Trotz technischer Fortschritte arbeiten Schaltnetzteile weiterhin mit pulsierender Leistung. Das Potenzial des Drehstromsystems mit seiner konstanten Leistungsübertragung bleibt dabei häufig ungenutzt.
Bild 1: Prinzipschaltung des LLC-Drehstrom-Wandlers.
(Bild: Dr.-Ing. Heinz Schmidt-Walter)
Das elektrische Drehstromsystem gehört zu den ganz großen Erfindungen in der Elektrotechnik. Obwohl die drei Phasen Wechselstrom führen und somit jede Phase eine mit doppelter Netzfrequenz pulsierende Leistungsabgabe hat, ist die Leistungsaufnahme oder -abgabe eines Drehstromsystems bei symmetrischer Last ohne Leistungspulsation. Dadurch werden beispielsweise die Turbinen im Kraftwerk mit konstantem Drehmoment belastet und Drehstrommotoren geben ein zeitlich konstantes Drehmoment ab.
In der Schaltnetzteiltechnik macht man sich dieses Verhalten eines 3-Phasensystems bisher nicht zunutze. Vielmehr arbeiten Schaltnetzteile mit hochfrequent gesteuerten Schaltern, die die Leistung pulsierend am Ausgang abgeben bzw. am Eingang aufnehmen. Die so entstehende Pulsation wird mittels Kondensatoren gepuffert, sodass eine hinreichend kontinuierliche Leistungsabgabe zur Verfügung steht.
LLC- und CLLC-Wandler (Stand der Technik)
Bild 1: Prinzipschaltung des LLC-Drehstrom-Wandlers.
(Bild: Dr.-Ing. Heinz Schmidt-Walter)
LLC- und CLLC-Wandler sind Resonanzwandler, wobei die schaltenden Transistoren im Spannungsnulldurchgang einschalten (zero voltage switching, ZVS). Dadurch entstehen in den Transistoren nur geringe Verluste. Das hat zur Folge, dass im Betrieb nur eine geringe Erwärmung entsteht und Wirkungsgrade von > 98 Prozent erreicht werden. Mit modernen GaN-Transistoren werden Schaltfrequenzen von >500 kHz bis 1 MHz bei Leistungen einiger kW und an Spannungen im Bereich 500 V erreicht. Die Transformatoren werden oft als sogenannte Matrixtransformatoren ausgeführt, auf denen Wicklungen auf mehrere Schenkel verteilt werden, um sie räumlich klein auszuführen. In dieser Technologie werden Wandler von einigen kW Leistung auf die Größe einer Zigarettenschachtel reduziert. Der LLC-Wandler leitet die Energie nur in eine Richtung. Der CLLC-Wandler kann die Energie in beide Richtungen leiten, ist also rückspeisefähig. Bild 2 zeigt als Beispiel den LLC-Wandler.
Bild 2: LLC-Wandler mit pulsierender Leistungsübertragung und zeitlicher Verlauf i(t).
(Bild: Dr.-Ing. Heinz Schmidt-Walter)
Beide Wandler haben das Problem, dass der Ausgangskondensator pulsierend geladen und damit hoch belastet wird. Desgleichen wird der Eingang mit einem pulsierenden Strom belastet (siehe Bild 2). Der LLC- und CLLC-Wandler sind heute Stand der Technik, wenn es um einen guten Wirkungsgrad und kleinste Baugröße geht.
Die Transistoren werden mit dem Tastverhältnis 50 Prozent geschaltet. Im Resonanzfall ist der Strom im Trafo sinusförmig. Der Ausgangskondensator wird pulsierend mit Sinushalbschwingungen geladen. Die Regelung der Ausgangsspannung erfolgt mittels Frequenzvariation. Bei Schaltfrequenzen fsw kleiner als fres steigt die Ausgangsspannung, bei Frequenzen höher als fres wird die Ausgangsspannung kleiner. Der Regelbereich von LLC- und CLLC-Wandlern ist recht klein.
Der Trafo hat in der Regel einen Luftspalt. Dieser wird so bemessen, dass Lp / Lleak = 3…5 beträgt (siehe hierzu entsprechende Literatur).
Der LLC-Wandler in Drehstromausführung
Der folgend beschriebene Wandler (Bild 1) verteilt die übertragene Leistung mittels eines dreiphasigen Transformators (Drehstromtransformator) in der Weise, dass der Leistungsfluss weitgehend kontinuierlich ist und der Ausgangskondensator damit auf einen sehr kleinen Wert reduziert werden kann, siehe Bild 3. Auch die speisende Quelle wird näherungsweise mit einem Gleichstrom belastet. Das ist besonders wichtig, wenn die Quelle und die Last Batterien sind. Der Transformator wird im Vergleich zum üblichen LLC- und CLLC-Wandler gleicher Leistung geringfügig kleiner. Die Pufferkondensatoren am Ein- und Ausgang des Wandlers werden sogar drastisch kleiner.
