die Wirksamkeit der Beamforming-Technik zu bewerten, muss EIRP gemessen werden.
Ein bekannter EIRP-Wert hilft dabei, damit die Hersteller die Leistungsfähigkeit ihrer Sender validieren können, die Betreiber können die Strahlformen und die Lage/Winkel der Nullstellen bestimmen sowie Störungen ihrer eigenen und anderer Netzwerkdienste minimieren und schließlich den Regulierungsbehörden, um die Sicherheit von Feldstärken in der Nähe der Basisstation zu beurteilen.
Darüber hinaus hilft der EIRP bei der Inbetriebnahme, um Fehler aufzuspüren. Strahlungsmuster lassen sich bestimmen und die Feldstärke in komplexen Umgebungen lässt sich messen, indem die Basisstation in einen Testmodus versetzt wird, in dem sie ein bekanntes Testmodell-Signal in jede Richtung und mit jeder Stärke sendet. Als solches bietet EIRP eine Möglichkeit, Konformitätstestmethoden im Feld zu verwenden. EIRP-Messungen können unabhängig von der Komplexität mit jedem Sender erfolgen. Damit ist die Netzoptimierung auf absehbare Zeit gesichert. Das bedeutet, dass die neue Generation von Feldtestern praktische Messungen der EIRP im Fernfeld ermöglichen muss.
Wie EIRP bei 5G-NR gemäß 3GPP gemessen wird
Praktisch alle 5G-NR-Funksysteme verwenden zwei polarisierte Antennen-Arrays, um die Diversität zu verbessern und Fading zu reduzieren. Typischerweise sind sie um ±45° abgewinkelt. Der Standort der Endgeräte (UEs) ist im Voraus nicht bekannt. Deshalb ist die Wahrscheinlichkeit hoch, dass beide Antennenarrays die gleichen Informationen mit ähnlichen Leistungspegeln übertragen. Das stellt sicher, dass der Empfang an einem zufälligen Standort optimiert wird.
Für Funkverkehrsstrahlen können die beiden Antennen-Arrays auf MIMO-Art verwendet werden, um mehrere Pfade zu den UEs zu erreichen – entweder um die Empfangsqualität zu maximieren oder bei klaren Signalbedingungen den Datendurchsatz zu verbessern. Eine Basisstation kann sich auch dafür entscheiden, die Signale auf den beiden Antennen-Arrays zu variieren, um gegenseitige Störungen zu reduzieren oder um die von nahegelegenen Gebäuden reflektierten Signale zu optimieren.
Eine echte Charakterisierung der Strahlleistung erfordert Messungen in zwei orthogonalen Ebenen. Sie werden addiert, um die Gesamt-EIRP zu erhalten. Das wird von der 3GPP-Testspezifikation TS38.141 für Basisstationen vorgegeben. Deshalb können zwei orthogonale Polarisationen gleichzeitig oder getrennt gemessen werden. Bei diesem Freiheitsgrad ist es erwähnenswert, dass die getrennte Messung zweier orthogonaler Polarisationen nicht nur die Kosten für die Ausrüstung verringert, sondern außerdem die Anzahl der zu kalibrierenden Elemente reduziert.
Messungen im Sub-6-GHz-Bereich und Bandbreiten bis 100 MHz
Bild 3: Anritsu Field Master Pro MS2090A. Dabei handelt es sich um einen Spektrumanalysator mit breiter und kontinuierlicher Frequenzabdeckung von 9 kHz bis 54 GHz, ausreichender Analysebandbreite (110 MHz) und niedrigem Grundrauschen (DANL -164 dBm), der 5G-NR-EIRP-Feldmessungen gemäß 3GPP TS38.141 unterstützt.
(Bild: Anritsu)
Messungen im Feld sind nicht einfach, wie es in der Theorie aussieht. Sogar ein 5G-Sender im Sub-6-GHz-Bereich kann Bandbreiten von bis zu 100 MHz nutzen. Daher muss der Amplituden- und Phasengang jedes Messempfängers über der Kanalbandbreite flach sein und andere Signale von Nachbarkanälen angemessen unterdrücken.
Mangelnde Ebenheit in der Empfängerverstärkung führt direkt zu einem Fehler in der Leistungsmessung. Darüber hinaus ist der Signalpegel in jeder angemessenen Entfernung vom gNB ziemlich niedrig. Das stellt sehr strenge Anforderungen an die Empfindlichkeit des Spektrumanalyzers, der in der Achsrichtung des Antennenstrahls sowohl in Azimut- als auch in Elevationsrichtung messen soll. Für zuverlässige und wiederholbare Messungen empfiehlt es sich, ein Stativ und einen Kugelkopf für die Messantenne zu verwenden.
Soll zusätzlich die Feldstärke gemessen werden, muss der K-Faktor der Empfangsantenne bekannt sein. Für Messungen an einem Live-gNB muss der Spektrumanalysator in der Lage sein, EIRP zu messen, während er die Broadcast-Signalisierung dekodiert und diese zur Timing-Steuerung der Messungen verwendet.
Spektrumanalysator unterstützt bei EIRP-Messung
Die aktuelle Generation von Feldtestern muss eine praktische Messung der EIRP im Fernfeld ermöglichen. Der tragbare Spektrumanalyzer Field Master Pro MS2090A von Anritsu unterstützt die EIRP-Messung gemäß den 3GPP-Spezifikationen direkt von einer 5G-Basisstation aus. Mit genügend Bandbreite lassen sich Signale mit 100 MHz oder mehr messen.
Hinzu kommen eine hohe Empfindlichkeit und ein niedriges Grundrauschen, was erforderlich ist, um den EIRP-Wert in realistischen Entfernungen von einer aktiven Basisstation zu messen. Außerdem kann der Analyzer die primären und sekundären Synchronisationssignale erfassen und diese verwenden, um EIRP aller Sendestrahlen zu messen, die eine 5G-Basisstation in jedem Sektor durchlaufen.
* Dr. Enrico Brinciotti arbeitet als Business Development Engineer bei Anritsu.