Elementare Übertragungsglieder technischer Prozesse müssen von Ingenieuren messtechnisch erfasst und verarbeitet werden. Dank Linearisierung lassen sich komplexe Systeme auf wenige Grundtypen zurückführen.
Komplexe physikalische Systeme lassen sich durch Linearisierung auf wenige Grundtypen zurückführen.
Technische Vorgänge, seien sie elektrischer, mechanischer, hydraulischer, pneumatischer oder thermischer Art, lassen sich in Form von Signalflussplänen auf eine Verschaltung elementarer Übertragungsglieder zurückführen. Solche elementaren Übertragungsglieder lassen sich in ihrem zeitlichen Verhalten meist, erforderlichenfalls nach Linearisierung, auf wenige Grundtypen zurückführen. Wie deren Übertragungsverhalten messtechnisch zu erfassen und zu interpretieren ist, soll in diesem Beitrag exemplarisch dargestellt werden. Dazu werden zunächst zwei sehr häufig vorkommende Grundtypen vorgestellt, um sie anschließend hinsichtlich ihres Übertragungsverhaltens zu analysieren.
Ein Übertragungsglied erster und zweiter Ordnung
Bild 1: Zwei verschiedene Beispiele für ein PT1-System.
(Bild: Prof. Böttcher)
Ein erstes, sehr einfaches Beispiel für einen Grundtyp, den so genannten RC-Tiefpass, ist in Bild 1 links dargestellt. Eine mathematische Analyse des Zusammenhangs zwischen Eingangs- und Ausgangsspannung ergibt die im Bild dargestellte Differentialgleichung. Alle linearen Systeme lassen sich letztlich durch solche sogenannten linearen Differentialgleichungen beschreiben.
Bild 2: Zwei unterschiedliche Beispiele für ein PT2-System.
(Bild: Prof. Böttcher)
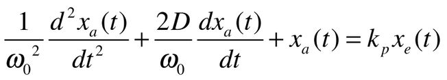
Der Grad der höchsten Ableitung (hier 1) gibt dabei die sogenannte Ordnung der Differentialgleichung an. In Bild 2 rechts ist ein mechanisches System dargestellt. Eine Masse m wird in einer Dimension über einen Dämpfer mit dem Dämpfungskoeffizienten d beschleunigt. Eingangsgröße sei die Positionsänderung xe, die durch eine Krafteinwirkung f hervorgerufen wird, die aber im Ergebnis nicht weiter interessieren soll. Ausgangsgröße sei die dabei beobachtete Lageänderung xa der Masse selbst. Die zugehörige Differentialgleichung hat die gleiche Struktur wie die des RC-Tiefpasses.
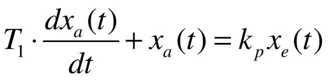
Allgemein gilt für derartige Übertragungsglieder (PT1-System, Formel 1):
T1 ist eine Zeitkonstante und kP nennt sich Verstärkungsfaktor, beide mit ganz anschaulicher Bedeutung, wenn wir unten die Ausgangssignale bei typischen Eingangssignalen analysieren.
In Bild 2 links ist der RC-Tiefpass aus Bild 1 nun um eine Spule zu einem Serienschwingkreis erweitert. Die zugehörige Differentialgleichung ist 2. Eine analoge Struktur der Differentialgleichung ergibt sich für das in Bild 2 rechts gezeigte hydraulische System, das aus einem Rohr und einem anschließenden hydraulischen Speicher besteht. Für das Rohr sind zwei physikalische Grundeffekte zu berücksichtigen: Die Rohrreibung in Form des hydraulischen Widerstandes Rh und die Massenträgheit der im Rohr befindlichen Flüssigkeit in Form der hydraulischen Induktivität Lh. Der hydraulische Speicher kann durch eine hydraulische Kapazität Ch beschrieben werden. Eingangs- und Ausgangsdruck pe und pa beziehen sich auf den gleichen Bezugspunkt, hier den Umgebungsluftdruck. Sie bilden zusammen mit den nicht eingezeichneten Druckverlusten in der Rohrleitung und im Hydrospeicher ein Netz.
