Übertrager nach Maß Fünf Schritte zum Sperrwandler-Trafodesign
Eines der zentralen Bauelemente beim Sperrwandler ist der Übertrager. Viele Entwickler scheuen sich davor, diesen selbst zu entwerfen, und konzentrieren sich auf den Schaltungsentwurf. Mit einem ersten grob entworfenen Übertrager können allerdings schon viele Optimierungen an der Schaltung vorgenommen und der Übertrager optimiert werden.
Anbieter zum Thema
Sperrwandler gehören zu den am meisten eingesetzten Stromversorgungen im unteren Leistungsbereich. Bild 1 zeigt seinen prinzipiellen Schaltungsaufbau ohne die dazugehörige Regelung des Transistors (Schalter S1). Bei geschlossenem Schalter fließt auf der Primärseite ein linear ansteigender Strom.

Aufgrund der Polarität der Sekundärwicklung des Übertragers sperrt die Diode D1. Auf der Sekundärseite fließt kein Strom. Die primär eingespeiste Energie wird im Luftspalt des Übertragers gespeichert. Wird nun der Schalter geöffnet, so wechselt die Polarität an der Sekundärwicklung und die gespeicherte Energie fließt über die Diode D1 zur Last bzw. zum Ausgangskondensator.

Unterschieden werden zwei Betriebszustände: Der lückende Betrieb (Discontinuous Current Mode, DCM) und der nicht lückende Betrieb (Continuous Current Mode, CCM). Beim lückenden Betrieb geht der Sekundärstrom in jedem Schaltzyklus auf null zurück ehe S1 wieder geschlossen wird (Bild 2a). Aufgrund der Stromform spricht man vom Dreiecksbetrieb. Beim nicht lückenden Betrieb geht der Sekundärstrom nicht auf null zurück ehe S1 wieder geschlossen wird (Bild 2b). Dieser Betriebsmodus wird daher auch Trapezbetrieb genannt.

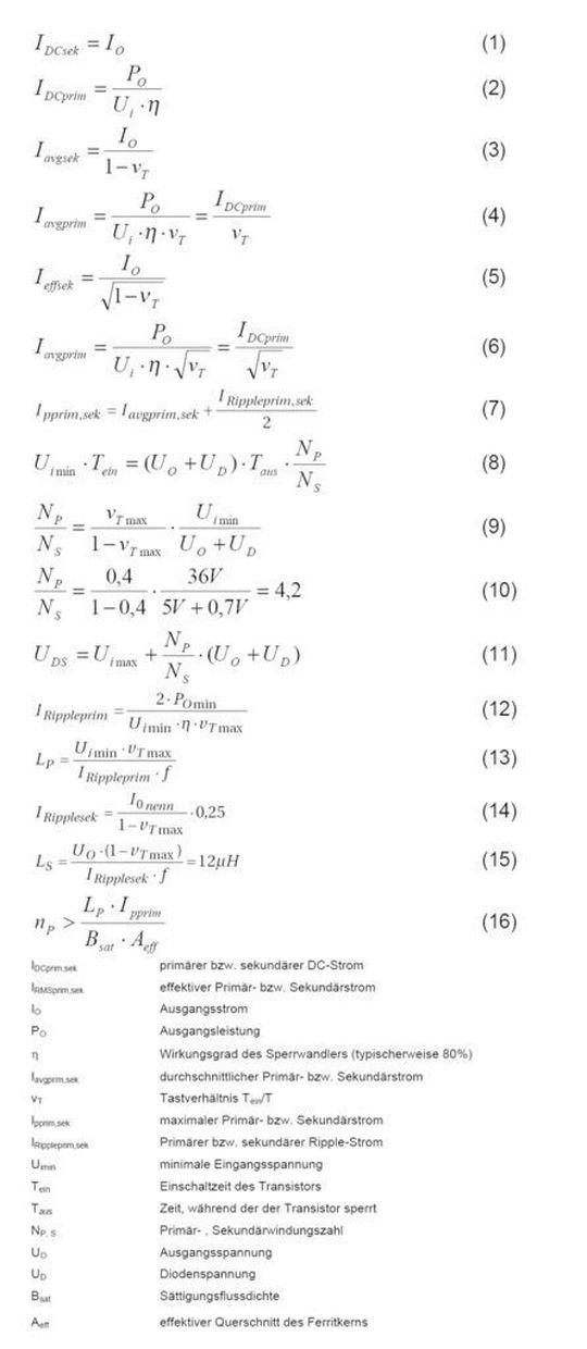
Die auftretenden Ströme können aus den Ausgangsdaten des Übertragers berechnet werden (Gleichung (1) bis (7)).
(ID:286751)