Ändern sich Messsignale periodisch, spricht man von Wechselgrößen. Ein bekanntes Signal ist die Wechselspannung. Sie ist die häufigste Signalform einer Wechselgröße und ein sinusförmiges Signal.
Periodische Wechselgröße: In Deutschland beträgt die Netzspannung 230 Volt. Die Wechselspannung ist die häufigste Signalform einer Wechselgröße.
Charakteristische Größen von Signalen, die sich periodisch ändern, werden allgemein als Wechselgrößen bezeichnet. Eine bekannte Wechselgröße ist die Wechselspannung. In Deutschland beträgt sie 230 V. Ein weiteres Beispiel für entsprechende Wechselsignale ist der periodische Druck- und Temperaturverlauf im Zylinder eines laufenden Verbrennungsmotors. Die bekannten englischen Abkürzungen speziell für Gleich- und Wechselstrom sind DC (Direct Current) und AC (Alternate Current).
Die mit Abstand häufigste Signalform einer Wechselgröße ist das Sinussignal. Das ist im Bild 1 am Beispiel einer elektrischen Spannung skizziert. Im allgemeinen Fall schwingt das Sinussignal periodisch um einen sogenannten Gleichanteil (auch „Offset“ genannt) u0, der in vielen Fällen 0 ist (Formel 1): u(t) = u0 + û · sin(ωt)
Weiterhin gelten (Formel 2 und 3):
und
Bild 1: Ein Sinussignal mit Gleichanteil.
(Bild: Prof. Böttcher)
Bei einem Wechselsignal wie dem in Bild 1 interessiert man sich häufig nicht für einen einzelnen Wert zu einem bestimmten Zeitpunkt, den Momentanwert. Dieser hätte wenig Aussagekraft, da er sich ja gemäß der speziellen Signalform in einem starren Muster periodisch ändert.
Kenngrößen aus einer Periode des Wechselsignals
Vielmehr relevant für die meisten messtechnischen Fragestellungen sind Kenngrößen, die sich aus einer Periode des Wechselsignals ermitteln lassen. Nachfolgend wollen wir die üblicherweise verwendeten Kenngrößen mathematisch definieren, was unabhängig davon ist, mit welchen Messmethoden wir diese später ermitteln. Wir tun dies am Beispiel einer Wechselspannung u(t).
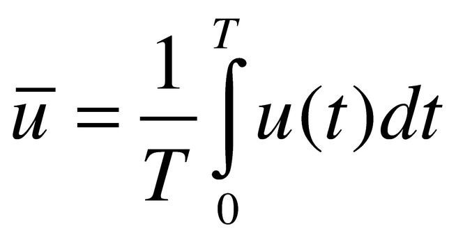
Der (lineare) Mittelwert gemäß (Formel 4):
ist nur dann aussagekräftig, wenn es sich nicht um ein gleichanteilsfreies Signal handelt, da er anderenfalls 0 beträgt. Stellen wir uns den sinusförmigen Spannungsverlauf an einem elektrischen Verbraucher, wie einen Fön oder eine Lampe, vor, der an einer normalen Steckdose angeschlossen ist. Der sinusförmige Spannungsverlauf weist keinen Mittelwert auf. Trotzdem wirkt die Spannung und sowohl der Fön als auch die Lampe können arbeiten.
Eine analoge Schaltung liefert ein gleichgerichtetes elektrisches Signal
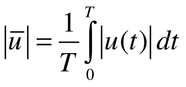
Offensichtlich kommt es bei ihnen nicht auf die Polarität der Spannung und die Richtung des dadurch hervorgerufenen Stromflusses an, sondern nur darum, dass im Mittel überhaupt eine beliebig gepolte Spannung anliegt. Blendet man vor der Mittelwertbildung die Polarität aus, was mathematisch der Betragsbildung entspricht, so gelangt man zur Definition des Gleichrichtwerts nach (Formel 5):
Der Name rührt daher, dass bei einer häufigen messtechnischen Realisierung mittels analoger Schaltungen das elektrische Signal gleichgerichtet wird, bevor es einer Mittelwertbildung zugeführt wird. Wir werden das weiter unten noch sehen. Der Gleichrichtwert hat somit auch für Wechselsignale ohne Gleichanteil eine Aussagekraft. Immer dann, wenn elektrische Verbraucher durch Wechselstrom betrieben werden, wird an ihnen elektrische Leistung verbraucht.
Die Physik lehrt uns nun, dass zur Berechnung dieser Leistung die elektrischen Wechselgrößen Spannung und Strom nicht mit ihren Gleichrichtwerten einzubeziehen sind, was man spontan vielleicht annehmen würde. Vielmehr muss jeweils der quadratische Mittelwert des gleichgerichteten Signals in die Berechnung einfließen gemäß (Formel 6):
ueff nennt sich Effektivwert oder auf Englisch RMS (root mean square). Letzterer Begriff umschreibt anschaulich die wichtigsten mathematischen Operationen hierbei. Mittelwert, Gleichrichtwert und Effektivwert lassen sich zu jeder beliebigen periodischen Signalform berechnen.
