IoT-Basics: IOTA für die Industrie 4.0
IOTA ist eine Kryptowährung, die vor allem für automatisierte Bezahlvorgänge zwischen Maschinen im Internet of Things konzipiert ist. Dadurch werden Bezahlvorgänge einfacher und effektiver. Der Rechenaufwand soll, so die Entwickler, genauso sinken wie die Kosten.
Anbieter zum Thema

IOTA gehört neben Bitcoin und Ethereum zu den zehn wichtigsten Kryptowährungen. Gegründet wurde IOTA 2015 von David Sønstebø, Sergey Ivancheglo, Dominik Schiener und Serguei Popov. Der Hauptsitz von IOTA befindet sich in Berlin und wird von der IOTA Foundation betrieben.
Die Kryptowährung IOTA ist spezialisiert auf Bezahlen im Internet der Dinge. Dabei besteht der Fokus aber nicht nur in IoT, sondern auch in IIoT (Industrial Internet of Things), also IoT-Geräten im Unternehmensumfeld. Wer sich einen genauen Überblick zur Technik von IOTA machen will, findet auf der Internetseite der Entwickler (https://iota.org) genügend Informationen.
Tangle statt Blockkette

Bei IOTA kommen weder Blöcke noch Chains (Ketten) zum Einsatz, also auch keine sequentielle Verbindung der Blöcke, sondern sogenannte "Tangles", die auf gerichteten azyklischen Graphen (Directed Acyclic Graphs, DAG) beruhen. Diese speichern die Transaktionen im IOTA-Netzwerk. Dies ist auch nicht unbedeutend für die Namensgebung der Kryptowährung: Der Name setzt sich aus „Internet of Things“ und „Tangle“ zusammen.
Das Tangle ersetzt die Blöcke von Blockchain und die mit den Blöcken verbundenen Problemen. Dazu gehört zum Beispiel die lange Dauer von Transaktionen durch die Latenz. Im Fokus steht außerdem eine hohe Skalierbarkeit aufgrund des azyklischen Aufbaus. Die Transaktionen sind kostenlos, schnell und deren Anzahl ist nahezu unbegrenzt. Allerdings verbraucht auch IOTA Ressourcen. Auch hier werden der Datenspeicher und die CPU des Gerätes belastet sowie die Verbindung zum Internet. Außerdem sind einzelne Transaktionen wesentlich größer als bei Bitcoin.
IOTA braucht keine Miner
Beim Bezahlen mit herkömmlichen Kryptowährungen (Bitcon, Ethereum), die Blockchain nutzen, bestätigen die „Miner“ die Transaktionen. Um die notwendigen Berechnungen durchzuführen, wird Rechenkraft benötigt. Das ist bei IOTA nicht in diesem Umfang notwendig. Bei IOTA muss jeder Anwender, der eine Transaktion ausführt, zwei weitere Transaktionen bestätigen. Miner wie bei Bitcoin werden dadurch überflüssig. Das beschleunigt die Transaktionen und sorgt für geringere Energiekosten. Allerdings ist auch hier Rechenpower notwendig. Diese wird in Zukunft wohl vor allem von Unternehmen zur Verfügung gestellt, die IOTA für Microtransaktionen nutzen wollen.
Die IOTA Foundation hat am 8. Februar 2018 angekündigt, ab März 2018 ein IOTA Ecosystem bereitzustellen, das sich insbesondere an Entwickler wendet. Auf der Plattform sind, wie das Internetportal Kryptoszene.de berichtet, Tutorials, Videos und interaktive Tools zu finden sowie Libraries und Module für Entwickler. Auch Startups und IOTA Entwickler will die Plattform zusammenbringen.
