Eine stabile Stromversorgung ist für Rechenzentren essenziell. Ausfälle können gravierende Folgen haben. Um Ausfallzeiten zu minimieren, sind Lösungen gefragt, die sowohl hohe Leistungsdichte als auch eine zuverlässige Netzausfall-Überbrückung ermöglichen.
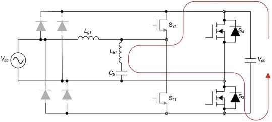
Bild 1: Prinzipschaltbild der iTCM-Topologie mit Induktivitäten und Strom-Hüllkurven.
(Bild: Texas Instruments)
Fällt die Stromversorgung eines Rechenzentrums aus, können sich Auswirkungen auf die unterschiedlichsten Bereiche ergeben, von Unterhaltungsanwendungen über Finanztransaktionen bis hin zu häuslichen Alarmanlagen. Spezifikationen wie die V2 Power Shelf Specification des Open Compute Project (OCP) unterstreichen die Notwendigkeit, die Ausfallzeiten von Servern mithilfe robuster Netzausfall-Algorithmen zu reduzieren. Abgesehen davon erweist es sich mit den konventionellen nicht-lückenden Regelungsmethoden als schwierig, für Rechenzentren kosteneffektive Lösungen zu realisieren, die einerseits dem Streben nach kleineren passiven Bauelementen und andererseits der Forderung nach Leistungsfaktor-Korrektur (Power Factor Correction, PFC) und hohem Wirkungsgrad bei Schwach- und Spitzenlast gerecht werden.
Bild 1: Prinzipschaltbild der iTCM-Topologie mit Induktivitäten und Strom-Hüllkurven.
(Bild: Texas Instruments)
Als Lösung für dieses Problem entwickelte TI ein auf Galliumnitrid (GaN) basierendes, durch hohe Dichte gekennzeichnetes zweiphasiges iTCM-Design (integrated Triangular Current Mode) mit Leistungsfaktor-Korrektur (Bild 1). Induktive Bauelemente mit niedrigen Induktivitätswerten und eine hohe Schaltfrequenz ermöglichen den hohen, über 99 % betragenden Wirkungsgrad und die hohe Leistungsdichte dieses Designs von 120 W pro Kubikzoll (7,3 Watt/cm³). Die verwendeten kleinen Induktivitäten bringen allerdings ein spezifisches Problem für die Netzausfall-Überbrückung mit sich, denn bei einer Einschaltzeit von nur wenigen Mikrosekunden kann ein Schalterstrom von über 70 A entstehen. Zusätzlich können etwaige Verzögerungen erhebliche Rückströme zur Folge haben, was die Wiederaufnahme der Leistungsfaktor-Korrektur weiter erschwert. Um die Ströme in einem sicheren Rahmen zu halten und das Entstehen von Rückströmen zu verhindern, musste eine neue Lösung für die Netzausfall-Überbrückung entwickelt werden. Der vorliegende Artikel widmet sich dieser Lösung anhand von Labordaten, basierend auf dem „Variable-Frequency, ZVS, 5-kW, GaN-Based, Two-Phase Totem-Pole PFC Reference Design“, dessen wichtigste Bauelemente und Kenndaten aus Tabelle 1 hervorgehen.
Die Topologie im Überblick
Die Topologie besteht aus zwei um 180° phasenversetzt arbeitenden Stufen mit einem einzigen DC-Abblockkondensator (Cb). Sie profitiert dabei von der gegenseitigen Aufhebung der Welligkeitsströme infolge der zweiphasigen Architektur und der Verringerung der RMS-Strombelastung in Cb. Die Induktivitäten Lb1 und Lb2 sind so dimensioniert, dass sie mit dem für den TCM-Betrieb erforderlichen hochfrequenten Welligkeitsstrom zurechtkommen. Die Verwendung von Ferritkernen in Lb1 und Lb2 bürgt für niedrige Verluste unter dem Einfluss der starken Flussschwankungen, die für das Schalten im Spannungsnulldurchgang (Zero Voltage Switching, ZVS) notwendig sind. Die Induktivitätswerte von Lg1 und Lg2 sind ungefähr um den Faktor 10 größer als die von Lb1 und Lb2 und sorgen so dafür, dass nur ein kleiner Teil des hochfrequenten Stroms in die Eingangsquelle fließt, was nebenbei auch die EMI-Eigenschaften verbessert. Nicht zuletzt erlaubt der niedrigere Welligkeitsstrom in Lg1 und Lg2 die Verwendung kostengünstigerer Kernwerkstoffe. In Bild 1 sind die Hüllkurven der Welligkeitsströme in den Induktivitäten und an den Schaltknoten dargestellt.