Ein Sinussignal mit und ohne Gleichanteil
Bild 2: Die Kenngrößen für Sinussignale.
(Bild: Prof. Böttcher)
Bild 3: PWM-moduliertes Rechtecksignal mit Kenngrößen.
(Bild: Prof. Böttcher)
Formel 7
(Bild: Prof. Böttcher)
Wir werden im Verlauf des Textes einige Beispiele sehen: Sie sind unabhängig von der Frequenz f des Signals. Zwischen ihnen sind Umrechenfaktoren definiert, die zu jeder speziellen Signalform einen konstanten Wert aufweisen. Diese sind der Scheitelfaktor (crest factor) (Formel 7) und der Formfaktor (Formel 8)
Bild 2 zeigt die resultierenden Kenngrößen für ein Sinussignal nach Bild 1, jeweils mit und ohne Gleichanteil. Auf die Angabe des Scheitelfaktors und des Formfaktors wird bei Signalen mit Gleichanteil in der Regel verzichtet, da sie hier keine größere praktische Bedeutung haben.
Stand: 08.12.2025
Es ist für uns eine Selbstverständlichkeit, dass wir verantwortungsvoll mit Ihren personenbezogenen Daten umgehen. Sofern wir personenbezogene Daten von Ihnen erheben, verarbeiten wir diese unter Beachtung der geltenden Datenschutzvorschriften. Detaillierte Informationen finden Sie in unserer Datenschutzerklärung.
Einwilligung in die Verwendung von Daten zu Werbezwecken
Ich bin damit einverstanden, dass die Vogel Communications Group GmbH & Co. KG, Max-Planckstr. 7-9, 97082 Würzburg einschließlich aller mit ihr im Sinne der §§ 15 ff. AktG verbundenen Unternehmen (im weiteren: Vogel Communications Group) meine E-Mail-Adresse für die Zusendung von redaktionellen Newslettern nutzt. Auflistungen der jeweils zugehörigen Unternehmen können hier abgerufen werden.
Der Newsletterinhalt erstreckt sich dabei auf Produkte und Dienstleistungen aller zuvor genannten Unternehmen, darunter beispielsweise Fachzeitschriften und Fachbücher, Veranstaltungen und Messen sowie veranstaltungsbezogene Produkte und Dienstleistungen, Print- und Digital-Mediaangebote und Services wie weitere (redaktionelle) Newsletter, Gewinnspiele, Lead-Kampagnen, Marktforschung im Online- und Offline-Bereich, fachspezifische Webportale und E-Learning-Angebote. Wenn auch meine persönliche Telefonnummer erhoben wurde, darf diese für die Unterbreitung von Angeboten der vorgenannten Produkte und Dienstleistungen der vorgenannten Unternehmen und Marktforschung genutzt werden.
Meine Einwilligung umfasst zudem die Verarbeitung meiner E-Mail-Adresse und Telefonnummer für den Datenabgleich zu Marketingzwecken mit ausgewählten Werbepartnern wie z.B. LinkedIN, Google und Meta. Hierfür darf die Vogel Communications Group die genannten Daten gehasht an Werbepartner übermitteln, die diese Daten dann nutzen, um feststellen zu können, ob ich ebenfalls Mitglied auf den besagten Werbepartnerportalen bin. Die Vogel Communications Group nutzt diese Funktion zu Zwecken des Retargeting (Upselling, Crossselling und Kundenbindung), der Generierung von sog. Lookalike Audiences zur Neukundengewinnung und als Ausschlussgrundlage für laufende Werbekampagnen. Weitere Informationen kann ich dem Abschnitt „Datenabgleich zu Marketingzwecken“ in der Datenschutzerklärung entnehmen.
Falls ich im Internet auf Portalen der Vogel Communications Group einschließlich deren mit ihr im Sinne der §§ 15 ff. AktG verbundenen Unternehmen geschützte Inhalte abrufe, muss ich mich mit weiteren Daten für den Zugang zu diesen Inhalten registrieren. Im Gegenzug für diesen gebührenlosen Zugang zu redaktionellen Inhalten dürfen meine Daten im Sinne dieser Einwilligung für die hier genannten Zwecke verwendet werden. Dies gilt nicht für den Datenabgleich zu Marketingzwecken.
Recht auf Widerruf
Mir ist bewusst, dass ich diese Einwilligung jederzeit für die Zukunft widerrufen kann. Durch meinen Widerruf wird die Rechtmäßigkeit der aufgrund meiner Einwilligung bis zum Widerruf erfolgten Verarbeitung nicht berührt. Um meinen Widerruf zu erklären, kann ich als eine Möglichkeit das unter https://contact.vogel.de abrufbare Kontaktformular nutzen. Sofern ich einzelne von mir abonnierte Newsletter nicht mehr erhalten möchte, kann ich darüber hinaus auch den am Ende eines Newsletters eingebundenen Abmeldelink anklicken. Weitere Informationen zu meinem Widerrufsrecht und dessen Ausübung sowie zu den Folgen meines Widerrufs finde ich in der Datenschutzerklärung, Abschnitt Redaktionelle Newsletter.
