Passive Bauelemente

Tausch von Ladespulen für die drahtlose Energieübertragung

< zurück

Seite: 5/9

Anbieter zum Thema

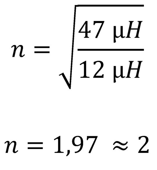
Bedingung 2

Tx: 760308104113 (12 µH, 60 mΩ, Q-120, 7 A)

Rx: 760308101303 (47 µH, 460 mΩ, Q-25, 1,4 A)

Bildergalerie
Bildergalerie mit 9 Bildern

(Bild:  WE)
(Bild: WE)

Messergebnisse:

*VCC = 5 V

*IINPUT = 0,224 A

*VIN = 11,85 V

*IIN = 0,072 A

VOUTPUT = 8,23 V

IOUTPUT = 0,05 A

PMAX_BAT = 1,12W

Wirkungsgrad (ᶯ) = (VIN_LR) * IIN)/(V_cc * IINPUT) = 76,2%

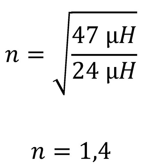
Bedingung 3

Tx: 760308110 (24 µH, 7 mΩ, Q-180, 6 A)

Rx: 760308101303 (47 µH, 460 mΩ, Q-25, 1,4 A)

(Bild:  WE)
(Bild: WE)

Messergebnisse:

*VCC = 5V

*IINPUT = 0,1 A

*VIN = 11,65 V

*IIN = 0,025 A

VOUTPUT = 8,23 V

IOUTPUT = 0,013 A

PMAX_IN = 0,5 W

Wirkungsgrad (ᶯ) = (VIN_LR) * IIN)/(Vcc * IINPUT) = 58,3 %

Bedingung 4

Tx: WT-505060-8K2-LT (5,0 µH, 30,3 mΩ, Q-80, X A)

Rx: 760308101303 (47 µH, 460 mΩ, Q-25, 1,4 A)

(Bild:  WE)
(Bild: WE)

Messergebnisse:

*VCC = 5 V

*IINPUT = 1,159 A

*VIN = 13,16 V

*IIN = 0,314 A

VOUTPUT = 8,21 V

IOUTPUT = 0,275 A

PMAX_BAT = 5,795 W

Wirkungsgrad (ᶯ) = (VIN_LR) * IIN)/(Vcc * IINPUT) = 71,3%

Hinweis:

*VIN = Spannung am Prüfpunkt VIN des DC1967A

*IIN = von der Empfängerspule abgegebener Strom

*VCC = Eingangsspannung an der Senderbaugruppe DC1968A

*IINPUT = von der Spannungsquelle VCC abgegebener Strom

Artikelfiles und Artikellinks

(ID:43270464)

Jetzt Newsletter abonnieren

Verpassen Sie nicht unsere besten Inhalte

Mit Klick auf „Newsletter abonnieren“ erkläre ich mich mit der Verarbeitung und Nutzung meiner Daten gemäß Einwilligungserklärung (bitte aufklappen für Details) einverstanden und akzeptiere die Nutzungsbedingungen. Weitere Informationen finde ich in unserer Datenschutzerklärung. Die Einwilligungserklärung bezieht sich u. a. auf die Zusendung von redaktionellen Newslettern per E-Mail und auf den Datenabgleich zu Marketingzwecken mit ausgewählten Werbepartnern (z. B. LinkedIn, Google, Meta).

Aufklappen für Details zu Ihrer Einwilligung