Viele Sensoren und Aktoren im Internet der Dinge (IoT) müssen zum Beispiel von einer Knopfzelle betrieben werden. Bei den dazu nötigen DC/DC-Wandlern sind die Leckströme der Kondensatoren entscheidend für die Betriebsdauer.
Kondensatoren, wie sie in DC/DC-Wandlern eingesetzt werden: Bei ihrer Auswahl für IoT-Anwendungen sind die Leckströme entscheidend für die Betriebsdauer.
(Bild: KEMET)
Die Verbreitung des IoT hat zu einer steigenden Nachfrage nach Bauelementen wie intelligenten Sensoren und Aktoren geführt, die über einen längeren Zeitraum bis zu mehreren Jahren mit nur einer einzigen kleinen Energiequelle wie einer Knopfzelle betrieben werden. Die Kunst des Ultra-Low-Power-Designs ist extrem anspruchsvoll geworden – vom Energy Harvesting oder dem Batteriemanagement-System bis hin zur Antenne und dem Abschalten untergeordneter Systeme, sofern diese nicht benötigt werden. Dabei muss das Maximum aus jedem Joule Energie herausgeholt werden.
Trotz stromsparender Schaltkreis- und Softwaredesigns können ein Kondensator-Leckstrom und die damit einhergehenden Kapazitätsverluste dazu führen, dass die verfügbaren mAh nicht lange genug gehalten werden können. Meist sind mehrere Kondensatoren erforderlich, um die Leistung eines Energy-Harvesting-Systems oder eines DC/DC-Wandlers zu stabilisieren. Werden sie aufgeladen, verhalten sie sich wie undichte Eimer, die ständig eine geringe Ladungsmenge verlieren und somit kostbare Energie verschwenden.
Bildergalerie
Obwohl Leckströme nur wenige µA betragen, sind sie mit der Menge vergleichbar, die man z.B. aufwändig vom Mikrocontroller durch komplizierte Energiesparmodi abzweigt. Es ist daher sinnvoll, den Leckstrom von Kondensatoren in einer Schaltung zu analysieren und die Auswahl alternativer Bauteile in Betracht zu ziehen, um diesen zu verringern.
Leckströme reduzieren die mögliche Betriesdauer
Bild 1 zeigt ein Speicherkondensator-Netzwerk, das für ein von Texas Instruments veröffentlichtes PIR-Sensor-Referenzdesign empfohlen wird, das fünf Kondensatoren umfasst. Ein wartungsfreier Betrieb von zehn Jahren ist das Ziel für diese Art von Produkten – schlecht ausgewählte Kondensatoren könnten allerdings mehr Strom verbrauchen, als die Knopfzelle für 10 Jahre bereitstellen kann.
Ebenso wird in einem Energy-Harvesting-System eine große Kapazität benötigt, um die Anwendung in Betrieb zu halten. Sie wird entsprechend dem durchschnittlichen Energieverbrauch berechnet. Ein kleiner Teil der durch den Harvesting-Mechanismus gesammelten Energie, z.B. über eine Solarzelle oder ein Peltier-Modul, wird in den Kondensatoren gespeichert und geht mit der Zeit durch diese Entladung verloren.
Auf die Wahl der richtigen Technologie kommt es an
Die Wahl der richtigen Technologie, der Nennspannung und des Kapazitätswerts kann einen großen Einfluss auf den Energieverlust haben, der durch Leckströme verloren geht. Betrachten wir Keramikkondensatoren (MLCCs) etwas näher. Diese werden häufig verwendet, um Netzstörungen zu filtern, um gespeicherte Energie bei Unterbrechungen der Stromzufuhr bereitzustellen oder um sicherzustellen, dass das Herunterfahren von Systemen ordnungsgemäß abläuft. Da der Leckstrom klein ist, hängt der Effekt vom Isolationswiderstand des Kondensators ab: Ein höherer Isolationswiderstand sorgt für einen kleineren Leckstrom.