Bild 2: Entladepfad von VDC bei verzögertem Abschalten des Synchrongleichrichters S21.
(Bild: Texas Instruments)
Herausforderungen bei Netzausfällen
Die erste Herausforderung, auf die hier eingegangen werden soll, ist das Entstehen von Rückströmen bei einem Ausfall der Netzstromversorgung. Da sämtliche Schalter in der Totem-Pole-PFC-Topologie bidirektional sind, müssen die als Synchrongleichrichter arbeitenden FETs bei einem Netzausfall so schnell wie möglich abschalten. Hierdurch wird verhindert, dass ein negativer Strom entsteht, der die Ausgangsspannung entlädt und die Netzausfall-Überbrückungszeit verkürzt. Bild 2 verdeutlicht das Entstehen dieses negativen Stroms für das Synchrongleichrichtungs-Intervall während der positiven Halbwelle. Abgesehen davon können längere Verzögerungen beim Abschalten der Synchrongleichrichter in einer großen Stromspitze resultieren, die möglicherweise den Überstromschutz (Overcurrent Protection, OCP) ansprechen lässt. Bleibt der Synchrongleichrichter eingeschaltet, wenn keine Eingangsspannung anliegt, lässt sich mit der Gleichung
ausrechnen, wieviel Zeit vergeht, bis der Strom auf 70 A angestiegen ist (diese Zeitspanne beträgt hier 2,5 µs). Ein solch geringer Wert lässt der Netzausfall-Erkennung nur sehr wenig Zeit, um das Problem zu identifizieren und das Schalten einzustellen, bevor der Überstromschutz anspricht oder es gar zu Schäden kommt.
Die zweite Herausforderung besteht in der Wiederaufnahme des PFC-Betriebs, nachdem die Netzstromversorgung wiederhergestellt ist. Das Kernproblem hierbei resultiert aus der Tatsache, dass die Bypass-Dioden der PFC-Schaltung die Ausgangsspannung auf den Scheitelwert der eingangsseitigen Sinuswelle aufladen. Dies aber passiert am ehesten bei einer hohen Spannung, wenn die Ausgangsspannung bereits deutlich unter diesen Scheitelwert gefallen ist. Der Wandler hat während dieser Ereignisse keine Möglichkeit, den Strom zu unterbrechen, sodass dieser Stoßstrom sehr stark anwächst. Eine unzureichende Ansteuerung der Schalter während dieser Vorgänge kann die Situation sogar noch verschlimmern, indem die Induktivitäten in die Sättigung getrieben werden, der Überstromschutz anspricht und die Ausgangsspannung weiter abgebaut wird. Die Notwendigkeit eines präzisen Regelungsalgorithmus während dieser Zeit wird erneut durch die hohe Schaltfrequenz der iTCM-Topologie unterstrichen, die aus den niedrigen Induktivitätswerten von Lb1 und Lb2 resultiert.
Stand: 08.12.2025
Es ist für uns eine Selbstverständlichkeit, dass wir verantwortungsvoll mit Ihren personenbezogenen Daten umgehen. Sofern wir personenbezogene Daten von Ihnen erheben, verarbeiten wir diese unter Beachtung der geltenden Datenschutzvorschriften. Detaillierte Informationen finden Sie in unserer Datenschutzerklärung.
Einwilligung in die Verwendung von Daten zu Werbezwecken
Ich bin damit einverstanden, dass die Vogel Communications Group GmbH & Co. KG, Max-Planckstr. 7-9, 97082 Würzburg einschließlich aller mit ihr im Sinne der §§ 15 ff. AktG verbundenen Unternehmen (im weiteren: Vogel Communications Group) meine E-Mail-Adresse für die Zusendung von redaktionellen Newslettern nutzt. Auflistungen der jeweils zugehörigen Unternehmen können hier abgerufen werden.
