IGBT-Module Vierte IGBT-Generation mit höherer Stromdichte
Durch den Einsatz von IGBT-Leistungshalbleitern neuester Generation sind moderne Umrichterkonzepte mit deutlich geringerer Leistungsaufnahme möglich. IGBTs gelten deshalb als Schlüsselbauelemente in Antriebstechnik, Stromversorgung und Energiegewinnung. Und aufgrund kleinerer Chipgrößen lassen sich kompaktere und damit kostengünstigere Umrichter realisieren.
Anbieter zum Thema
Getrieben durch steigende Energiekosten, die Forderung nach der Reduzierung des CO2-Ausstoßes und die begrenzte Verfügbarkeit fossiler Brennstoffe werden signifikante Energieeinsparungen erforderlich. Großes Einsparpotential bieten viele industrielle Anwendungen wie Antriebs- und Stromversorgungssysteme. Daher gibt es für Umrichter, wie sie in diesen Anwendungen vorkommen, einen zunehmenden Bedarf für ein abgestimmtes System aus Ansteuerung durch einen intelligenten Treiber und dem Leistungsschalter.
Deutliche Verbesserungen hinsichtlich Verlustleistung und Baugröße
IGBTs gelten dabei als Schlüsselbauelemente in diesen Anwendungsgebieten und haben in der letzten Dekade erhebliche Fortschritte bezüglich Reduzierung der Verluste in Verbindung mit kleineren Chipgrößen gemacht, mit deren Hilfe sich immer kompaktere und damit auch kostengünstigere Umrichter entwickeln ließen. Für die Realisierung solch optimierter Leistungshalbleiter z.B. in der weit verbreiteten Modulbauform, ist die Kombination von Softness, Robustheit sowie die Reduzierung von Durchlass- und Schaltverluste in Kombination mit Gehäuse spezifischen Eigenschaften immer eine große Herausforderung, weil sie teils gegensätzliche Anforderungen an das Zelldesign des IGBT-Chips selbst und auch an den Gehäuseaufbau eines Bauelements stellen.
Ein großer Schritt vorwärts für diese teils gegensätzlichen Herausforderungen war mit Infineons neuen 1200-V-IGBT4-Chip möglich. Der heutige Stand der Technik bei IGBT-Leistungshalbleitern sind Trench-/Feldstopp-Bauelemente wie etwa Infineons 1200-V-IGBT3. Bei einem Trench-IGBT ist der Gate-MOS-Kanal vertikal angeordnet.
Low-, Medium- und High-Power-Module mit optimierten Spezifikationen
Die neuen 1200-V-IGBT4-Leistungshalbleiter setzt genau hier an und bietet einen optimierten Vertikalaufbau sowie eine Erhöhung der Stromdichten und erlaubt so die Optimierung für anwendungsspezifische Anforderungen, mit denen die Realisierung von kompakten Umrichtern möglich ist. Drei Chipversionen für Low-, Medium- und High-Power-IGBT-Module mit optimierten Spezifikationen stehen für die unterschiedlichen Anwendungen zur Verfügung. Diese drei neuen Chipversionen sind der IGBT4-T4, IGBT4-E4 und IGBT4-P4.
Der IGBT4-T4-Chip bietet mit seinen schnellen Schalteigenschaften reduzierte Schaltverluste und kommt in Low-Power-Modulen mit Modul-Nennströmen von 10 bis 300 A zum Einsatz. Der IGBT4-E4 mit reduzierten Schalt- und Durchlassverlusten ist in Medium-Power-Modulen mit 150 bis 1000 A Nennstrom integriert. Eine deutlich softere Schaltcharakteristik hat der IGBT4-P4-Chip für Hochstromanwendungen in High-Power-IGBT-Modulen mit Nennströmen Inen größer 900 A. Die IGBT4-P4-Version wurde ausführlich in früheren Veröffentlichungen beschrieben, daher fokussiert sich dieser Artikel auf die Low- und Medium-Power-IGBT4-Versionen.
Aber auch neue Gehäusebauformen, wie sie auf der PCIM 2008 im Mai in Nürnberg vorgestellt werden, können die Vorteile der neuen IGBT-Generation weiter unterstützen und sind ein weiterer Schritt voran, den Anforderungen an ein abgestimmtes System gerecht zu werden.
25°C höhere Sperrschichttemperatur und längere Lebensdauer
Moderne und effiziente Umrichterkonzepte sehen u.a. eine immer kompaktere Bauform und eine damit einhergehende reduzierte Verlustleistung vor. Hier bietet die neue IGBT4-Generation einige wesentliche Vorteile im Vergleich zur vorherigen IGBT3-Generation. Zu diesen Vorteilen zählt neben den niedrigeren statischen und dynamischen Verlusten auch eine um 25°C höher und damit bis zu 150°C (Tvjop) nutzbare Sperrschichttemperatur. Eine höhere Betriebstemperatur ermöglicht eine höhere Ausgangsleistung bei vergleichbaren Kühlbedingungen. Die maximale Betriebstemperatur von Tvjop = 150°C wurde zum ersten Mal mit der dritten Generation der 600-V-IGBTs von Infineon eingeführt und ist nun auch mit den neuen 1200-V-Bauelementen möglich.
