Analogtipp Grundlagen zu Kapazität-Digital-Wandlern
Bei Kapazitäts-Digital-Wandlern liegt an einer Kondensatorplatte eine Anregungsspannung an. Gemessen wird die im Kondensator gespeicherte elektrische Ladung und als Messsignal ausgegeben. Wir stellen vier Applikationen kapazitativer Sensoren vor, die sich durch die Art der Anregung unterscheiden.
Anbieter zum Thema

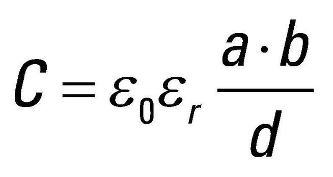
Als elektrische Kapazität bezeichnet man die Fähigkeit eines Kondensators zum Speichern elektrischer Ladung. In ihrer Grundform, ein Kondensator mit zwei parallelen Platten, ist die Kapazität C ein Maß für die in einem Kondensator bei der Spannung V gespeicherte Ladung Q.
Der Plattenkondensator in Bild 2 besteht aus zwei elektrischen Leitern. Dabei sind a und b die leitenden Flächen, d der Abstand zwischen den Platten und εr die Dielektrizitätskonstante des dielektrischen Materials zwischen den Leitern. Die daraus resultierende Kapazität C wird mit Gleichung 1 berechnet. Darin ist ε0 die Dielektrizitätskonstante im Vakuum.
Bei einem Kapazität-Digital-Wandler (CDC) liegt an einer Platte des Kondensators eine Anregungsspannung an. Gemessen wird die im Kondensator gespeicherte elektrische Ladung und in Form eines digitalen Messsignals an einen externen Mikrocontroller übergeben
Da die Kapazität des Sensors durch die Parameter a, b, d und εr bestimmt wird, wird die CDC-Technologie für direkte Kapazitätsmessungen und, je nach Sensortyp, für viele andere Applikationen verwendet. Falls zum Beispiel a, b und εr konstant sind, ist der CDC-Ausgang proportional zum Abstand d zwischen den beiden Leitern.
Bild 1 zeigt vier Applikationen kapazitiver Sensoren, die sich durch die Art der Anregung unterscheiden.
Links oben in Bild 1 ist ein massebezogener Single-Ended-Sensor zu sehen. In dieser Konfiguration liegt eine Sensorplatte auf Massepotenzial. Die Anregung wird an die zweite Platte angelegt. Der CDC-Baustein misst die Kondensatorladung derselben Platte. Die Anregung und die Ladungsmessung erfolgt in unterschiedlichen Zeitfenstern.
Die Schaltung rechts unten in Bild 1 beschreibt einen Single-Ended Floating-Sensor. Die Anregungsspannung wird an eine Platte angelegt und der CDC-Baustein misst die im Kondensator gespeicherte Ladung von der anderen Platte. Dieser Typ Schnittstelle kann die differentielle parasitäre Kapazität unterdrücken und eine höhere Präzision und Genauigkeit erzielen.
Sowohl der massebezogene wie auch der Floating-Sensor haben eine korrespondierende differenzielle Applikation zur Messung der Kapazitätsdifferenz zweier Eingangskanäle (Bild 1, links unten und rechts oben).
Der AD7747 wurde für den Einsatz in Verbindung mit massebezogenen Sensoren entwickelt. Die Bauteile AD7745 und AD7746 sowie die AD715X Familie wurden für Floating-Sensoren konzipiert.
Darüber hinaus gibt es mit AD714X CapTouch einen speziell für den Einsatz mit kapazitiven Berührungssensoren entwickelten Controller. Dieser misst kapazitive Änderungen von Single-Ended-Sensoren.

Wie in Bild 3 zu sehen ist, bildet die Sensorelektrode auf der Leiterplatte eine Platte eines virtuellen Kondensators. Der Finger des Anwenders, der bezogen auf den Sensoreingang auf Masse liegt, bildet die andere Platte. Mit vielen nützlichen Leistungsmerkmalen kann die AD714X-Familie viele Berührungsfunktionen wie Schaltknöpfe, Schieberegler, Scroll-Räder etc. implementieren.
* * Ning Jia arbeitet als Applikationsingenieur bei Analog Devices in Norwood, USA.
(ID:32385020)
