Passive Bauelemente

Tausch von Ladespulen für die drahtlose Energieübertragung

< zurück

Seite: 3/9

Anbieter zum Thema

Die Spule auf der Empfängerseite und die Frequenz

Die Spule auf der Empfängerseite, die gegenwärtig beim DC1969A eingesetzt wird, hat eine Induktivität von 47 µH. Es handelt sich dabei um eine eingebettete 4-Schicht-PCB-Spule mit Ferritbasis. Würth Elektronik eiSos bietet eine Spule an, die die PCB-Spezifikation erheblich überschreitet und so eine deutlich höhere Effizienz bietet. Die Teilenummer lautet 760 308 101 303, die Kurzspezifikation entnehmen Sie Tabelle 1. Eine ausführliche Spezifikation finden Sie im Datenblatt, das Sie hier herunterladen können.

Die Empfängerfrequenz ändert sich von 127 kHz in 142 kHz. Unter abgestimmten Bedingungen beeinträchtigen sowohl C2P als auch C2S die Schwingungsfrequenz, unter nicht abgestimmten Bedingungen würde dies nur C2S tun.

Bildergalerie
Bildergalerie mit 9 Bildern

(Bild:  WE)
(Bild: WE)

Bei Berechnung mit der nebenstehenden Formel für die Schwingungsfrequenz unter nicht abgestimmten Bedingungen (FD = 142 kHz) ergibt sich als erforderliche Kapazität C2S = 26,7 nF.

(*Durch Parallelschaltung von 22 nF und 4,7 nF ergibt sich die erforderliche Kapazität.

**Die Frequenz 142 kHz unter nicht abgestimmten Bedingungen (anstelle von 140 kHz) ergibt sich aus der Begrenzung der verfügbaren Kapazität.

Ähnlich ergibt sich für die Schwingungsfrequenz unter abgestimmten Bedingungen (FT = 127 kHz) für die erforderliche Kapazität:

C2P = 6,75 nF,

*Der nächstgelegene Wert für diese Kapazität beträgt 6,8 nF.)

Hinweis: Die in DC1969A verwendeten Bauteile sind parallel geschaltet und weisen 1,8 nF bzw. 4,7 nF auf. Bei diesem Wert beläuft sich die Frequenz auf 131 kHz.

Die Senderspule und die Frequenz

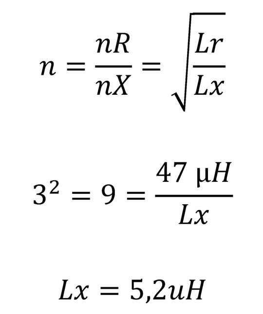
Nachdem wir nun die Empfängerspule mit einem Induktivitätswert von 47 µH ausgewählt haben, lässt sich die Senderspule entsprechend auswählen, um der im Datenblatt zum LTC4120 beschriebenen Empfehlung eines Windungsverhältnisses von 1:3 nachzukommen.

(Bild:  WE)
(Bild: WE)

Dafür bietet Würth Elektronik eiSos das Bauteil 760 308 101 302 an. Die wichtigsten Parameter lauten: 5,3 µH, 6 A, 33 mΩ, Q = 100.

Die Frequenz der angestrebten Schwingung errechnet sich wie folgt:

(Bild:  WE)
(Bild: WE)

Bei Berechnung mit der obigen Formel für die Schwingungsfrequenz des Senders (130 kHz) ergibt sich als erforderlicher Wert für Cx 283 nF. Da es für diesen Wert kein Standardbauteil gibt, wählen wir 180 nF bzw. 100 nF aus, um eine möglichst starke Annäherung an die vorgesehene Betriebsfrequenz zu erzielen. Diese beiden Kondensatoren nutzen denselben Kreisstrom. Genauere Werte lassen sich auswählen, um die gewünschte Schwingungsfrequenz exakt zu erzielen.

Artikelfiles und Artikellinks

(ID:43270464)

Jetzt Newsletter abonnieren

Verpassen Sie nicht unsere besten Inhalte

Mit Klick auf „Newsletter abonnieren“ erkläre ich mich mit der Verarbeitung und Nutzung meiner Daten gemäß Einwilligungserklärung (bitte aufklappen für Details) einverstanden und akzeptiere die Nutzungsbedingungen. Weitere Informationen finde ich in unserer Datenschutzerklärung. Die Einwilligungserklärung bezieht sich u. a. auf die Zusendung von redaktionellen Newslettern per E-Mail und auf den Datenabgleich zu Marketingzwecken mit ausgewählten Werbepartnern (z. B. LinkedIn, Google, Meta).

Aufklappen für Details zu Ihrer Einwilligung