Bild 3: Strom i und Strom iD in einer Gleichrichterdiode, und Primärströme im Transformator.
(Bild: Dr.-Ing. Heinz Schmidt-Walter)
Die Brückenzweigpaare werden mit 120 ° Phasenverschiebung angesteuert. Dadurch entsteht ein Drehspannungssystem, das näherungsweise sinusförmige, um 120 ° versetzte Ströme im Drehstromtransformator erzeugt, siehe Bild 3. Auf der Ausgangsseite ist ein Drehstromgleichrichter angeordnet. Er muss nicht aus Dioden bestehen, vielmehr wird man heute aktive Gleichrichter mittels Transistoren einsetzen. Beim CLLC-Wandler müssen es primär und sekundär aktive Transistorbrücken sein wegen der symmetrischen Leistungsübertragung.
Der Sternpunkt der Primärseite als auch der Sekundärseite muss frei bleiben. Das magnetische Volumen des Drehstromtransformators ist im Vergleich zu dem eines LLC-Wandlers gleicher Leistung kleiner. Die gesamte Schaltleistung der Transistoren bleibt gleich.
Stand: 08.12.2025
Es ist für uns eine Selbstverständlichkeit, dass wir verantwortungsvoll mit Ihren personenbezogenen Daten umgehen. Sofern wir personenbezogene Daten von Ihnen erheben, verarbeiten wir diese unter Beachtung der geltenden Datenschutzvorschriften. Detaillierte Informationen finden Sie in unserer Datenschutzerklärung.
Einwilligung in die Verwendung von Daten zu Werbezwecken
Ich bin damit einverstanden, dass die Vogel Communications Group GmbH & Co. KG, Max-Planckstr. 7-9, 97082 Würzburg einschließlich aller mit ihr im Sinne der §§ 15 ff. AktG verbundenen Unternehmen (im weiteren: Vogel Communications Group) meine E-Mail-Adresse für die Zusendung von redaktionellen Newslettern nutzt. Auflistungen der jeweils zugehörigen Unternehmen können hier abgerufen werden.
Der Newsletterinhalt erstreckt sich dabei auf Produkte und Dienstleistungen aller zuvor genannten Unternehmen, darunter beispielsweise Fachzeitschriften und Fachbücher, Veranstaltungen und Messen sowie veranstaltungsbezogene Produkte und Dienstleistungen, Print- und Digital-Mediaangebote und Services wie weitere (redaktionelle) Newsletter, Gewinnspiele, Lead-Kampagnen, Marktforschung im Online- und Offline-Bereich, fachspezifische Webportale und E-Learning-Angebote. Wenn auch meine persönliche Telefonnummer erhoben wurde, darf diese für die Unterbreitung von Angeboten der vorgenannten Produkte und Dienstleistungen der vorgenannten Unternehmen und Marktforschung genutzt werden.
Meine Einwilligung umfasst zudem die Verarbeitung meiner E-Mail-Adresse und Telefonnummer für den Datenabgleich zu Marketingzwecken mit ausgewählten Werbepartnern wie z.B. LinkedIN, Google und Meta. Hierfür darf die Vogel Communications Group die genannten Daten gehasht an Werbepartner übermitteln, die diese Daten dann nutzen, um feststellen zu können, ob ich ebenfalls Mitglied auf den besagten Werbepartnerportalen bin. Die Vogel Communications Group nutzt diese Funktion zu Zwecken des Retargeting (Upselling, Crossselling und Kundenbindung), der Generierung von sog. Lookalike Audiences zur Neukundengewinnung und als Ausschlussgrundlage für laufende Werbekampagnen. Weitere Informationen kann ich dem Abschnitt „Datenabgleich zu Marketingzwecken“ in der Datenschutzerklärung entnehmen.
Falls ich im Internet auf Portalen der Vogel Communications Group einschließlich deren mit ihr im Sinne der §§ 15 ff. AktG verbundenen Unternehmen geschützte Inhalte abrufe, muss ich mich mit weiteren Daten für den Zugang zu diesen Inhalten registrieren. Im Gegenzug für diesen gebührenlosen Zugang zu redaktionellen Inhalten dürfen meine Daten im Sinne dieser Einwilligung für die hier genannten Zwecke verwendet werden. Dies gilt nicht für den Datenabgleich zu Marketingzwecken.
