Eine neue Silber-Palladium-Legierung eignet sich gut für elektrische Kontaktoberflächen und Steckverbinder. Einsatzgebiete finden sich im Umfeld der Elektromobilität, wo eine höhere Härte und verbesserte Abrieb- und Temperaturbeständigkeit notwendig sind.
HV-Anwendungen: Silber-Palladium-Legierungen eröffnen neue Anwendungen von Hochstrom-Kontakten. Im Bild ist die Sauerstoffdiffusion durch eine Silberbeschichtung zu sehen.
(Bild: Audi)
Edelmetalle wie Gold, Palladium, Silber aber auch andere PGM-Metalle wie Rhodium und Platin werden in der Regel wegen ihrer „edlen“ Eigenschaften vornehmlich für die Signal- und auch Leistungsübertragung in der Elektronik eingesetzt. Durch eine gute, stabile elektrische Leitfähigkeit sowie die hohe Beständigkeit dieser Edelmetalle gegenüber korrosiven Medien stellen sie eine zuverlässige und langlebige Kontaktierung im Steckverbinder sicher.
Die zunehmende Anzahl von elektrischen und elektronischen Bauteilen und Geräten sowie deren interne und externe Anbindungen steigert auch die Nachfrage an einzelnen Kontaktpunkten. Dies führt zu einem erhöhten Kostendruck und der Suche nach kostengünstigeren Lösungen sowie alternativen Kontaktmaterialien.
In der Folge setzt beispielsweise die Automobilindustrie vermehrt Silberoberflächen ein. Gleichzeitig ändern sich für einzelne Anwendungen auch die Eigenschaftsprofile mit gesteigerten Anforderungen in Richtung Härte, Abriebbeständigkeit und Gleiteigenschaften.
In der Industrie- und Automobilelektronik werden bereits Silber-Palladium-Legierungen eingesetzt, eine galvanische Abscheidung beispielsweise von Palladium-Silber (60/40 Gew.-%) wurde bereits früher beschrieben [1,2,3]. Insbesondere ein Prozess für die galvanische Bandbeschichtung von Steckverbindern ist neuartig.
Elektrolyt, Arbeitsbereich und Durchsatzverhalten
Der Elektrolyt zur Abscheidung von Silber-Palladium-Überzügen ist cyanidfrei und verzichtet auf harte Komplexbildner. Damit ist er problemlos in der Abwasserbehandlung zu handhaben. Alle Bestandteile entsprechen den Vorgaben europäischer bzw. weltweiter Chemikalienverordnungen. Die Eigenschaften des Elektrolyten wurden bereits früher beschrieben [5,8,9].
Der Elektrolyt ist ausgelegt auf die Bandbeschichtung in Durchlaufanlagen. Wichtigste Voraussetzung für die Bandbeschichtung ist eine hohe Abscheidungsgeschwindigkeit aufgrund der kurzen Expositionszeiten. Durch eine erhöhte Arbeitstemperatur auf bis zu 65°C, eine starke Umwälzung und hohe Metallkonzentrationen bis zu 20 g/l Silber bzw. bis zu 12 g/l Palladium können mit dem Silber-Palladium-Elektrolyten Geschwindigkeiten von bis zu 5 µm/min erreicht werden.
Weiterhin bietet der Elektrolyt für konstante Qualität der Überzüge ein breites Arbeitsfenster und hat sich unter Produktionsbedingungen als prozesssicher erwiesen [9]. Dazu gehört auch die gleichmäßige Schichtzusammensetzung über den gesamten anwendbaren Stromdichtearbeitsbereich hinweg (Bild 1).
Bild 1: Legierungszusammensetzung in Abhängigkeit von der Stromdichte.
