Um das Frequenzverhalten einer analogen Schaltung zu verstehen, ist es sinnvoll, diese auf Sinussignale zurückzuführen. Am Beispiel eines RC-Gliedes ist es sinnvoll, deren Verhalten bei Sinussignalen zu verstehen.
Sinussignal: Wenn man analoge elektronische Schaltungen analysiert, möchte man wissen, wie sie Sinussignale verschiedener Frequenzen übertragen. Das ist besonders wichtig, wenn man das Verhalten der Schaltung auch für beliebige andere Signalformen kennen möchte.
Bei der Analyse analoger elektronischer Schaltungen ist es oft interessant zu wissen, wie sie Sinussignale verschiedener Frequenzen übertragen. Damit kann auch das Verhalten der Schaltung bei beliebigen anderen Signalformen, die in ihrem Spektrum immer auf Sinussignale zurückgeführt werden können, besser verstanden werden. Der vorliegende Artikel vermittelt ein Grundverständnis über das Frequenzverhalten.
Verstärkung und Phasenverschiebung
Bild 1: Das Frequenzverhalten einer Schaltung.
(Bild: Prof. Böttcher)
Bei der Betrachtung analoger elektronischer Schaltungen ist neben dem reinen Zeitverhalten manchmal auch das so genannte Frequenzverhalten von Interesse. Während man unter ersterem versteht, welches Ausgangssignal das System beim Anlegen bestimmter Eingangssignale erzeugt, geht letzteres von einem Sinussignal am Eingang aus. Das Sinussignal durchläuft gemäß Bild 1 die Schaltung und wird dabei hinsichtlich seiner Amplitude einschließlich seiner physikalischen Einheit verändert, was wir mit dem hier verallgemeinert zu verstehenden Begriff Verstärkung beschreiben.
Außerdem wird es beim Durchlaufen immer verzögert, wir sprechen von einer Phasenverschiebung. Charakteristisch für sogenannte lineare Systeme ist, dass ein Sinussignal am Eingang eben auch zu einem Sinussignal gleicher Frequenz am Ausgang führt, also nicht zu einem periodischen Signal anderer Kurvenform oder gar zu einem nicht mehr periodischen Signal. Viele analoge Schaltungen können in guter Näherung als lineare Systeme betrachtet werden.
Stark nichtlineare Systeme werden meist im Bereich sogenannter Arbeitspunkte betrieben, so dass sie dann näherungsweise ebenfalls als linear angesehen werden können. Untersucht man, wie sich Verstärkung und Phasenverschiebung in Abhängigkeit von der Frequenz des Sinussignals entwickeln, erhält man einige wertvolle Zusatzinformationen über ein System. Zum Beispiel können kritische Resonanzfrequenzen gefunden werden, bei denen das System plötzlich unerwartet große Amplituden am Ausgang erzeugt.
Wie sich das Frequenzverhalten bestimmen lässt
Bild 1: Das Frequenzverhalten einer Schaltung.
(Bild: Prof. Böttcher)
Das Frequenzverhalten nach Bild 1 kann im Experiment konkret ermittelt werden. Zu einem bestimmten Zeitpunkt (hier angenommen t = 0, mathematisch dargestellt durch die Sprungfunktion σ(t)) wird ein Sinussignal an das System angelegt, das in der Praxis beispielsweise durch einen Signalgenerator erzeugt wird.
Am Ausgang kann das resultierende Ausgangssinussignal mit einem Oszilloskop aufgezeichnet werden. Es ist sehr wichtig, das anfängliche Einschwingen als Ergebnis des spontanen Einschaltens des Eingangssignals abzuwarten. Aus dem Vergleich von Eingangs- und Ausgangssignal kann dann auf die Verstärkung k und die Phasenverschiebung φ geschlossen werden.
Beide sind in der Regel frequenzabhängig, so dass zur Aufnahme eines vollständigen Frequenzganges – so wird das Messergebnis in seiner Gesamtheit genannt – dieser Versuch bei mehreren Frequenzen durchgeführt werden muss. Die gewählten Frequenzen müssen den gesamten Frequenzbereich von niedrigen bis zu hohen Frequenzen abdecken. Was für ein bestimmtes System klein und groß ist, hängt von dessen internen Zeitkonstanten ab. In der Praxis wird man nicht mühsam von Hand verschiedene Frequenzen messen, sondern beispielsweise auf höherwertige Oszilloskope mit eingebauten Signalgeneratoren zurückgreifen, die bei entsprechender Ausstattung eine solche Messung automatisch durchführen können.