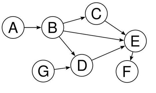
Ein Graph besteht (in der Graphentheorie) aus einer Menge von Punkten, zwischen denen Linien verlaufen. Die Punkte nennt man Knoten, die Linien gewöhnlich Kanten. Besitzt jede Kante des Graphen eine eindeutig festgelegte Laufrichtung, so kann man diese als „Pfeil“ verstehen und den Graphen als gerichteten. Lässt sich niemals ein Weg aus den Pfeilen (also den gerichteten Kanten) finden, der zu seinem Ausgangspunkt zurückkehrt, ist der Graph azyklisch. Er besitzt also keine zyklischen – im Kreis laufenden – "Wege".
Bei IOTA fallen keine Transaktionsgebühren an
Im Industrial Internet of Things (IioT) gibt es besondere Herausforderungen an Bezahlsysteme. Diese müssen schnell sein, dürfen keine Belastung für das Gesamtsystem darstellen, sollen Ressourcen sparen und dürfen obendrein nicht zu teuer, sondern am besten kostenlos sein. Microtransaktionen zwischen verschiedenen Geräten sollten möglichst keine Kosten verursachen. Diese Voraussetzungen werden von IOTA erfüllt. Zumindest versprechen das die Entwickler.
Weil IOTA keine Blöcke benötigt, gibt es auch keine Größenbeschränkungen für diese Blöcke. Das ist eines der Probleme, die Bitcoin hat. Zwar verbrauchen die IoT-Geräte Energie, da sie mit Strom versorgt werden müssen, verursachen aber ansonsten im IOTA-Netzwerk keinerlei Kosten. Transaktionen über Bitcoin kosten mittlerweile erhebliche Beträge, was die Verwendung als herkömmliches Zahlungsmittel erschwert. Bei IOTA gibt es keinerlei Transaktionsgebühren. Davon profitieren vor allem Microtransaktionen zwischen verschiedenen Geräten.
Dazu kommt, dass IOTA auch über Bluetooth und andere Funkstandards Transaktionen abwickeln kann. Es ist nicht unbedingt eine Netzwerkverbindung per UDP und TCP notwendig. Folglich ist zu erwarten, dass vor allem große Unternehmen IOTA-Knoten betreiben werden, um Microtransaktionen zwischen IoT-Geräten kostenlos abzuwickeln.
Unternehmerische Schwergewichte investieren in IOTA
IOTA gehört zu den am häufigsten diskutierten Kryptowährungen und soll vor allem im Bereich Internet of Things und Industrial Industrie of Things punkten. Da die Währung vieles anders macht als die anderen Kryptowährungen, gibt es auch viel Diskussionsbedarf.
Derzeit finden noch zu wenige Transaktionen statt, sodass das Netzwerk seine Vorteile nicht ausspielen kann. Zudem laufen die Server noch nicht sehr stabil, was sich in Verbindungsabbrüchen äußert. In jedem Fall ist IOTA aber eine sehr interessante Währung, welche die Chance hat die Standardwährung im IoT zu werden.
Ein Graph besteht (in der Graphentheorie) aus einer Menge von Punkten, zwischen denen Linien verlaufen. Die Punkte nennt man Knoten, die Linien gewöhnlich Kanten. Besitzt jede Kante des Graphen eine eindeutig festgelegte Laufrichtung, so kann man diese als „Pfeil“ verstehen und den Graphen als gerichteten. Lässt sich niemals ein Weg aus den Pfeilen (also den gerichteten Kanten) finden, der zu seinem Ausgangspunkt zurückkehrt, ist der Graph azyklisch. Er besitzt also keine zyklischen – im Kreis laufenden – "Wege".
| Bitcoin |
| Ethereum |
| Ripple |
| Bitcoin Cash |
| Litecoin |
| NEM |
| Ethereum Classic |
| Dash |
| IOTA |
| NEO |
| Quelle: Finanzen.net |
Dieser Beitrag stammt von unserem Partnerportal Industry-of-Things.
Blockchain wird 2018 das Internet of Things revolutionieren
Thomas Joos studierte Informatik und ist als Buchautor und Publizist für verschiedene Fachmedien tätig.
(ID:45359265)