(Bild: Umicore)
Der Silberanteil im Überzug liegt im Bereich von 88 bis 94% bei Stromdichten bis zu 10 A/dm². Der Palladiumanteil ist konstant und beträgt zwischen 4% und 5%. Weiterhin enthält der abgeschiedene Überzug geringe Anteile (ca. 3%) eines metallischen Glanzzusatzes. Die Abscheidungsgeschwindigkeit steigt bei ausreichender Elektrolytbewegung linear mit der Stromdichte an.
Bild 2: Silberanteil in der Legierung über 2 MTO in Abhängigkeit von der Stromdichte
(Bild: Umicore)
Ein Belastungstest des Elektrolyten über 2 MTO (Metal-Turn-Over) zeigt bei regelmäßiger Kontrolle und Ergänzung der Metallsalze und Elektrolytzusätze ein stabiles Verhalten. Sowohl die Abscheiderate als auch die Abscheidungsgeschwindigkeit [8,9] bleiben in einem engen Bereich konstant. Betrachtet man die Legierungszusammensetzung im bevorzugten Stromdichtebereich so findet sich auch hier ein sehr gleichbleibendes Bild über 2 MTO (Bild 2).
Erste Erfahrungen aus Anlagentests
Die ersten Erfahrungen aus Anlagentests bei Kunden wurden bereits früher beschrieben und bestätigten die Tauglichkeit des Elektrolyten im Produktionsmaßstab [9]. Zur detaillierten Bestimmung von Prozessgrenzen und Ermittlung von Arbeitsparametern wurden weitere Tests durchgeführt und in deren Folge auch Qualifikationen auf Produktionsanlagen durchgeführt.
Bei diesen zeigte sich, dass die hohen Anforderungen an einen produktionsfähigen Prozess erfüllt werden konnten. Neben ausreichenden Leistungsdaten des Elektrolyten in puncto Abscheidungsgeschwindigkeit und Stabilität bei erhöhten Temperaturen (bis 65°C) zeigte sich auch, dass unabhängig von anlagenbedingten Parametern wie Durchlaufgeschwindigkeit und Strömungsverhältnissen eine stabile Schichtzusammensetzung und eine konstante Schichtqualität erzielt wurden.
Elektrische und mechanische Schichteigenschaften
Tribologische und elektrische Eigenschaften: Die Abriebbeständigkeit wurde bereits in früheren Veröffentlichungen beschrieben [4,5,8,9]. Der Reibkoeffizient nach 500 Zyklen bei einer Kontaktkraft von 50 mN mit einer Hartgoldkugel als Gegenstück liegt im Bereich unter 0,25 und ist damit vergleichbar mit dem Reibkoeffizienten von Hartgold bei gleicher Belastung.
Stand: 08.12.2025
Es ist für uns eine Selbstverständlichkeit, dass wir verantwortungsvoll mit Ihren personenbezogenen Daten umgehen. Sofern wir personenbezogene Daten von Ihnen erheben, verarbeiten wir diese unter Beachtung der geltenden Datenschutzvorschriften. Detaillierte Informationen finden Sie in unserer Datenschutzerklärung.
Einwilligung in die Verwendung von Daten zu Werbezwecken
Ich bin damit einverstanden, dass die Vogel Communications Group GmbH & Co. KG, Max-Planckstr. 7-9, 97082 Würzburg einschließlich aller mit ihr im Sinne der §§ 15 ff. AktG verbundenen Unternehmen (im weiteren: Vogel Communications Group) meine E-Mail-Adresse für die Zusendung von redaktionellen Newslettern nutzt. Auflistungen der jeweils zugehörigen Unternehmen können hier abgerufen werden.
Der Newsletterinhalt erstreckt sich dabei auf Produkte und Dienstleistungen aller zuvor genannten Unternehmen, darunter beispielsweise Fachzeitschriften und Fachbücher, Veranstaltungen und Messen sowie veranstaltungsbezogene Produkte und Dienstleistungen, Print- und Digital-Mediaangebote und Services wie weitere (redaktionelle) Newsletter, Gewinnspiele, Lead-Kampagnen, Marktforschung im Online- und Offline-Bereich, fachspezifische Webportale und E-Learning-Angebote. Wenn auch meine persönliche Telefonnummer erhoben wurde, darf diese für die Unterbreitung von Angeboten der vorgenannten Produkte und Dienstleistungen der vorgenannten Unternehmen und Marktforschung genutzt werden.