Für solche Systeme (PT2-System) gilt in allgemeiner Schreibweise (Formel 2):
ω0 nennt sich Kreisfrequenz der ungedämpften Schwingung, D ist die Dämpfung oder auch Dämpfungsgrad. kP ist die Verstärkung. Die Bedeutung dieser Parameter wird unten veranschaulicht.
Die Sprungantwort – ein spontaner Sprung auf einen Wert
Bild 3: Sprungantwort eines PT1-Systems mit den Werten xe,0 = 1, kp = 2, T1 = 1 ms).
(Bild: Prof. Böttcher)
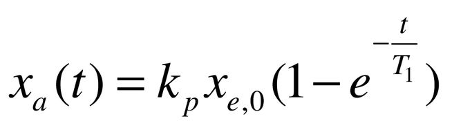
Als Sprungantwort bezeichnet man das Ausgangssignal eines Systems, wenn am Eingang ein spontaner Sprung auf einen Wert von (hier wieder allgemein geschrieben) xe,0 (1 V beim RC-Tiefpass) gegeben wird. Die Sprungantwort zeigt, wie schnell und in welcher Form ein solches System auf extrem schnelle Änderungen des Eingangssignals reagiert und auf welchen Endwert es sich einpendelt (wenn überhaupt). Die Sprungantwort kann mathematisch hergeleitet oder experimentell bestimmt werden. Es kann gezeigt werden, dass die Sprungantwort für ein System nach Formel 1 wie folgt aussieht (Formel 3):
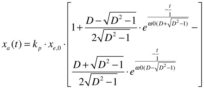
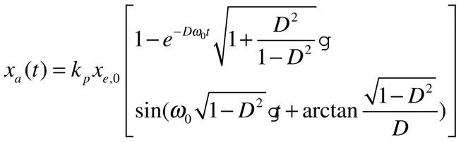
Für xe,0 = 1, kP = 2 und T1 = 1 ms ist ihr Verlauf in Bild 3 dargestellt. Charakteristisch für den hier vorliegenden exponentiellen Verlauf ist, dass nach Ablauf der Zeitkonstanten T1 ungefähr 63 Prozent des Endwertes erreicht sind. Nach zwei/drei/fünf Zeitkonstanten sind es ungefähr 86/95/99 Prozent. Die Bedeutung des Verstärkungsfaktors KP wird dadurch deutlich, dass der Endwert des Ausgangssignals dem um diesen Verstärkungsfaktor verstärkten Eingangssprungwert entspricht. Berechnet man die Sprungantwort für das PT2-System, so gelangt man an eine Stelle, an der eine Fallunterscheidung bezüglich der Dämpfung D eingeführt werden muss. Im Ergebnis erhält man 0 ≤ D ˂ 1 (Formel 4):
Stand: 08.12.2025
Es ist für uns eine Selbstverständlichkeit, dass wir verantwortungsvoll mit Ihren personenbezogenen Daten umgehen. Sofern wir personenbezogene Daten von Ihnen erheben, verarbeiten wir diese unter Beachtung der geltenden Datenschutzvorschriften. Detaillierte Informationen finden Sie in unserer Datenschutzerklärung.
Einwilligung in die Verwendung von Daten zu Werbezwecken
Ich bin damit einverstanden, dass die Vogel Communications Group GmbH & Co. KG, Max-Planckstr. 7-9, 97082 Würzburg einschließlich aller mit ihr im Sinne der §§ 15 ff. AktG verbundenen Unternehmen (im weiteren: Vogel Communications Group) meine E-Mail-Adresse für die Zusendung von redaktionellen Newslettern nutzt. Auflistungen der jeweils zugehörigen Unternehmen können hier abgerufen werden.