Entscheidend für die Nutzung höherer Betriebstemperaturen sind u.a. die an das Bauelement gestellten Zuverlässigkeitsanforderungen. Ein typischer End-of-Life-Mechanismus (EOF) bei IGBT-Modulen ist das Ablösen der Bondverbindung von der Chipobersite. Mit den IGBT4-Chips konnte die Aufbau- und Verbindungstechnik entscheidend optimiert werden, sodass durch diese Verbesserungen die Power-Cycling-Lebensdauer (PC) der IGBT Module deutlich höher ist.

Verglichen mit der Vorgänger-IGBT-Generation ergibt sich für den Anwender damit (je nach Designvorgabe) entweder mindestens die gleiche PC-Lebensdauer bei höheren Ausgangsströmen (bedingt durch die höhere Betriebstemperatur) oder andererseits eine deutlich verlängerte Power-Cycling-Lebensdauer bei vergleichbarer Ausgangsleistung.
Wichtig ist die Charakteristik der IGBTs während des Ein- und Ausschaltens
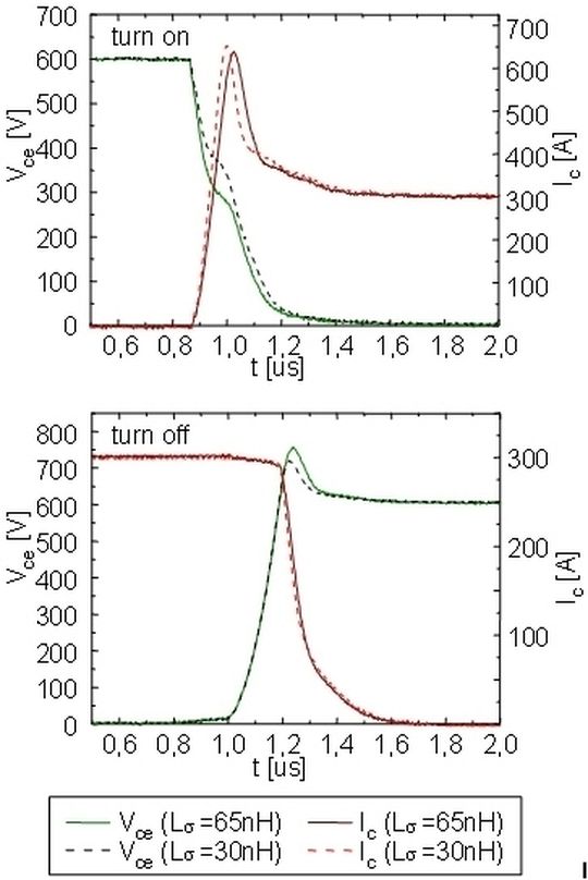
Die Eigenschaften lassen sich in Datenblätter und Diagrammen gut beschreiben, aber moderne Anwendungen verlangen von IGBT-Bauelementen heute mehr als nur die Reduktion von Verlusten. Auch die Charakteristik der Bauelemente während der Ein- und Ausschaltvorgänge sind wichtige Aspekte, die bei einer Chip- und Modulentwicklung zu berücksichtigen sind. Diese Eigenschaften sind jedoch in Datenblätter nur schwer zu spezifizieren, weil sie von einer Vielzahl von Anwendungsbedingungen abhängen. Den Einfluss der Aufbau-Streuinduktivität oder des externen Gate-Widerstandes sei hier nur stellvertretend und beispielhaft für die Vielzahl der weiteren Einflussfaktoren genannt. Daher ist ein weiterer zu berücksichtigender Aspekt dass die Softness während der Abschaltphasen bei größerer Streuinduktivität Ls abnimmt.

Der IGBT4-E4 zeigt sich im Vergleich zu dem IGBT3-E3 tendenziell weicher. Beispielhaft ist die Charakteristik während der Abschaltphasen zwischen dem IGBT3 und IGBT4 in den nachfolgenden Messungen, in Bild 3 in Abhängigkeit der Zwischenkreisspannung von 600 V und einer für diese Messung sehr hohen Testspannung von 900 V dargestellt.