Ein MLCC besteht aus mehreren parallelen Platten, die durch das keramische Dielektrikum getrennt sind. Dabei ist der höchstmögliche Kapazitätswert in der kleinstmöglichen Gehäusegröße wünschenswert. Kondensatorhersteller haben dünne dielektrische Schichten, feine Partikel und eine präzise Laminierung entwickelt, um die Kapazität innerhalb der Größenbeschränkungen von Standard-SMD-Gehäusen zu erhöhen. Andererseits werden dickere dielektrische Schichten benötigt, um eine höhere Nennspannung zu erreichen: Durch Erhöhen der Nennspannung erhöht sich auch der Isolationswiderstand, was den Leckstrom verringert, obwohl die Kapazität bei gleichbleibender Gehäusegröße ebenfalls geringer ist.
Die Dicke des Dielektrikums, die angelegte Spannung und die Elektronenbeweglichkeit beeinflussen also den Leckstrom. Das elektrische Feld im Kondensator übt eine Kraft F auf die geladenen Teilchen aus (Gleichung 1):
Gleichung 1
(Bild: KEMET)
Diese Kraft treibt den Elektronenfluss innerhalb des Bauteils an, das den Leckstrom darstellt. Bei einer gegebenen angelegten Spannung nimmt also die Kraft F und damit der Leckstrom zu, sobald sich die Dicke des Dielektrikums verringert.
Eine andere Möglichkeit, die Kapazität mit der Gehäusegröße in Beziehung zu setzen, ist die Gleichung 2:
Gleichung 2
(Bild: KEMET)
Soll die gleiche Kapazität bei kleinerer Fläche beibehalten werden (z.B. 0812 auf 0402), verringert sich entweder die dielektrische Dicke oder die Anzahl der Schichten wird erhöht. Am wahrscheinlichsten ist es, eine Kombination aus beiden zu verwenden. Insgesamt lässt sich feststellen, dass das Verkleinern eines Kondensators die Leckströme von Natur aus erhöht.
Stand: 08.12.2025
Es ist für uns eine Selbstverständlichkeit, dass wir verantwortungsvoll mit Ihren personenbezogenen Daten umgehen. Sofern wir personenbezogene Daten von Ihnen erheben, verarbeiten wir diese unter Beachtung der geltenden Datenschutzvorschriften. Detaillierte Informationen finden Sie in unserer Datenschutzerklärung.
Einwilligung in die Verwendung von Daten zu Werbezwecken
Ich bin damit einverstanden, dass die Vogel Communications Group GmbH & Co. KG, Max-Planckstr. 7-9, 97082 Würzburg einschließlich aller mit ihr im Sinne der §§ 15 ff. AktG verbundenen Unternehmen (im weiteren: Vogel Communications Group) meine E-Mail-Adresse für die Zusendung von redaktionellen Newslettern nutzt. Auflistungen der jeweils zugehörigen Unternehmen können hier abgerufen werden.
Der Newsletterinhalt erstreckt sich dabei auf Produkte und Dienstleistungen aller zuvor genannten Unternehmen, darunter beispielsweise Fachzeitschriften und Fachbücher, Veranstaltungen und Messen sowie veranstaltungsbezogene Produkte und Dienstleistungen, Print- und Digital-Mediaangebote und Services wie weitere (redaktionelle) Newsletter, Gewinnspiele, Lead-Kampagnen, Marktforschung im Online- und Offline-Bereich, fachspezifische Webportale und E-Learning-Angebote. Wenn auch meine persönliche Telefonnummer erhoben wurde, darf diese für die Unterbreitung von Angeboten der vorgenannten Produkte und Dienstleistungen der vorgenannten Unternehmen und Marktforschung genutzt werden.