Der Newsletterinhalt erstreckt sich dabei auf Produkte und Dienstleistungen aller zuvor genannten Unternehmen, darunter beispielsweise Fachzeitschriften und Fachbücher, Veranstaltungen und Messen sowie veranstaltungsbezogene Produkte und Dienstleistungen, Print- und Digital-Mediaangebote und Services wie weitere (redaktionelle) Newsletter, Gewinnspiele, Lead-Kampagnen, Marktforschung im Online- und Offline-Bereich, fachspezifische Webportale und E-Learning-Angebote. Wenn auch meine persönliche Telefonnummer erhoben wurde, darf diese für die Unterbreitung von Angeboten der vorgenannten Produkte und Dienstleistungen der vorgenannten Unternehmen und Marktforschung genutzt werden.
Meine Einwilligung umfasst zudem die Verarbeitung meiner E-Mail-Adresse und Telefonnummer für den Datenabgleich zu Marketingzwecken mit ausgewählten Werbepartnern wie z.B. LinkedIN, Google und Meta. Hierfür darf die Vogel Communications Group die genannten Daten gehasht an Werbepartner übermitteln, die diese Daten dann nutzen, um feststellen zu können, ob ich ebenfalls Mitglied auf den besagten Werbepartnerportalen bin. Die Vogel Communications Group nutzt diese Funktion zu Zwecken des Retargeting (Upselling, Crossselling und Kundenbindung), der Generierung von sog. Lookalike Audiences zur Neukundengewinnung und als Ausschlussgrundlage für laufende Werbekampagnen. Weitere Informationen kann ich dem Abschnitt „Datenabgleich zu Marketingzwecken“ in der Datenschutzerklärung entnehmen.
Falls ich im Internet auf Portalen der Vogel Communications Group einschließlich deren mit ihr im Sinne der §§ 15 ff. AktG verbundenen Unternehmen geschützte Inhalte abrufe, muss ich mich mit weiteren Daten für den Zugang zu diesen Inhalten registrieren. Im Gegenzug für diesen gebührenlosen Zugang zu redaktionellen Inhalten dürfen meine Daten im Sinne dieser Einwilligung für die hier genannten Zwecke verwendet werden. Dies gilt nicht für den Datenabgleich zu Marketingzwecken.
Recht auf Widerruf
Mir ist bewusst, dass ich diese Einwilligung jederzeit für die Zukunft widerrufen kann. Durch meinen Widerruf wird die Rechtmäßigkeit der aufgrund meiner Einwilligung bis zum Widerruf erfolgten Verarbeitung nicht berührt. Um meinen Widerruf zu erklären, kann ich als eine Möglichkeit das unter https://contact.vogel.de abrufbare Kontaktformular nutzen. Sofern ich einzelne von mir abonnierte Newsletter nicht mehr erhalten möchte, kann ich darüber hinaus auch den am Ende eines Newsletters eingebundenen Abmeldelink anklicken. Weitere Informationen zu meinem Widerrufsrecht und dessen Ausübung sowie zu den Folgen meines Widerrufs finde ich in der Datenschutzerklärung, Abschnitt Redaktionelle Newsletter.
Im Fall von D = 1 (der sogenannte aperiodische Grenzfall) kommt die Formel 5 zum Einsatz:
Ist die Dämpfung D größer als 1, dann kommt die Formel 6 zum tragen:
Das Bild 4 zeigt Sprungantworten eines solchen PT2-Systems für verschiedene D und mit xe,0 = 1, kP = 2, ω0 = 1000 s-1, D = 0,2. Für D kleiner 1 zeigt sich ein sinusförmiges Überschwingen auf den Endwert, der wie beim PT1-Glied durch das Produkt aus xe,0 kP gegeben ist. Kleinere D führen zu größeren Überschwingweiten.
Für D größer 1 ergibt sich ein gedämpftes Einschwingen mit Umkehrpunkt. Für D = 0 ergibt sich eine ungedämpfte Sinusschwingung mit genau der Kreisfrequenz ω0, woher sie auch ihren oben angegebenen vollen Namen hat. Reale PT2-Systeme mit einem solchen D (ein Serienschwingkreis ohne ohmschen Widerstand und mit idealen Induktivitäts- oder Kapazitätselementen ohne jegliche Verluste) können nicht aufgebaut werden.