Meine Einwilligung umfasst zudem die Verarbeitung meiner E-Mail-Adresse und Telefonnummer für den Datenabgleich zu Marketingzwecken mit ausgewählten Werbepartnern wie z.B. LinkedIN, Google und Meta. Hierfür darf die Vogel Communications Group die genannten Daten gehasht an Werbepartner übermitteln, die diese Daten dann nutzen, um feststellen zu können, ob ich ebenfalls Mitglied auf den besagten Werbepartnerportalen bin. Die Vogel Communications Group nutzt diese Funktion zu Zwecken des Retargeting (Upselling, Crossselling und Kundenbindung), der Generierung von sog. Lookalike Audiences zur Neukundengewinnung und als Ausschlussgrundlage für laufende Werbekampagnen. Weitere Informationen kann ich dem Abschnitt „Datenabgleich zu Marketingzwecken“ in der Datenschutzerklärung entnehmen.
Falls ich im Internet auf Portalen der Vogel Communications Group einschließlich deren mit ihr im Sinne der §§ 15 ff. AktG verbundenen Unternehmen geschützte Inhalte abrufe, muss ich mich mit weiteren Daten für den Zugang zu diesen Inhalten registrieren. Im Gegenzug für diesen gebührenlosen Zugang zu redaktionellen Inhalten dürfen meine Daten im Sinne dieser Einwilligung für die hier genannten Zwecke verwendet werden. Dies gilt nicht für den Datenabgleich zu Marketingzwecken.
Recht auf Widerruf
Mir ist bewusst, dass ich diese Einwilligung jederzeit für die Zukunft widerrufen kann. Durch meinen Widerruf wird die Rechtmäßigkeit der aufgrund meiner Einwilligung bis zum Widerruf erfolgten Verarbeitung nicht berührt. Um meinen Widerruf zu erklären, kann ich als eine Möglichkeit das unter https://contact.vogel.de abrufbare Kontaktformular nutzen. Sofern ich einzelne von mir abonnierte Newsletter nicht mehr erhalten möchte, kann ich darüber hinaus auch den am Ende eines Newsletters eingebundenen Abmeldelink anklicken. Weitere Informationen zu meinem Widerrufsrecht und dessen Ausübung sowie zu den Folgen meines Widerrufs finde ich in der Datenschutzerklärung, Abschnitt Redaktionelle Newsletter.
Reine Silberschichten weisen unter diesen Bedingungen bereits nach ca. 150 Zyklen eine deutliche Erhöhung der Reibkoeffizienten bis zu 1,2 auf. Die Silber-Palladium-Schicht verhält sich auch nach Wärmebehandlung mit einheitlich niedrigen Reibkoeffizienten sehr stabil [9], ein ähnliches Verhalten zeigen wiederum Hartgoldschichten.
Die Kontaktwiderstandwerte von Silber-Palladium-Überzügen nach 1000 h bei 180°C liegen im Bereich derer von Reinsilberschichten und sind bei 50 cN deutlich unter 5 mOhm.
Eine Degradation der Silber-Palladium-Überzüge nach Temperaturauslagerung konnte sowohl bei der Messung der Kontaktwiderstände als auch beim Reib- und Verschleißverhalten nicht beobachtet werden.
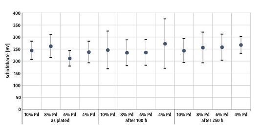
Bild 3: Schichthärte in der Abhängigkeit des Palladiumgehalts im Ausgangszustand und nach Wärmebehandlung bei 200°C.