Der Newsletterinhalt erstreckt sich dabei auf Produkte und Dienstleistungen aller zuvor genannten Unternehmen, darunter beispielsweise Fachzeitschriften und Fachbücher, Veranstaltungen und Messen sowie veranstaltungsbezogene Produkte und Dienstleistungen, Print- und Digital-Mediaangebote und Services wie weitere (redaktionelle) Newsletter, Gewinnspiele, Lead-Kampagnen, Marktforschung im Online- und Offline-Bereich, fachspezifische Webportale und E-Learning-Angebote. Wenn auch meine persönliche Telefonnummer erhoben wurde, darf diese für die Unterbreitung von Angeboten der vorgenannten Produkte und Dienstleistungen der vorgenannten Unternehmen und Marktforschung genutzt werden.
Meine Einwilligung umfasst zudem die Verarbeitung meiner E-Mail-Adresse und Telefonnummer für den Datenabgleich zu Marketingzwecken mit ausgewählten Werbepartnern wie z.B. LinkedIN, Google und Meta. Hierfür darf die Vogel Communications Group die genannten Daten gehasht an Werbepartner übermitteln, die diese Daten dann nutzen, um feststellen zu können, ob ich ebenfalls Mitglied auf den besagten Werbepartnerportalen bin. Die Vogel Communications Group nutzt diese Funktion zu Zwecken des Retargeting (Upselling, Crossselling und Kundenbindung), der Generierung von sog. Lookalike Audiences zur Neukundengewinnung und als Ausschlussgrundlage für laufende Werbekampagnen. Weitere Informationen kann ich dem Abschnitt „Datenabgleich zu Marketingzwecken“ in der Datenschutzerklärung entnehmen.
Falls ich im Internet auf Portalen der Vogel Communications Group einschließlich deren mit ihr im Sinne der §§ 15 ff. AktG verbundenen Unternehmen geschützte Inhalte abrufe, muss ich mich mit weiteren Daten für den Zugang zu diesen Inhalten registrieren. Im Gegenzug für diesen gebührenlosen Zugang zu redaktionellen Inhalten dürfen meine Daten im Sinne dieser Einwilligung für die hier genannten Zwecke verwendet werden. Dies gilt nicht für den Datenabgleich zu Marketingzwecken.
Recht auf Widerruf
Mir ist bewusst, dass ich diese Einwilligung jederzeit für die Zukunft widerrufen kann. Durch meinen Widerruf wird die Rechtmäßigkeit der aufgrund meiner Einwilligung bis zum Widerruf erfolgten Verarbeitung nicht berührt. Um meinen Widerruf zu erklären, kann ich als eine Möglichkeit das unter https://contact.vogel.de abrufbare Kontaktformular nutzen. Sofern ich einzelne von mir abonnierte Newsletter nicht mehr erhalten möchte, kann ich darüber hinaus auch den am Ende eines Newsletters eingebundenen Abmeldelink anklicken. Weitere Informationen zu meinem Widerrufsrecht und dessen Ausübung sowie zu den Folgen meines Widerrufs finde ich in der Datenschutzerklärung, Abschnitt Redaktionelle Newsletter.
Bild 3: Ausfall der Netzwechselspannung und virtuelles AC-Signal.
(Bild: Texas Instruments)
Die richtige Netzausfall-Lösung
Um präzise zu bestimmen, ob die Netzwechselspannung vorhanden ist oder nicht, verwendet die Lösung ein virtuelles AC-Eingangssignal, das die Integrität der tatsächlichen Netzwechselspannung überwacht. Erzeugt wird dieses virtuelle Signal, indem die Amplitude, Frequenz und Phase der Eingangsspannung gemessen wird. Im normalen Betrieb folgt es somit nahezu perfekt der 50-Hz- bzw. 60-Hz-Komponente der tatsächlichen AC-Netzspannung. Das System kann das Vorhandensein bzw. Nichtvorhandensein der eingangsseitigen Netzwechselspannung folglich einfach erkennen, indem es das tatsächliche mit dem virtuellen Eingangssignal vergleicht. Jegliche plötzliche Änderung der Differenz zwischen beiden Signalen deutet auf ein transientes Ereignis am Eingang hin, und genau an diesen transienten Ereignissen wird sowohl der Ausfall als auch die Wiederherstellung der AC-Eingangsspannung erkannt. Bild 3 zeigt die virtuelle AC-Eingangsspannung sowie die tatsächliche Netzwechselspannung während eines Ausfalls.