Meine Einwilligung umfasst zudem die Verarbeitung meiner E-Mail-Adresse und Telefonnummer für den Datenabgleich zu Marketingzwecken mit ausgewählten Werbepartnern wie z.B. LinkedIN, Google und Meta. Hierfür darf die Vogel Communications Group die genannten Daten gehasht an Werbepartner übermitteln, die diese Daten dann nutzen, um feststellen zu können, ob ich ebenfalls Mitglied auf den besagten Werbepartnerportalen bin. Die Vogel Communications Group nutzt diese Funktion zu Zwecken des Retargeting (Upselling, Crossselling und Kundenbindung), der Generierung von sog. Lookalike Audiences zur Neukundengewinnung und als Ausschlussgrundlage für laufende Werbekampagnen. Weitere Informationen kann ich dem Abschnitt „Datenabgleich zu Marketingzwecken“ in der Datenschutzerklärung entnehmen.
Falls ich im Internet auf Portalen der Vogel Communications Group einschließlich deren mit ihr im Sinne der §§ 15 ff. AktG verbundenen Unternehmen geschützte Inhalte abrufe, muss ich mich mit weiteren Daten für den Zugang zu diesen Inhalten registrieren. Im Gegenzug für diesen gebührenlosen Zugang zu redaktionellen Inhalten dürfen meine Daten im Sinne dieser Einwilligung für die hier genannten Zwecke verwendet werden. Dies gilt nicht für den Datenabgleich zu Marketingzwecken.
Recht auf Widerruf
Mir ist bewusst, dass ich diese Einwilligung jederzeit für die Zukunft widerrufen kann. Durch meinen Widerruf wird die Rechtmäßigkeit der aufgrund meiner Einwilligung bis zum Widerruf erfolgten Verarbeitung nicht berührt. Um meinen Widerruf zu erklären, kann ich als eine Möglichkeit das unter https://contact.vogel.de abrufbare Kontaktformular nutzen. Sofern ich einzelne von mir abonnierte Newsletter nicht mehr erhalten möchte, kann ich darüber hinaus auch den am Ende eines Newsletters eingebundenen Abmeldelink anklicken. Weitere Informationen zu meinem Widerrufsrecht und dessen Ausübung sowie zu den Folgen meines Widerrufs finde ich in der Datenschutzerklärung, Abschnitt Redaktionelle Newsletter.
Auch die Veränderung der Leckströme über der Temperatur ist zu beachten. Mit der Temperatur steigt die Beweglichkeit geladener Teilchen und damit der Leckstrom. In der Praxis steigt der MLCC-Leckstrom zwischen Raumtemperatur und 45 °C um einen Faktor von mehr als sieben an.
Wie sich der Leckstrom berechnen lässt
Mit der Berechnung des Leckstroms lassen sich die Auswirkungen auf die Akkulaufzeit abschätzen. Zu beachten ist, dass unmittelbar nach dem Anlegen der Spannung der anfänglich im Kondensator fließende Strom den Ladestrom und die dielektrischen Absorptionsströme sowie den Leckstrom umfasst. Nehmen der Ladestrom und die Absorptionsströme ab, konvergiert der fließende Strom zum Leckstrom.
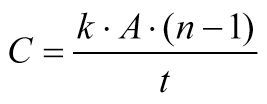
Das Datenblatt für einen Keramikkondensator gibt den garantierten minimalen Isolationswiderstand oder die Isolationswiderstandsgrenze in Ohm-Farad (Ω-F) in Bezug auf die Gehäusegröße und den Kapazitätswert an. Um den Isolationswiderstand für einen bestimmten Kondensator zu berechnen, ermittelt man einfach den angegebenen Ohm-Farad-Wert für das Bauteil und teilt ihn durch den Kapazitätswert. Der Leckstrom bei der Arbeitsspannung lässt sich dann über das Ohmsche Gesetze berechnen (Gleichung 3):
Gleichung 3
(Bild: KEMET)
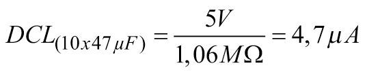
Betrachten wir folgendes Beispiel mit handelsüblichen X7R-MLCCs mit 10 x 47 µF in Stromschienenfiltern bei einer Arbeitsspannung von 5 V. Das Datenblatt garantiert einen Isolationswiderstand von 500 MΩ.µF für dieses Bauteil (Gleichung 4):
Gleichung 4
(Bild: KEMET)
Der DC-Leckstrom ´DCL für die Anordnung aus 10 Kondensatoren lässt sich wie folgt berechnen (Gleichungen 5 und 6):
Gleichung 5
(Bild: KEMET)
Gleichung 6
(Bild: KEMET)
Mit Tantalkondensatoren Strom sparen
Tantalkondensatoren zeichnen sich durch einen hohen volumetrischen Wirkungsgrad, geringes Rauschen und Langzeitstabilität aus und sind daher eine ausgezeichnete Wahl für stromsparende IoT-Einrichtungen, die über eine lange Lebensdauer wartungsfrei betrieben werden müssen.
