Was bei der Ultraschall-Durchflussmessung zu beachten ist
Ein Ultraschall-Durchflusssensor lässt sich nicht auf günstige Einzelkomponenten reduzieren. Anwender sollten auf das Zusammenspiel der Komponenten achten und den Sensor als System betrachten und optimieren. Auch die Physik dahinter sollte verstanden werden.
Anbieter zum Thema

Die Ultraschall-Strömungsmesstechnik stellt insbesondere in ihrer Ausprägung als Laufzeitdifferenzverfahren einen wichtigen Pfeiler in der Durchflussmessung dar. Sie kann eingriffsfrei als Clamp-On-Verfahren oder zumindest weitestgehend eingriffsfrei, ohne bewegte Komponenten, lageunabhängig und ausgestattet mit hoher Messdynamik sein. Dann vergrößert sich der Marktanteil nicht zuletzt wegen der sinkenden Preise für komplexe elektronische Signalverarbeitung.
Als Grund für eine positive Prognose der zukünftigen Stückzahlen, wie bei Wasser-, Wärme- und Gaszähler, wird oft die geringe Anzahl der im Sensor eingesetzten Komponenten (Schallwandler, hydraulisches Rohr und integrierte Elektronik) in Verbindung mit dem geringen Materialvolumen/Masse angeführt. Da die Signalverarbeitung zunehmend bereits während der Laufzeitmessung integriert ist, kommen weniger Elektronikbauteile zum Einsatz. Auch Ultraschallwandler entwickeln sich in ihrer Konstruktion zu einfach integrierbaren und automatisch herstellbaren Komponenten.
Insofern stellt die Gestaltung der Komponenten für große Stückzahlen an sich kein großes Hindernis mehr dar. Allerdings zeigt die Betrachtung der zugrundeliegenden physikalischen Prinzipien, dass es nicht zielführend ist, den Fokus auf die Entwicklung einzelner Komponenten zu haben. Im Gegenteil, nur ein systemorientierter Entwicklungsansatz wird zu einem weitestgehend linearen Zusammenhang zwischen Strömung und Messeffekt führen und damit aufgrund reduzierter Anforderungen an die Kalibrierung einen wirklichen Kostenvorteil schaffen. Eine auf verfügbaren Komponenten basierende Plug-and-play-Vorgehensweise kann schnell zum Scheitern führen.
Die Durchflussmesstechnik im Detail
Bei der Durchflussmesstechnik lässt sich kein ideales Verfahren benennen. Turbinen, magnetisch-induktive Verfahren, thermische Sensoren, Vortex-Systeme und viele andere haben jeweils, wie die Ultraschallverfahren auch, anwendungsspezifisch gesehen Vor- und Nachteile. Die Ultraschallverfahren unterteilen sich vor allem in CW-Doppler und Pulsdoppler, Korrelatoren und reine Laufzeitverfahren. Insbesondere letztere stehen bei der leitungsgebundenen Strömung im Vordergrund.
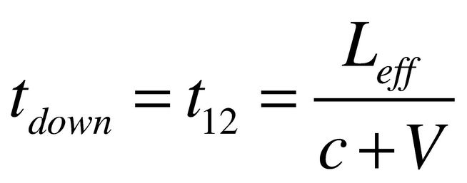
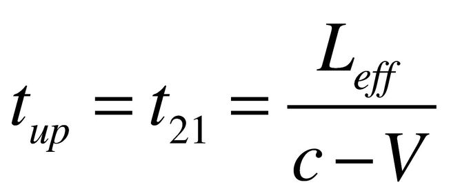
Die Grundlage des Verfahrens ist einfach: Eine Ultraschallwelle wird mit und entgegen der Strömungsrichtung geleitet. Daraus ergeben sich bei vorhandener Strömung unterschiedliche Laufzeiten, aus denen die Strömungsgeschwindigkeit berechnet werden kann. Um einen entsprechenden Messeffekt zu erzielen, muss mindestens ein Teil der Strömung die gleiche Richtung wie die Ausbreitungsrichtung des Ultraschalls aufweisen. Hier unterscheiden sich die Ausgestaltungen des Verfahrens hinsichtlich der Methode der Umlenkung des Schallpfades in die Strömungsrichtung oder umgekehrt.
In Richtung der Strömung ergibt sich eine Superposition von Schall- und Strömungsgeschwindigkeit, die Schalllaufzeit verkürzt sich (Formel 1): Entgegen der Strömungsgeschwindigkeit erhöht sich diese auf (Formel 2) so dass sich hier – unter der Annahme, dass bei Flüssigkeiten die Strömungsgeschwindigkeit viel kleiner als die Schallgeschwindigkeit ist – die Strömungsgeschwindigkeit zu (Formel 3) berechnen lässt. Zu beachten ist außerdem, dass sich üblicherweise weder die Strömung homogen, noch der Ultraschall auf einer Linie fortbewegen. Somit ergeben sich reproduzierbare Korrekturfaktoren, die in die Zusammenhänge eingefügt werden.
Genauigkeit in der Prozessmesstechnik