Wird das Schaltverhalten der verschiedenen IGBT-Generationen verglichen, zeigt sich, dass der IGBT4-T4 tendenziell ein softeres Schaltverhalten als der Low-Power-IGBT3-T3 hat und der IGBT4-E4 tendenziell ein softeres Schaltverhalten hat als es der Medium-Power-IGBT3-E3-Chip aufweist. Zusätzlich wurde bei der Entwicklung berücksichtigt, dass die E-Version deutlich weicher ausgelegt wurde als die T-Serie. Daher ist es möglich, den E4 bei höherer Zwischenkreisspannung und/oder bei höherer parasitärer Induktivität im Vergleich zur T-Serie einzusetzen.
Dioden-Kommutierungsverhalten in Abhängigkeit der parasitären Streuinduktivität
Das Dioden-Kommutierungsverhalten, in Abhängigkeit der parasitären Streuinduktivität, muss ebenso wie die IGBT-Verluste bei der Auswahl des optimalen Bauelementes für die in der Anwendung spezifischen Bedingungen berücksichtigt werden. Im beschriebenen Beispiel sind die Veränderungen der Kommutierungsverluste und der Softness bei der verwendeten Emitter-Controlled-HighEfficency-Diode jedoch vernachlässigbar. Die verwendete Diode basiert auf der bewährten Emitter-Controlled-Technologie von Infineon.
Weist der Aufbau in der Anwendung konstruktionsbedingt jedoch eine ungünstig hohe parasitäre Streuinduktivität auf, kann es erforderlich sein, die IGBT-Einschaltgeschwindigkeit durch Erhöhung des externen Gate-Widerstandes anzupassen, um ein sanfteres Dioden-Kommutierungsverhalten zu erzielen. Ein größerer externer Gate-Widerstand und die damit reduzierte Einschaltgeschwindigkeit generieren höhere Einschaltverluste. Eine höhere Streuinduktivität reduziert somit die Softness des IGBTs und der Diode, daher ist es sehr vorteilhaft, dass der dargestellte IGBT4 ein softes Abschaltverhalten bei höherer Streuinduktivität aufweist.
Kalkulation der Stromausnutzbarkeit mit dem Software-Tool IPOSIM

Welche Stromausnutzbarkeit ergibt sich bei einem 3-phasigen Wechselrichter im Umrichterberieb unter Berücksichtigung von Anwendungsbedingungen mit IGBT4? Um dies abzuschätzen, wurden die Verluste der neuen Bauelemente, also die Berechnung der Stromausnutzbarkeit, mittels IGBT-Berechnungsprogramms IPOSIM durchgeführt. IPOSIM benötigt zur Berechnung die statischen und dynamischen Verluste wie auch die thermischen Daten des Leistungshalbleitermoduls und die Umgebungstemperatur in der Anwendung. Nach Eingabe dieser Anwendungsbedingungen errechnet die Software Verlustleistung und effektiven Phasenstrom. Der maximal erzielbare Effektivstrom (IRMS) des Umrichters in Abhängigkeit der Betriebstemperatur und der Schaltfrequenz (fsw) ist beispielhaft für einen IGBT-Schalter in einem 62-mm-Halbrückenmodul in Bild 4 dargestellt.
Hierbei zeigt sich, dass der Ausgangsstrom um bis zu 17% gesteigert werden kann, wenn die höhere Betriebstemperatur von Tvjop = 150 °C ausgenutzt wird. Bei Verwendung des IGBT4 bei der heutigen maximal zulässigen Betriebstemperatur für Leistungshalbleiter von Tvjop =125 °C, ergeben sich vergleichbare Ausgangsströme wie sie mit der Vorgänger-IGBT-Generation erzielbar sind.
Werden gleiche Anwendungsbedingungen für die Berechnung zugrunde gelegt, sind die Verluste eines E4-Modules etwa 3% geringer als die für ein E3-Modul und sind etwa vergleichbar mit denen eines verlustreduzierten T3. Verglichen zum E4-Modul sind die Verluste bei der T4-Version nochmals um 3% geringer.
Größere Ausgangsleistung und höhere Betriebstemperatur
Aufgrund der stetigen Weiterentwicklung der IGBT-Chips und der Aufbau- und Verbindungstechnologie ergibt sich somit für den Anwender der zuvor beschriebene Freiheitsgrad von höherer Ausgangsleistung in Kombination mit der höheren Betriebstemperatur bei heute gegebener PC-Zuverlässigkeit oder eine deutlich verlängerte PC-Lebensdauer bei heute gegebener Ausgangsleistung.
Die neue IGBT4-Leistungshalbleitergeneration wird sowohl in verfügbaren IGBT-Modulgehäusen wie auch in neue Modulgehäuse, die auf der PCIM 2008 in Nürnberg vorgestellt werden, eingesetzt.
*Wilhelm Rusche ist Manager im Technischen Marketing für IGBT-Module, Power Management & Drives bei Infineon Technologies, Warstein.
Artikelfiles und Artikellinks
(ID:254008)