Stromversorgungen

Zuverlässige Netzteile sind keine reine Glückssache

Seite: 2/2

Anbieter zum Thema

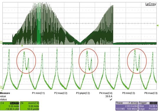
Messen der Ripple-Ströme in den Elektrolyt-Kondensatoren

Als zweites sollte man die Ripple-Ströme in den Elkos messen. Dazu braucht man ein gutes Oszilloskop, das den Effektivwert berechnen kann, und eine Stromzange mit ausreichender Bandbreite (z.B. 10 MHz). Oft ist es am einfachsten, den Elko auszubauen, dann auf der Unterseite der Leiterplatte am Minuspol direkt anlöten und die Anode per Kabel mit dem ursprünglichen Lötauge verbinden (Bild 2).

Bild 2: Messen von Ripple-Strömen in Elektrolytkondensatoren mit Stromzange und Oszilloskop
Bild 2: Messen von Ripple-Strömen in Elektrolytkondensatoren mit Stromzange und Oszilloskop
(Bild: Markus Rehm, IBR)

Das Kabel sollte so kurz wie möglich sein, gerade so, dass die Stromzange hineinpasst. Aus dem Elko Datenblatt kann man die maximal zulässigen Rippleströme entnehmen, eventuell gibt es noch Multiplikatoren für Temperatur oder Frequenz. Ist der gemessene Ripplestrom größer als der im Datenblatt spezifizierte, ist die Formel zur Berechnung der erwarteten Lebensdauer ungültig und es wird zu Frühausfälle kommen. Die Ströme sollten in allen vorkommenden Dauerzuständen gemessen werden. Manchmal ist die Strombelastung im Elko bei kleinerem Ausgangsstrom oder sogar im Standby-Betrieb höher!

Wichtig ist auch, dass die Datenblätter aller in der Stückliste zugelassenen Elkos genau überprüft werden. In welchen Elkos sollte der Ripplestrom gemessen werden? In allen! Auch am Hilfsnetzteil, das oft ständig läuft, und auch an den internen Versorgungsspannungen, sei es auf der Primär- oder der Sekundärseite (Kasten: Beispiel B).

Untersuchung der induktiven Bauelemente auf Sättigung

Als drittes werden induktive Bauteile, also Drosseln und Transformatoren, nach eventueller Sättigung untersucht. Sättigung bedeutet, dass die Hauptinduktivität verloren geht und nur noch der ohmsche Widerstand des Wickeldrahtes und die Luftinduktivität vorhanden ist. Der Strom steigt dann plötzlich steil an (Bild 3).

Bild 3: Dieses Oszillogramm wurde zur Messung der Sättigung bei einem ausgebautem Trafo aufgenommen.Dabei wurde an der Primärwicklung schlagartig 10V angelegt und der ansteigende Strom mittels Stromzange gemessen. Bis 2,5 A steigt der Strom linear an, dann wird er steiler, d.h. die Induktivität sättigt.
Bild 3: Dieses Oszillogramm wurde zur Messung der Sättigung bei einem ausgebautem Trafo aufgenommen.Dabei wurde an der Primärwicklung schlagartig 10V angelegt und der ansteigende Strom mittels Stromzange gemessen. Bis 2,5 A steigt der Strom linear an, dann wird er steiler, d.h. die Induktivität sättigt.
(Bild: Markus Rehm, IBR)

Vor allem PFC Drosseln und Transformatoren in DC/DC Wandlern muss man bezüglich Sättigung analysieren. Dazu durchtrennt man eine zuführende Leiterbahn und verbindet sie wieder mit einem möglichst kurzen Kabel, um das man die Stromzange anbringt. Der kritischste Fall ist nicht nur bei kleinster Eingangsspannung und größter Last, sondern oft auch während dem Anlauf. Am besten, man testet alle vorkommenden statischen und dynamischen Betriebsfälle. Die Sättigung ist abhängig von Temperatur und Bauteiltoleranz. Wenn man auf dem Labortisch z.B. beim Start ein „bisschen Sättigung“ erkennt, so kann diese im Gerät bei höherer Innentemperatur oder über eine größere Stückzahl wesentlich deutlicher sein und zu Feldausfällen führen.

Warum ist Sättigung gefährlich? Eine Induktivität ist ziemlich robust. Der Halbleiterschalter aber muss den schnell ansteigenden und viel größeren Strom ausschalten und hat dann große Ausschaltverluste. Wenn dadurch der sichere Arbeitsbereich (SOA) verlassen wird geht der Schalter kaputt. Außerdem erzeugt der größere Strom wegen den Streuinduktivitäten beim Ausschalten eine höhere Überspannung, die den Halbleiter zerstören kann, wenn diese durch das Entlastungsnetzwerk nicht mehr ausreichend gedämpft wird. Deswegen sollte auch ein „bisschen Sättigung“ der Zuverlässigkeit zuliebe vermieden werden (Kasten: Beispiel A, Ausfallursache 1).

Weitere Aspekte in Sachen Zuverlässigkeit

Bei der Analyse der Zuverlässigkeit sollte noch folgendes beachtet werden:

  • Auch offensichtlich richtiges Messen ist immer fehlerbehaftet und beeinflusst das Netzteil.
  • Oft sind 95% der Bauteile gut dimensioniert! Die 5% schlecht ausgelegten Bauteile muss man finden und optimieren! Das schwächste Glied führt zum vorzeitigen Ausfall! Da nützt es nichts, wenn die restlichen Bauteile überdimensioniert sind.
  • Große Beachtung sollte man der Stückliste (BOM) mit allen Bauteilen widmen. Mit den Zweite-Wahl-Typen wird das Netzteil zwar funktionieren, für die Zuverlässigkeit könnte es aber schlechter sein.
  • Spätere Änderungen der Bauteile, z.B. zur Kostenreduktion oder aus Gründen der Verfügbarkeit, können Auswirkungen auf die Zuverlässigkeit haben, auch wenn die Funktionalität des Netzteils gleich bleibt.
  • Selbstverständlich sollten alle wichtigen Messungen nachvollziehbar dokumentiert und zusammen mit dem Muster gut verwahrt werden. Das erleichtert die Fehlersuche, falls es doch zu Ausfällen kommen sollte.

Gründe für Entwicklungsfehler und wie man sie erkennen kann

Oft wird der Bauteilstress nur im nominalen Dauerbetrieb gemessen, also über den gesamten Eingangsspannungsbereich und von min. Last bis max. Last, manchmal noch im Leerlauf.

Wesentlich kritischer sind jedoch oft folgende Fälle:

  • Anlauf, z.B. beim Anlegen der Netzspannung oder Übergang vom Standby in ON-mode,
  • Ausschalten des Netzteils oder Übergang in Standby mode,
  • Netzunterbrechung,
  • Lastsprünge (auch Abwurf),
  • Kurzschluss,
  • Überstrom.

Vor allem Netzunterbrechungen können gefährlich sein, nämlich genau dann, wenn die Netzspannung in dem Moment wieder zugeschaltet wird, wenn die Ausgangsspannung oder die interne Versorgungsspannung zu fallen beginnen (Kasten: Beispiel C). Am besten man analysiert alle diese genannten Fälle genau, um mögliche Schwachstellen zu finden. Bei auftretenden Problemen muss man eine passende Lösung natürlich auch noch erarbeiten, aber besser vor der Markteinführung als danach.

* Markus Rehm ist Inhaber des Ingenieurbüros Markus Rehm in Villingen-Schwenningen.

(ID:35853210)