Als alternative Signalform zeigt Bild 3 ein unsymmetrisches Rechtecksignal. Wird die An-Zeit Δt innerhalb einer bestimmten Anwendung variabel ausgeführt, so spricht man auch von einem pulsweitenmodulierten Signal (PWM), wie es in der Technik häufig benutzt wird. Das Verhältnis (Formel 9)
wird das Tastverhältnis des PWM-Signals genannt. Über dieses Tastverhältnis wird in der Messtechnik teilweise auch ein Messwert kodiert und analog übertragen, das PWM-Signal selbst ist digital. Als Kenngrößen ergeben sich dann die in der rechten Bildhälfte dargestellten Werte.
Bestimmung der Kenngrößen bei analoger Signalverarbeitung
Bild 4: Bildung des Gleichrichtwerts mit analoger Signalverarbeitung.
(Bild: Prof. Böttcher)
Das Bild 4 zeigt das Grundprinzip, wie viele Messeingänge für Wechselgrößen beispielsweise bei Multimetern, PC-Messkarten oder busbasierten Messmodulen intern aufgebaut sind. Geräteintern wird in der Regel mit elektrischen Spannungssignalen gearbeitet. Für die Strommessung werden dazu die Ströme zunächst in Spannungen umgewandelt. Generell werden in der heutigen Messtechnik spätestens innerhalb der Messelektronik alle elektrischen und nichtelektrischen Messgrößen fast ausschließlich in Spannungssignale umgewandelt, da diese gut digitalisierbar sind.
Wie im Bild 4 dargestellt, wird ein Wechselsignal (hier als Sinussignal skizziert) entweder direkt oder, falls die Signalpegel für eine Weiterverarbeitung zu gering sind, nach einer optionalen Verstärkung (gestrichelt angedeutet) einer Gleichrichterschaltung zugeführt. Die Gleichrichtschaltung kehrt die Polarität negativer Signalanteile um, führt also mathematisch gesehen eine Betragsbildung durch. Mittels entsprechend ausgelegter und dimensionierter Filterschaltungen, die höherfrequente Signalanteile ausfiltern – der Elektroniker spricht von Tiefpassfiltern –, wird anschließend ein zumindest näherungsweise (geglättetes) Gleichspannungssignal erzeugt, das weitgehend dem Mittelwert des zugeführten Signals entspricht.
Typisch ist die im Bild angedeutete Restwelligkeit, die umso geringer ist, je hochwertiger die Filterschaltung ausgeführt ist. Insgesamt wird bei einem derartigen Schaltungsprinzip ein Gleichrichtwert nach Formel 5 gebildet, der als (angenähertes) Gleichspannungssignal vorliegt. Dieses kann schließlich mit Methoden der Gleichspannungsmessung gemessen werden.
Bestimmung der Kenngrößen mit digitaler Signalverarbeitung
Bild 5: Ein abgetastetes Signal.
(Bild: Prof. Böttcher)
Bei Messsystemen, die zur Steuerung, Auswertung und Visualisierung einen Rechner verwenden, werden manchmal die Momentanwerte der Spannungssignale direkt messtechnisch erfasst. Dies wird als Abtastung des Signals bezeichnet. Die Abtastung erfolgt in konstanten Zeitabständen TA, wie in Bild 5 dargestellt. Sie ist an sich nichts anderes als das Einfrieren des gerade zu erfassenden Momentanwertes mit anschließender schneller Messung. Die abgetasteten Werte werden softwaregesteuert gespeichert und stehen damit einer beliebigen algorithmischen Auswertung zur Verfügung. Diese kann schrittweise, also parallel zum kontinuierlich eintreffenden Datenstrom der Momentanwerte erfolgen. Oder im Nachhinein, wenn eine bestimmte Anzahl von Momentanwerten einmalig erfasst wurde.
Auf Basis der gespeicherten Momentanwerte können die Kenngrößen nun rein algorithmisch durch numerische Umsetzung der Formeln 4 bis 8 berechnet werden. Hierbei ist lediglich zu berücksichtigen, dass mit den üblichen Programmiersprachen zwar die vier Grundrechenarten problemlos angewendet werden können, die hier notwendige Integration als Operation aus der analogen Welt jedoch zunächst nicht zur Verfügung steht. Stattdessen müssen wir die Integration numerisch nachbilden.
Will man beispielsweise die Formel 6 zur Berechnung des Effektivwertes numerisch umsetzen, so ersetzt man die Integralbildung durch die Summation vieler kleiner Rechteckflächen, jeweils mit der Breite TA und der Höhe des jeweiligen Abtastwertes uk (Formel 10):
k läuft von 1 bis n und muss genau eine Periode des Signals umfassen. Je größer n oder je kleiner TA bei gegebener Periodendauer T ist, desto besser nähert sich der numerisch berechnete Effektivwert dem tatsächlichen Effektivwert an, wie in Formel 6 definiert. In der Praxis findet man n im Bereich von etwa 100 bis zu mehreren 1.000.