(Bild: Umicore)
Härte: Die Härte der abgeschiedenen AgPd-Schichten wurde mit einem Nanoindenter (UNAT, Asmec/Zwick) bestimmt. Die Werte wurden im Ausgangszustand (as plated) und nach Wärmeauslagerung bei 200°C bis zu 250 Stunden bestimmt. Zur Absicherung der Ergebnisse wurde der Palladiumgehalt in der Schicht zwischen 4% und 10% variiert. Die Härtewerte liegen im Bereich zwischen 240 und 280 HV und weisen eine Schwankungsbreite von 5 bis 10% auf. Es ist kein Trend nach Temperaturauslagerung zu erkennen, die Ausgangswerte bleiben also unabhängig von dem betrachteten Legierungsbereich erhalten (Bild 3).
Weiterentwicklung bei Steckverbinderkontakten
Technische Steckverbinder finden in der Regel mit den etablierten Kontaktschichten wie Hardgold, vergoldeten Palladium-Nickel-Legierungen sowie auch Silberschichten ihren Einsatz, weisen aber bei neuen Anforderungen Limitierungen auf. So sind Hartgold- und vergoldete Palladium-Nickel-Legierungen zwar sehr zuverlässige Kontaktschichtsysteme, aber auch teure Endoberflächen.
Silber ist im Vergleich zu Gold eine kostengünstige Oberfläche und liefert die beste elektrische Leitfähigkeit. Bei End-of-Life Bedingungen, die hohe Abriebbeständigkeit, Diffusions- und Temperaturstabilität fordern, stößt Silber allerdings schnell an seine Grenzen.
Die Silber-Palladium-Legierung stellte eine attraktive Alternative zur Optimierung von Steckkontakten dar und eröffnet mit den zuvor dargestellten technischen Eigenschaften und den geringeren Edelmetallkosten auch neue Einsatzmöglichkeiten.
Ein mögliches neues Einsatzfeld ist die Elektrifizierung von Fahrzeugen. Hybrid- und vollelektrische Fahrzeuge werden elektrisch betankt. Speziell bei den vollelektrischen Fahrzeugen sind kurze Ladezeiten eine der fundamentalen Grundvoraussetzung für eine gute Marktakzeptanz.
Das im Bild 4 dargestellte Anforderungsprofil, zeigt welche enormen Ladeleistungen zukünftig beim elektrischen Betanken abgerufen werden und welche Kontaktmaterialien bisher zum Einsatz kommen.
Ab der Ladetechnologie: „Super Fast Charging“ und aufwärts sind Kontaktmaterialen hohen energetischen Belastungen ausgesetzt. Tests und Simulationen belegen, dass hier bereits Temperaturen von mindestens 150°C an den Kontakten erreicht werden und je nach Ladeleistung die Hochstromkomponenten Temperaturen von bis zu 200°C ausgesetzt sind.
Solche Hochstrom-Ladestecksysteme haben die Anforderung mindestens 10.000 Steckzyklen zu bestehen. Die bisher eingesetzten Kontaktschichtsysteme mit Nickel-Zwischenschicht und Silberendschicht erreichen hier ihre Grenzen.
Oberhalb einer Temperatur von 160°C zeigt Silber eine ausgeprägte Rekristallisation der Kornstruktur. Zusätzlich kann eine Delaminierung der Silberschicht durch Diffusion von Luftsauerstoff und Ausbildung von z.B. Nickeloxiden beobachtet werden [9].
Untersuchungen solcher Silber-Schichtsysteme zeigten Änderungen des Widerstands- und Abriebverhalten über die Testdauer. Die Folge waren frühzeitige Fehlfunktionen bzw. ein Komplettausfall beim elektrischen Laden. Zukünftig sollen die Hochstromladestecker weit über 10.000 Steckzyklen abbilden können und über Laufzeitreserven verfügen.