Das Bode-Diagramm und dessen Interpretation
Bild 2: Das RC-Glied.
(Bild: Prof. Böttcher)
Das Auftragen von k und φ über der Frequenz f in zwei separaten Diagrammen nennt man Bode-Diagramm, benannt nach dem 1905 geborenen amerikanischen Elektrotechnik-Ingenieur und Forscher Hendrik Wade Bode.
Am Beispiel des in Bild 2 gezeigten RC-Glieds soll das näher erläutert werden. R und C sollen hierbei so dimensioniert sein, dass sie eine Zeitkonstante RC von 2 ms ergeben. Das zugehörige Bode-Diagramm zeigt Bild 3, wobei die linke Bildhälfte das Bode-Diagramm mit linearer Skalierung und die rechte mit der oftmals bevorzugten logarithmischen Darstellung beinhaltet.
Die oberen Teilbilder nennen sich auch Amplitudengang, obwohl nicht die Amplitude des Ausgangssignals als solche, sondern die Verstärkung k aufgetragen wird. Die unteren Teilbilder heißen Phasengang, beide zusammen bilden den bereits angesprochenen, kompletten Frequenzgang oder das Bode-Diagramm.
Stand: 08.12.2025
Es ist für uns eine Selbstverständlichkeit, dass wir verantwortungsvoll mit Ihren personenbezogenen Daten umgehen. Sofern wir personenbezogene Daten von Ihnen erheben, verarbeiten wir diese unter Beachtung der geltenden Datenschutzvorschriften. Detaillierte Informationen finden Sie in unserer Datenschutzerklärung.
Einwilligung in die Verwendung von Daten zu Werbezwecken
Ich bin damit einverstanden, dass die Vogel Communications Group GmbH & Co. KG, Max-Planckstr. 7-9, 97082 Würzburg einschließlich aller mit ihr im Sinne der §§ 15 ff. AktG verbundenen Unternehmen (im weiteren: Vogel Communications Group) meine E-Mail-Adresse für die Zusendung von redaktionellen Newslettern nutzt. Auflistungen der jeweils zugehörigen Unternehmen können hier abgerufen werden.
Der Newsletterinhalt erstreckt sich dabei auf Produkte und Dienstleistungen aller zuvor genannten Unternehmen, darunter beispielsweise Fachzeitschriften und Fachbücher, Veranstaltungen und Messen sowie veranstaltungsbezogene Produkte und Dienstleistungen, Print- und Digital-Mediaangebote und Services wie weitere (redaktionelle) Newsletter, Gewinnspiele, Lead-Kampagnen, Marktforschung im Online- und Offline-Bereich, fachspezifische Webportale und E-Learning-Angebote. Wenn auch meine persönliche Telefonnummer erhoben wurde, darf diese für die Unterbreitung von Angeboten der vorgenannten Produkte und Dienstleistungen der vorgenannten Unternehmen und Marktforschung genutzt werden.
Meine Einwilligung umfasst zudem die Verarbeitung meiner E-Mail-Adresse und Telefonnummer für den Datenabgleich zu Marketingzwecken mit ausgewählten Werbepartnern wie z.B. LinkedIN, Google und Meta. Hierfür darf die Vogel Communications Group die genannten Daten gehasht an Werbepartner übermitteln, die diese Daten dann nutzen, um feststellen zu können, ob ich ebenfalls Mitglied auf den besagten Werbepartnerportalen bin. Die Vogel Communications Group nutzt diese Funktion zu Zwecken des Retargeting (Upselling, Crossselling und Kundenbindung), der Generierung von sog. Lookalike Audiences zur Neukundengewinnung und als Ausschlussgrundlage für laufende Werbekampagnen. Weitere Informationen kann ich dem Abschnitt „Datenabgleich zu Marketingzwecken“ in der Datenschutzerklärung entnehmen.