Bild 4: Zustandsautomat zum Koordinieren der Abläufe beim Ausfall und der Wiederherstellung der Netzwechselspannung.
(Bild: Texas Instruments)
In Bild 4 ist der Zustandsautomat zu sehen, der den Ausfall- und Wiederherstellungsprozess koordiniert. Beim Einschalten durchläuft das System einen Initialisierungszyklus (Sync Init), in dem es den RMS-Wert der Eingangsspannung ermittelt. Mit einer SPLL-Stufe (Software Phase-Locked Loop) wird dabei sichergestellt, dass die Phasenlagen von Vac,virtual und Vac,actual übereinstimmen. Nach dem Einrasten der SPLL-Stufe (Sync On) überwacht der Prozessor das Verhältnis zwischen Vac,virtual und Vac,actual (siehe Bild 3). Ist dieses Verhältnis kleiner als der vorgesehene Grenzwert, wird ein Netzausfall angenommen und das Schalten umgehend unterbrochen (Stop State). Ab hier behebt das System die aufgetretenen Fehler und wechselt in den Standby-Status (Ready), in dem es das Verhältnis zwischen Vac,virtual und Vac,actual überwacht, um festzustellen, wann es die Wiedereinschaltschwelle überschreitet. Hat der Zustandsautomat festgestellt, dass die Netzspannung wiederhergestellt ist, wird das Schalten umgehend wieder aufgenommen und die SPLL-Stufe wird erneut synchronisiert (Resume State). Indem das Verhältnis zwischen Vac,virtual und Vac,actual in Verbindung mit der SPLL-Stufe als Entscheidungskriterium herangezogen wird, kann der Algorithmus die Zeitpunkte, zu denen das AC-Netz ausfällt und wiederhergestellt wird, unabhängig von Höhe und Frequenz der Eingangsspannung bestimmen. Da der Algorithmus das Verhältnis zwischen Vac,virtual und Vac,actual außerdem fortlaufend überwacht, kann er schneller reagieren als eine traditionelle Lösung, die lediglich feststellt, wann die eingangsseitige Netzwechselspannung auf null fällt. Hierbei können sich nämlich Verzögerungen ergeben, die zu hohen Stromspitzen und erheblichen Rückströmen führen können.
Bild 5: Netzausfall-Verhalten bei 5 kW Ausgangsleistung.
(Bild: Texas Instruments)
Ergebnisse
Bild 5 verdeutlicht das Verhalten der zweiphasigen iTCM Totem-Pole PFC-Schaltung mit dem soeben beschriebenen Algorithmus während eines Netzausfalls. Die Netzwechselspannung beträgt 230 VRMS bei 60 Hz, die Ausgangsspannung 400 V. Die Ausgangsleistung von 5 kW entspricht bei 400 V einem Dauerstrom von 12,5 A. Für den Netzausfall wird eine Dauer von 20 ms angenommen, und um das System dem größtmöglichen Stress auszusetzen, wurde die Netzwechselspannung genau beim Scheitelwert wieder eingeschaltet. Hierbei sorgen die Bypass-Dioden für einen beträchtlichen Inrush-Strom in die Ausgangskondensatoren, wenn der Scheitelwert der AC-Netzspannung die Ausgangsspannung übersteigt.
Das Oszillogramm in Bild 5 zeigt außerdem eine Großaufnahme der Wiederherstellungsphase und belegt anschaulich, dass der PFC-Schalterstrom unter der OCP-Ansprechschwelle liegt. Der minimierte Rückstrom verhindert einen unnötigen Abfall von VOUT. Auch die Leitphasen der Bypass-Dioden zeigen kein anormales Verhalten, da der Algorithmus auf einfache Weise feststellen kann, ob die Eingangsspannung größer oder gleich der Ausgangsspannung ist.
Abgesehen von den vorteilhaften Netzausfall-Eigenschaften zeichnet sich das Design durch einen niedrigen Oberschwingungsgehalt, einen hohen Wirkungsgrad, eine hohe Leistungsdichte und ein schnelles Lastsprungverhalten aus, sodass sich ein rundum positives Eigenschaftsprofil ergibt. (mr)
* Brent McDonald ist System and Application Engineer, Power Design Services bei Texas Instruments