Im Vergleich zu einem versilberten Stecker erreichte das Silber-Palladium-System über 30.000 Steckzyklen, zeigte keine Delaminierung und ein stabiles Widerstandsverhalten sowie ausreichende Laufzeitreserven.
Für die Hochstromkomponenten in elektrischen Fahrzeugen gelten höhere Anforderungen: unter End-of-Life Bedingungen werden Steckzyklen, Vibration und Kontaktübergangswiderstand während der Auslagerung bei 180°C über 1000 Stunden betrachtet. Bei Abruf der vollen Systemleistung erreichen Hochstromstecker Temperaturen von bis zu 200°C.
40 Prozent höhere Lebensdauer
Mit Silber-Palladium beschichtete Kontaktsysteme erreichten im Test eine im Vergleich zu Silber bis zu 40% erhöhte Lebensdauer. Dieses Ergebnis konnte auch ohne Nickel-Zwischenschicht erreicht werden.
Im Vergleich zu Palladium stellen Silber-Palladium-Schichten eine kostengünstige Alternative dar. Bei Temperaturen bis zu 200°C zeigen sich gleichbleibende Schichteigenschaften, wie unveränderte Kornstruktur, stabiler Kontaktwiderstand und konstante Härtewerte. Des Weiteren stellt sich Silber-Palladium als eine diffusionsstabile Sperrschicht dar und unterbindet z.B. die Sauerstoffdiffusion.
Die beschriebenen Testergebnisse zeigen eine hervorragende Abriebbeständigkeit und eine deutlich erhöhte Lebensdauer von aufgebauten Stecksystemen.
Zusammenfassend eröffnen sich mit den besonderen Eigenschaften der Silber-Palladium-Legierung neue Optionen in Design und Anwendung für Kontaktsysteme wie sie z.B. bei Hochstromanwendungen der nächsten Generation der Elektromobilität gefordert sind.
[1] F. Nobel: Electroplated Palladium-Silver (60/40 wt%) Alloy as a Contact Material, IEEE Transactions on Components, Hybrids and Manufacturing Technology, V. CHMT-8, No. 1, Seite 163–172, March 1985
[2] N. Harmsen; K. Schiff: The Basic Physical and Contact Properties of Silver-Rich Ag-Pd Alloys with Base Metal Additions, Proceedings of the HOLM Conference on Electrical Contacts, Seite 93–97, 1977
[3] D. Ruehlicke; H. Fruend; G. Baer: Tarnish Layer Formation on AgPd Contact Surfaces, Proceedings of the 10th International Conference on Electrical Contacts, Seite 721–741, 1980
[4] M. Myers; H. Schmidt: Connector Level Performance Evaluation of a New High Speed Reel to Reel Electroplated Silver Palladium Alloy Contact Finish, ICEC 2014, Dresden, Seite 6–101
[5] F. Talgner: Novel Silver-Palladium Electrolyte for Electrical Contacts, ICEC 2014, Dresden, Seite 91–95
[6] M. Myers: Overview of the use of Silver in Connector Applications, TEC 503–1016
[7] M. Myers: The Performance Implications of Silver as a Contact Finish in Traditionally Gold Finished Contact Applications, Tyco Electronics Innovation Conference, 2009
[8] F. Talgner; U. Manz; S. Berger; B. Weyhmüller; A. Pfund: Neuer Silber-Palladium-Elektrolyt für elektrische Kontakte, Jahrbuch Oberflächentechnik 2015, Band 71, Eugen G. Leuze Verlag, Seite 37-42
[9] F.T algner, M. Myers, H. Schmidt: Galvanisch Silber-Palladium als Kontaktoberfläche, Galvanotechnik 5/2017, Eugen G. Leuze Verlag, Seite 910-917
* Dr. Sascha Berger, Robert Ziebart und Friedrich Talgner arbeiten in Entwicklung und Vertrieb bei Umicore Galvanotechnik in Schwäbisch Gmünd.