Falls ich im Internet auf Portalen der Vogel Communications Group einschließlich deren mit ihr im Sinne der §§ 15 ff. AktG verbundenen Unternehmen geschützte Inhalte abrufe, muss ich mich mit weiteren Daten für den Zugang zu diesen Inhalten registrieren. Im Gegenzug für diesen gebührenlosen Zugang zu redaktionellen Inhalten dürfen meine Daten im Sinne dieser Einwilligung für die hier genannten Zwecke verwendet werden. Dies gilt nicht für den Datenabgleich zu Marketingzwecken.
Recht auf Widerruf
Mir ist bewusst, dass ich diese Einwilligung jederzeit für die Zukunft widerrufen kann. Durch meinen Widerruf wird die Rechtmäßigkeit der aufgrund meiner Einwilligung bis zum Widerruf erfolgten Verarbeitung nicht berührt. Um meinen Widerruf zu erklären, kann ich als eine Möglichkeit das unter https://contact.vogel.de abrufbare Kontaktformular nutzen. Sofern ich einzelne von mir abonnierte Newsletter nicht mehr erhalten möchte, kann ich darüber hinaus auch den am Ende eines Newsletters eingebundenen Abmeldelink anklicken. Weitere Informationen zu meinem Widerrufsrecht und dessen Ausübung sowie zu den Folgen meines Widerrufs finde ich in der Datenschutzerklärung, Abschnitt Redaktionelle Newsletter.
Frequenzverhalten eines RC-Gliedes
Dieses Frequenzverhalten eines RC-Gliedes ist schaltungstechnisch leicht nachvollziehbar. Bei sehr kleinen Frequenzen kann sich die Kapazität C problemlos auf den jeweiligen Momentanwert des sinusförmigen Eingangssignals aufladen. Die an ihr abfallende Ausgangsspannung ist in Amplitude und Phasenlage praktisch identisch mit dem Eingangssignal.
Mit steigender Frequenz gelingt das immer schlechter. Die Amplitude des Ausgangssignals und damit die Verstärkung nimmt ab, es kommt zu einem zunehmenden Nachhinken der Ausgangsspannung, also zu einer Phasenverschiebung. Bei sehr hohen Frequenzen schließlich wirkt die Kapazität wie ein Kurzschluss, die Ausgangsspannung geht gegen 0, verliert aber ihre kapazitive Wirkung nicht, die sich in einer asymptotisch gegen -90° gehenden Phasenverschiebung äußert.
Das Nyquist-Diagramm als eine alternative Darstellung
Bild 4: Ein Nyquist-Diagramm des RC-Glieds.
(Bild: Prof. Böttcher)
Nach dem 1889 in Schweden geborenen und später in die USA ausgewanderten Elektroingenieur ist eine alternative Darstellung des Frequenzgangs benannt, die den Amplitudengang und die Phasenverschiebung in einem Diagramm zusammenfasst.
Bild 4 zeigt diese alternative Darstellungsform, ebenfalls für das oben erwähnte RC-Glied. Beim Nyquist-Diagramm, im deutschsprachigen Raum auch Ortskurve genannt, wird in einem Koordinatensystem für jeden Frequenzpunkt ein sogenannter Ortskurvenpunkt eingetragen. Dieser wird bestimmt, indem man mit dem Koordinatenursprung (0, 0) als Mittelpunkt einen Winkel entsprechend der Phasenverschiebung φ von der positiven x-Achse nach unten aufträgt und auf der so entstandenen Hilfslinie einen der Verstärkung k entsprechenden Betrag abmisst.
Bild 3: Das Bode-Diagramm des RC-Glieds.
(Bild: Prof. Böttcher)
Im mathematischen Sinne sind dabei x- und y-Achse im gleichen Maßstab zu skalieren, auch wenn in der grafischen Darstellung mit entsprechenden Werkzeugen das dann oft wieder umskaliert wird (Bild 4). Die Gesamtheit aller Ortskurvenpunkte – im theoretischen Idealfall unendlich viele, in der Praxis eine begrenzte Anzahl mit oft dazwischen liegenden Interpolationslinien – ergibt dann das endgültige Diagramm. Die Beschriftung der beiden Achsen mit Realteil und Imaginärteil hängt mit der mathematischen Interpretation als komplexe Frequenzgangfunktion F(jω) zusammen.