Bei diesen Kondensatoren ist die Bewertung des DC-Leckstroms etwas einfacher als bei Keramikkondensatoren. Das Datenblatt gibt den DC-Leckstrom direkt als Bruchteil des Kapazitätswerts und der Spannung aus. Für die Standard-MnO2-Kondensatorserie T491 von KEMET gilt (Gleichung 7):
Gleichung 7
(Bild: KEMET)
Daher beträgt bei einer Kapazität von 470 µF mit einer angelegten Spannung von 5 V (vergleichbar mit dem vorherigen Beispiel) der DC-Leckstrom (Gleichung 8):
Gleichung 8
(Bild: KEMET)
Für die T489-Serie von KEMET, die speziell für geringe Leckströme entwickelt wurde, lautet die Gleichung 9:
Gleichung 9
(Bild: KEMET)
Ersetzt man die T491-Kondensatoren durch T489-Varianten mit 470 µF, so lässt sich der Leckstrom erheblich reduzieren.
In Tantalkondensatoren hängt der Leckstrom aufgrund des Zusammenhangs zwischen Nennspannung und Dicke des Dielektrikums stark vom Verhältnis der angelegten Nennspannung zur angegebenen Nennspannung ab. Bild 2 zeigt, wie sich der Leckstrom erheblich verringert, wenn die angelegte Spannung deutlich niedriger ist als die Nennspannung. Ein Kondensator mit einer 10-fach höheren Nennspannung als die angelegte Spannung verringert den DC-Leckstrom um den Faktor 50. Entwickler können dies in Schaltkreisen nutzen, bei denen ein sehr niedriger Leckstrom erforderlich ist – allerdings auf Kosten eines größeren Bauteils.
Zu beachten ist, dass der Leckstrom auch von der Temperatur abhängt. Dies ist bei der Berechnung der Auswirkungen auf das Energiebudget des Systems zu berücksichtigen.
Die DC-Leckströme in Kondensatoren beachten
DC-Leckströme in Kondensatoren sind zu berücksichtigen, wenn äußerst stromsparende Systeme oder Geräte entwickelt werden, die über einen längeren Zeitraum betrieben werden müssen, ohne die Batterie aufzuladen oder auszutauschen. Beispiele hierfür sind PIR-Sensoren oder Energy-Harvesting-Systeme, die eine große Kapazität benötigen, um eine stabile Energieversorgung des Systems zu gewährleisten.
Es lohnt sich, die Auswirkungen von Leckströmen auf das Energiebudget des Gesamtsystems zu berechnen, um erforderliche Gegenmaßnahmen zu treffen. Keramikkondensatoren mit hohen Kapazitätswerten neigen zu höheren DC-Leckströmen. Auf der anderen Seite profitieren Kondensatoren mit höherer Spannung von geringeren Leckströmen – bieten jedoch eine geringere Kapazität in Bezug auf die Gehäusegröße. Leckströme lassen sich verringern, indem Kondensatoren aus einer speziellen Baureihe mit geringem Leckstrom, z.B. der Tantalserie T489 von KEMET, gewählt werden.