Recht auf Widerruf
Mir ist bewusst, dass ich diese Einwilligung jederzeit für die Zukunft widerrufen kann. Durch meinen Widerruf wird die Rechtmäßigkeit der aufgrund meiner Einwilligung bis zum Widerruf erfolgten Verarbeitung nicht berührt. Um meinen Widerruf zu erklären, kann ich als eine Möglichkeit das unter https://contact.vogel.de abrufbare Kontaktformular nutzen. Sofern ich einzelne von mir abonnierte Newsletter nicht mehr erhalten möchte, kann ich darüber hinaus auch den am Ende eines Newsletters eingebundenen Abmeldelink anklicken. Weitere Informationen zu meinem Widerrufsrecht und dessen Ausübung sowie zu den Folgen meines Widerrufs finde ich in der Datenschutzerklärung, Abschnitt Redaktionelle Newsletter.
Der Drehstromtransformator
Bild 4: Links Ferritkern mit Boden und Schenkeln, rechts Kern mit Deckpatte
(Bild: Dr.-Ing. Heinz Schmidt-Walter)
Der Drehstromtransformator hat drei Schenkel, die als Ferritausführung räumlich symmetrisch angeordnet werden können. Dadurch ergeben sich für alle drei Schenkel magnetisch gleiche Verhältnisse, Bild 4. Aber auch die traditionelle Geometrie eines Drehstrom-Transformators ist möglich. In diesem Falle sind aber die magnetischen Verhältnisse der drei Schenkel nicht ganz identisch, was sich auf die Streuung als auch auf den Resonanzkondensator auswirken kann.
Die jeweiligen Primär- und Sekundärwicklungen werden in gleicher Weise auf die drei Schenkel mit gleichem Wickelsinn aufgebracht.
Berechnungsbeispiel für den Transformator
In die Berechnung des Transformators gehen mehrere Parameter ein. Daher sprechen wir von einem Transformator-Design, in das Kernparameter, Wickelparameter, Schaltfrequenz und Isolationsstrecken eingehen. Der Konstrukteur hat viele Möglichkeiten, aber natürlich auch physikalische Gesetze zu berücksichtigen.
Als Berechnungsbeispiel für den Transformator möge folgender LLC-Drehstrom Wandler dienen:
Eingangsspannung Vin = 400 V,
Ausgangsspannung Vout = 24 V,
Leistung P = 1,5 kW,
Schaltfrequenz f = 500 kHz.
Weitere Definitionen:
Bmax: Höchste auftretende magnetische Flussdichte im Ferrit innerhalb der Wicklung
Afe: Querschnittsfläche des Ferrites
AN: Querschnittsfläche der Wicklung
Φ: magnetischer Fluss
S: Stromdichte in der Wicklung
N: Windungszahl
T: Periodendauer der Schaltfrequenz f
Indizes 1 und 2 stehen für primär und sekundär.
Für die Berechnung wird die Stromdichte S = 5 A / mm2 im Kupfer und ein Bmax = 100 mT im Ferrit vorgesehen. Aus Bmax = 100 mT folgt ca. 1 mW / mm3 im obengenannten Ferrit (1 kW / m3 = 1 mW / mm3). Das bewerten wir hinsichtlich der Erwärmung des Trafos als akzeptabel bei leicht forcierter Belüftung. Grundlage für die weitere Berechnung ist das Induktionsgesetz:
Daraus erkennt man, dass die Spannung und die Windungszahl den geeigneten Querschnitt des Ferrit-Kerns bestimmen. Es folgt:
Das Integral
beschreibt die Spannungszeitfläche, die den magnetischen Fluss bzw. die magnetische Flussdichte bestimmt. Bei positiver Spannung wird der Fluss größer, bei negativer Spannung wird er kleiner.
Bild 5: Strangspannung und magnetischer Fluss B.
(Bild: Dr.-Ing. Heinz Schmidt-Walter)
Die Strangspannungen beschreiben bei freiem Sternpunkt eine stufige Funktion, deren Stufen jeweils Uo / 3 für jeweils T / 6 betragen. Die Spannungszeitfläche beträgt je Halbschwingung 4∙Vin / 3∙T / 6, siehe Bild 5. Diese lässt die magnetische Flussdichte im eingeschwungenen Zustand von - Bmax nach + Bmax laufen.
Die Anwendung des Induktionsgesetzes führt nun zu:
Da im Trafo die Spannungen proportional zu den Windungszahlen sind, gilt diese Berechnung gleichermaßen für die Eingangsspannung Vin als auch für die Ausgangsspannung Vout:
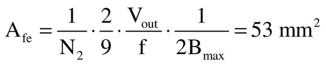
Die sekundäre Windungszahl wird aufgrund der hohen Frequenz in unserem Beispiel sehr klein sein können, da bei steigender Frequenz der magnetische Fluss für eine gegebene Spannung abnimmt und somit weniger Windungen notwendig sind, um die gleiche Induktion zu erzielen. Man wählt daher zunächst N2, um die notwendige Querschnittsfläche des Kerns zu berechnen, denn die Windungszahl muss ganzzahlig sein.