Für den strömungslosen Zustand muss t12 = t21 sein. Der Betriebszustand bei einer definierten Temperatur und einem bekannten Medium lässt sich das einfach durch Kalibration erreichen. Allerdings soll das Verfahren auch bei anderen Temperaturen und Fluiden funktionieren, also ohne Strömung muss t12 immer gleich t21 sein oder der Sensor muss für alle Umgebungsbedingungen und Einsatzbedingungen kalibriert werden. Wenn sehr hohe Genauigkeiten erreicht werden sollen, wie es in der Prozessmesstechnik notwendig ist, wird das tatsächlich so durchgeführt und gegebenenfalls in festgelegten Zeitabständen aufgrund der Alterung wiederholt. Bei kostensensitiven Sensoren ist außerdem zu berücksichtigen, dass jeder Kalibrierpunkt (Fluid/Viskosität, Temperatur oder Strömungsgeschwindigkeit) erhebliche Kosten verursacht. Im Prüfstand sind stabile Verhältnisse zu erreichen, wofür lange Verweilzeiten im Prüfstand erforderlich sind.
Das Zauberwort heißt Reziprozität: Das ist die Eigenschaft eines Übertragungssystems Ursache und Wirkung miteinander vertauschen zu können, ohne das Übertragungsverhältnis dabei zu verändern. In der klassischen Elektrotechnik geht man davon aus, dass passive, lineare und zeitinvariante Vierpole reziprok betrieben werden können. Hier zeigt sich ein erster, typischer Auslegungsfehler darin, dass dabei vergessen wird, dass bestimmte Rahmenbedingungen eingehalten werden müssen, um die Reziprozität einzuhalten. Geschieht das nicht, so ist schnell erkennbar, dass beispielsweise bei einem unter Raumtemperatur kalibrierten System zwar ohne Strömung keine Laufzeitdifferenz (t21 - t12) ermittelt wird, bei kleiner Temperaturänderung dieser Wert jedoch von 0 abweicht und somit fälschlicherweise eine Strömung angezeigt wird
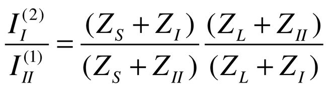
Das Bild 2 zeigt das Modell eines Vierpols, bestehend aus Sendeschallwandler, idealer Übertragungsstrecke, Empfangsschallwandler sowie elektrischer Quelle und Last. Der Vierpol wird wie beim Laufzeitdifferenzverfahren in beiden Richtungen betrieben. Der reziproke Betrieb ergibt sich aus dem Zusammenhang der Ströme I und Spannungen V (Formel 4).
Bei Berücksichtigung der Quell- und Lastimpedanzen ZS und Zl sowie der elektrischen Schallwandler-Impedanzen ZI und ZII, kann als Bedingung geschrieben werden (Formel 5).
Neben singulären Lösungen ergeben sich dabei als Lösung die einfachen Randbedingungen, dass entweder Last- und Quellimpedanz oder aber die elektrischen Schallwandler-Impedanzen gleich sein müssen. Soweit ist das ein erfreuliches Ergebnis, da die erste Forderung leicht einzuhalten ist und beispielsweise durch verfügbare integrierte Bauteile (GP30) sogar identisch sein kann. Eine Kalibrierung wäre nun nicht mehr notwendig. Die Kostenersparnis ist groß. Aber tatsächlich erkennt man, dass üblicherweise bei der Berücksichtigung dieser Voraussetzung ein häufig deutlich von Null abweichender, temperaturabhängiger Differenzlaufzeitoffset messbar ist. Dieser führt letztendlich zu einem aufwändig zu kalibrierenden Durchfluss-Messergebnis bei niedrigen Durchflüssen. Warum ist das so?
Das Problem steckt in der Linearität und hier zumindest in zwei Komponenten. So ist die Schallausbreitung in Wasser zunächst nichtlinear, da die Wellenform des Schalldrucks abhängig von der Schnelle verzerrt wird. Der Effekt ist sehr gering, allerdings sind typische, zu reproduzierende Differenzlaufzeiten heute durchaus im ps-Bereich zu finden und somit bei einem Zehn– oder Hunderttausendstel der Periodendauer.
Die Piezokeramik verhält sich hier durchaus komplexer. Auch wenn diese üblicherweise als „im Kleinsignalbetrieb betriebene“ Piezokeramik angesehen wird, so ist die elektroakustische Transformation grundsätzlich nichtlinear [2]. Nichtlineare Hysterese- und Drifteigenschaften der reversiblen ferroelektrischen Elementarzellen-Umorientierung sorgen für eine nur näherungsweise lineare Dehnungscharakteristik. Damit ist die Reziprozität nur eingeschränkt gegeben.
Ein kostengünstiges Design

Was bedeutet das für das Design eines kostengünstig produzierbaren – weil nur minimal zu kalibrierenden – Ultraschall-Durchflusssensors? Es ist immer sinnvoll, die Reziprozität weitestgehend zu erreichen und die Schallwandler müssen entsprechend betrieben werden. Ein wesentlicher Weg hierzu ist zunächst die Festlegung auf eine feste Last- bzw. Quellimpedanz der Schallwandler. Die Wahl ist nicht einfach, wenn man berücksichtigt, dass das Übertragungsverhalten eines piezoelektrischen Ultraschallwandlers aufgrund seiner elektromechanischen Verkopplung nicht konstant ist, sondern von seinen Umgebungsbedingungen (insbesondere Lastmedium, Temperatur) und von der Quell- bzw. Lastimpedanz selbst abhängig ist (Bilder 3 und 4).