Ein Vergleich von Bild 4 mit dem zugrundeliegenden Amplituden- und Phasengang aus Bild 3 zeigt, dass es sich um ein und dasselbe System handeln muss. Insbesondere sind die beiden Grenzfälle gut zu erkennen: Für gegen Null gehende Frequenzen hat der Ortskurvenpunkt die Koordinaten (1, 0), während er für gegen Unendlich gehende Frequenzen in den Ursprung (0, 0) fällt.
Grafisch ist gut zu erkennen, dass sich die durch den Phasenwinkel bestimmte Hilfslinie mit steigender Frequenz immer mehr der Senkrechten annähert, während gleichzeitig der auf ihr zu messende Betrag immer kleiner wird. Man kann mathematisch zeigen, dass das Nyquist-Diagramm des RC-Gliedes einen idealen Halbkreis bilden würde, wenn die Skalierung der Achsen gleich wäre.
Eine mathematische Herleitung
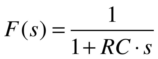
Neben dem Experiment kann das Frequenzverhalten auch mit entsprechenden Tools für eine Schaltungssimulation oder rein rechnerisch ermittelt werden. Die Vorgehensweise für letzteres soll am Beispiel des RC-Gliedes kurz dargestellt werden. Für ein tieferes Verständnis des Berechnungsweges sind jedoch weitere Grundlagen der Berechnung mit der sogenannten Laplace-Transformation notwendig. Ausgangspunkt ist die sogenannte Systemübertragungsfunktion der Schaltung aus Bild 2, die sich aus der Differentialgleichung (Formel 1)
wie folgt ergibt (Formel 2):
Dabei ist s die bei der Laplace-Rechnung verwendete komplexe Frequenz. Die bereits oben aufgeführte komplexe Frequenzgangfunktion erhält man, indem man s durch jω ersetzt. Das lässt sich alternativ mit der reinen Wechselstromrechnung gemäß Fourier erreichen. Um auf die für die weitere Rechnung benötigten Real- oder Imaginärteile zu kommen, haben wir die neue Formel 3 auch gleich um den konjugiert komplexen Nenner erweitert:
Daraus ergibt sich Formel 4:
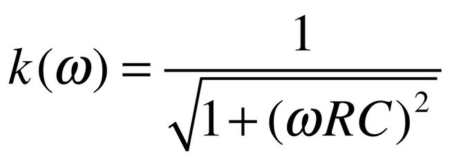
Der erste Summand stellt den Realteil dar, der zweite nach dem j den Imaginärteil. k(ω) ist gemäß Bild 4 einfach der Betrag dieser komplexen Zahl, also Formel 5:
Das ergibt Formel 6:
Für sehr kleine Frequenzen geht dieser Ausdruck gegen 1, für Frequenzen gegen Unendlich gegen 0. Interessant ist die spezielle Kreisfrequenz 1/(RC) = 500 s-1, bei der die Verstärkung k genau den Kehrwert der Wurzel aus 2 annimmt, also etwa 0,71. In Bild 3 wurde lediglich anstelle der Kreisfrequenz ω die reale Frequenz f verwendet. Der oben erwähnte markante Frequenzpunkt läge dann bei ungefähr 79,6 Hz. Für den Phasenwinkel gilt gemäß Bild 4 die Formel 7:
n=0,1,2
und damit kommt man zur Formel 8:
Für sehr kleine Frequenzen wird dieser Ausdruck 0, für gegen unendlich gehende Frequenzen ergibt sich -90° als Asymptote. Für die spezielle Kreisfrequenz 1/(RC) ergibt sich -45°. (heh)
Referenzen
Jörg Böttcher: Kompendium Messdatenerfassung und -auswertung. ISBN 978-3-7386-2255-3 (Paperback) oder ISBN 978-3-7392-7714-1 (E-Book), Verlag: Books on Demand (www.bod.de).
Jörg Böttcher: Kompendium Messtechnik und Sensorik (2. Auflage). ISBN 9783751932967 (Paperback) oder ISBN 9783752632491 (E-Book), Verlag: Books on Demand (www.bod.de).