Nun kann man iterativ ermitteln, welche Windungszahl geeignet erscheint:
a) N2 = 1 führt zu
b) N2 = 2 führt zu 27 mm2 oder
c) N2 = 3 führt zu 18 mm2
Die primären Windungszahlen betragen dann mit N1 / N2 = Vin / Vout für:
Die Anzahl der Primärwindungen ist dann N1 / N2 = Vin / Vout für:
N2=1 --> N1=16
N2=2 --> N1=32
N2=3 --> N1=48
Bild 6: primäre Strangspannung (grün) und Strangstrom (rot).
(Bild: Dr.-Ing. Heinz Schmidt-Walter)
Als nächstes kann der notwendige Wickelraum bestimmt werden. Der Strom bestimmt den Drahtquerschnitt; je mehr Windungen, desto größer der Wickelquerschnitt.
Die Windungszahl sollte möglichst klein gewählt werden, um die Kupferverluste klein zu halten. Auf der anderen Seite sollte der Wickelraum in einem angemessenen Verhältnis zum Kernvolumen stehen. Im Beispiel wird N2 = 1 und N1 = 16 gewählt. Die sekundäre Windungszahl 1 ist für das Layout der nachfolgenden Gleichrichterstufe besonders günstig.
Die Strangspannungen betragen auf der Primärseite ca. Ûstr = 270 V bzw. der Effektivwert Ustr = 190 V.
Jeder Strang liefert PStr = 500 W.
Daraus folgt für den Strangstrom I1 = 500 W / 190 V = 2,65 A (in der Simulation etwas höher, weil der Spannungsabfall in der Inverterstufe und die Verlustleistung des sekundären Gleichrichters berücksichtigt werden)
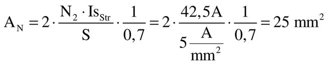
Die Strangströme auf der Sekundärseite betragen damit I2 = N1 / N2 x I1 = 42,5 A
Die Stromdichte S = 5 A / mm2 sollte nicht überschritten werden. Ein Füllfaktor von 0,7 wird für die Wicklungen angenommen. Primär- und Sekundärwicklung benötigen den gleichen Wickelquerschnitt.
Daraus folgt für die Primär- und Sekundärwicklung:
a) N1 = 16, N2 = 1:
b) N1 = 32, N2 = 2: AN = 50 mm2
c) N1 = 48, N2 = 3: AN = 75 mm2
Hinweis: Die Wickelfenster im Kern müssen zweimal die Primär- und Sekundärwicklung aufnehmen.
Zwischen der Deckplatte und dem unteren Kern kann ein Luftspalt eingefügt werden.
Zusammenfassung
Der LLC- und CLLC-Wandler sind heute Stand der Technik, wenn es um einen guten Wirkungsgrad und kleinste Baugröße geht.
Beide Wandler haben jedoch das Problem, dass der Ausgangskondensator pulsierend geladen und damit hoch belastet wird. Desgleichen wird der Eingang mit einem pulsierenden Strom belastet.
Die Drehstromschaltung in der LLC- und CLLC-Technik sorgt für einen annähernd kontinuierlichen Energiefluss. Das ist besonders günstig, wenn die Wandler von Gleichstromquellen, wie Batterien oder Solarzellen gespeist werden und/oder Batterien als Last haben.
Gleichzeitig ist der Drehstromtransformator eine besonders günstige Konstruktion, weil sich die drei magnetischen Flüsse in den Schenkeln in ihrer Summe aufheben, sodass der Fluss aus einem Schenkel von den anderen beiden aufgenommen wird. Der Transformator hat damit ein kleineres Bauvolumen, als ein einphasiger Wandler gleicher Leistung und Frequenz.
Der Transformator muss in Stern mit freiem Sternpunkt geschaltet werden. Der stufenförmigen Spannungsverlauf unterstützt die Sinusform des Stromes.
Bei ohmscher Last reduziert sich der Ausgangskondensator um den Faktor 40 gegenüber dem einphasigen LLC-Wandlers mit gleicher Leistung und gleicher Spannungswelligkeit. Im Falle, dass die Last eine Batterie ist, kommt eine Drossel hinzu, die beim 3-phasigen LLC ebenfalls signifikant kleiner ist.
Die 3-phasige Lösung wurde als Patent angemeldet, um den entwickelten technischen Ansatz zu schützen.
Das Simulations-File der Schaltung steht für LTspice zur Verfügung und kann bei Interesse direkt beim Autor angefordert werden.
Prototypen und Serien des Ferrit-Transformators können bei der Firma Blinzinger Elektronik in Forchtenberg geordert werden. (mr)
* Dr.-Ing. Heinz Schmidt-Walter ist Emeritierter Professor bei Schmidt-Walter Schaltnetzteile