Das Frequenzverhalten und ein geeignetes Messsystem
Bild 5: Wie die Sinusantwort eines Systems ermittelt wird.
(Bild: Prof. Böttcher)
Bild 5 zeigt, wie man sich das Frequenzverhalten im Experiment konkret vorzustellen hat. Zu einem bestimmten Zeitpunkt (hier angenommen t = 0) wird ein Sinussignal an das System angelegt, das in der Praxis durch einen geeigneten Aktor erzeugt wird. Am Ausgang wird das resultierende Ausgangssinussignal mit geeigneten Messsystemen erfasst. Es ist sehr wichtig, das anfängliche Einschwingen als Ergebnis des spontanen Einschaltens des Eingangssignals abzuwarten. Aus dem Vergleich von Eingangs- und Ausgangssignal kann dann auf die Verstärkung k und die Phasenverschiebung φ geschlossen werden. Beide sind in der Regel frequenzabhängig, so dass zur Aufnahme eines vollständigen Frequenzganges – so nennt man das Messergebnis in seiner Gesamtheit – dieser Versuch bei mehreren Frequenzen durchgeführt werden muss.
Die gewählten Frequenzen müssen den gesamten Frequenzbereich von niedrigen bis zu hohen Frequenzen abdecken. Was für ein bestimmtes System klein und groß ist, hängt von seinen internen Zeitkonstanten ab. So arbeiten elektrische Systeme in der Regel wesentlich schneller als thermische Systeme, so dass für erstere eine Frequenz von beispielsweise 100 kHz nichts Ungewöhnliches sein kann, während dies für letztere eher unwahrscheinlich ist. Die Darstellung von k und φ über der Kreisfrequenz ω oder – was für die praktische Beurteilung meist sinnvoller ist – über der Frequenz f in zwei getrennten Diagrammen nennt man Bode-Diagramm, benannt nach dem 1905 geborenen amerikanischen Elektroingenieur und Forscher Hendrik Wade Bode.
Für das PT1-System ergibt sich ein Bode-Diagramm
Bild 6: Das entsprechende Bode-Diagramm zu einem PT1-System.
(Bild: Prof. Böttcher)
Bild 7: Das Bode-Diagramm zu einem PT2-System.
(Bild: Prof. Böttcher)
Für das vorgenannte PT1-System ergibt sich das in Bild 6 dargestellte Bode-Diagramm. Die dabei übliche logarithmische Darstellung zeigt, dass der Kurvenverlauf sehr gut durch zwei Geraden, eine waagerecht und eine mit einer Steigung von 1:1, angenähert werden kann. Die wahre Frequenz entsprechend der obigen markanten Kreisfrequenz liegt übrigens bei etwa 159 Hz.
Bild 7 zeigt schließlich das Frequenzverhalten des obigen PT2-Systems mit den dort bereits genannten Parametern und einem D von 0,2. Ist D kleiner als der Kehrwert der Wurzel aus 2 (etwa 0,71), so treten immer Resonanzeffekte auf. Die Verstärkung ist dann bis zu einer bestimmten Frequenz betragsmäßig größer als kP mit einem Maximum bei einer bestimmten Resonanzfrequenz.
Jörg Böttcher: Kompendium Messdatenerfassung und -auswertung. ISBN 978-3-7386-2255-3 (Paperback) oder ISBN 978-3-7392-7714-1 (E-Book), Verlag: Books on Demand (www.bod.de).
Jörg Böttcher: Kompendium Messtechnik und Sensorik (2. Auflage). ISBN 9783751932967 (Paperback) oder ISBN 9783752632491 (E-Book), Verlag: Books on Demand (www.bod.de).
* Prof. Dr. Jörg Böttcher hat eine Professur für Regelungstechnik und Elektrische Messtechnik an der Universität der Bundeswehr München inne.