Eine detaillierte Untersuchung der planmäßig eingesetzten Schallwandler oder aber eine entsprechende Ausrichtung einer Schallwandler Entwicklung ist hierbei dringend von Nöten. Ebenfalls hilfreich ist die Nutzung möglichst kleiner Sendespannungen. Es darf hierbei nicht vergessen werden, dass sich dabei auch andere Ansätze der Schallwandler-Spezifikation ergeben. Eine solche unterscheidet sich bei Schallwandlern für die Durchflussmessung ganz erheblich von solchen für andere Anwendungen.
Ausgehend von einer eingeschränkten Reziprozität des Übertragungsverhaltens ist im zweiten Schritt eine weitestgehende Symmetrie des Designs zu erreichen. Dies beginnt einerseits bei einer möglicherweise erforderlichen Paarung der Schallwandler anhand systemtechnisch definierter Parameter. Hier zeigt sich, wie wichtig das Verständnis der in das Sensorsystem eingebetteten Schallwandlereigenschaften ist, um die wichtigen Eigenschaften zu definieren und den Schallwandler nicht zu überspezifizieren und damit zu teuer werden zu lassen.

Ebenfalls Teil der Symmetriebetrachtung ist der Körperschall. Der Schall neigt dazu, den undefinierten Weg über konstruktive Komponenten des Messrohrs zu nutzen, da hier eine bessere akustische Anpassung vorliegt. Die Schallein- und Auskopplung erfolgt im Bereich der Schallwandlerfixierung oder aber kontinuierlich im verwendeten akustischen Wellenleiter mittels Plattenwellenausbreitung. Leider strahlen diese Komponenten wiederum kontinuierlich in die Flüssigkeit ab, mit dem Ergebnis einer phasenundefinierten Superposition von akustischem Nutzsignal und diesen Störsignalen. Das Bild 5 zeigt als Beispiel die Wirkung einer solchen Interferenz auf den Nullfluss-Differenzlaufzeitoffset. Heute verfügbare Signalverarbeitungen erfordern einen Körperschall-zu-Nutzsignal-Abstand von mehr als 60 dB bei 1 MHz.
Ultraschall-Durchflusssensor und abschließende Ergebnisse

Wird der Prototyps eines Ultraschall-Durchflusssensors bei konstanter Temperatur strömungsabhängig untersucht, wird die gute Reproduzierbarkeit eines Ultraschallsystems erkannt. Erst wenn die Temperatur variiert wird, zeigt sich die Qualität der erreichten Reziprozität im temperaturabhängigen Verhalten der Nullfluss-Differenzlaufzeit. Die Konstanz oder aber zumindest die Linearität ist hier ein gutes Maß für die Designqualität.
Auch hier wird deutlich, dass nicht nur die geeignet ausgewählten Komponenten, sondern auch das Verfahren relevant ist. Es muss eine Differenzlaufzeit ermittelt werden. Aber wo ist diese Zeit im Empfangssignal zu finden? Oder, bei Verwendung üblicher Time-to-Digital Converter, die auf der Zeitmessung mittels Komparatoren identifizierter Amplitudennulldurchgänge beruhen: Welche und wie viele Nulldurchgänge sind zu bewerten? Dies ist üblicherweise ein empirischer Optimierungsprozess, zu dem auch die Nullflussstabilität herangezogen werden kann.
Das Bild 6 zeigt ein aktuell erreichbares Ergebnis für eine solche Offsetstabilität. Hier ergibt sich eine messtechnisch ermittelte temperaturabhängige Variation der Differenzlaufzeit von ungefähr 30 ps. Unter Kenntnis der hydraulischen Situation lässt sich damit dann die Genauigkeit ohne Kalibrierung oder nur mit einer Einpunkt-Kalibrierung berechnen.
Referenzen
[1] „Reciprocal Operation of ultrasonic flow meters: Criteria and applications“: Lunde, Vestrheim et al.; 2007 Ultrasonics Symposium.
[2] „The extrinsic nature of nonlinear behavior observed in lead zirconate titanate ferroelectric ceramic“: Shaoping Li, Wenwu Cao, and L. E. Cross, Journal of Applied Physics 69, 7219 (1991)
* Thomas Hahn-Jose ist Geschäftsführer bei der SonoQ GmbH in St. Ingbert.
(ID:45945343)



![(Formel 4) [1] (Formel 4) [1]](https://cdn1.vogel.de/unsafe/654x0/smart/images.vogel.de/vogelonline/bdb/1570000/1570021/original.jpg)
