Von allen Seiten steigt der Druck, Vielschicht-Keramikkondensatoren in immer kleineren Bauformen einzusetzen. Damit rückt die spannungsabhängige Kapazität, der DC-Bias, in den Fokus. Unser Tipp zeigt, wie Sie diesen nichtlinearen Effekt in LTSpice simulieren.
Analogtipp: Einige Tipps, wie Sie MLCCs in LTSpice einfach simulieren können.
(Bild: VCG)
Das Ziel bei Vielschicht-Keramikkondensatoren (MLCC – multi layer ceramic capacitor) ist klar: Immer höhere Kapazitätswerte auf immer kleinerem Raum unterzubringen, damit auch an dieser Stelle die Miniaturisierung fortschreiten kann.
Dazu werden Werkstoffe mit hoher Permittivität (dielektrische Leitfähigkeit) verwendet und die isolierenden Schichten des Dielektrikums immer dünner ausgeführt. Das gelingt, weil derartige keramische Schichten heute mit hoher Qualität im industriellen Maßstab produziert werden können.
Leider ist die Permittivität eine Funktion der elektrischen Feldstärke, wodurch die Kapazität eines Kondensators spannungsabhängig wird. Je nach Keramikart und Schichtdicke ist ein Kapazitätsrückgang auf unter 10 Prozent des Nennwerts bei der maximal zulässigen Spannung keine Seltenheit.
In Anwendungen, die mit konstanter Spannung am MLCC arbeiten (z.B. bei Pufferkondensatoren), können Sie diesen Effekt leicht simulieren, indem Sie den Kapazitätswert dem Datenblatt oder einem Online-Tool des MLCC-Herstellers entnehmen. Die Grundlage bildet die Restkapazität bei der eingesetzten Spannung.
Was passiert bei veränderlicher Spannung?
Was passiert aber, wenn die Spannung veränderlich ist? Beispielsweise der Eingangsfilter eines Schaltreglers, der mit 5 V aus dem USB-Anschluss, aber auch mit 24 V aus einer Industrieversorgung betrieben werden soll? Oder die AC-Kopplung eines Zweidraht-Ethernet-PHYs, wenn auf denselben Leitungen die Versorgung mit unterschiedlichen Spannungswerten erfolgt?
Schaltungssimulationen mit LTSpice geben in solchen Situationen einen guten Einblick. Einige MLCC-Hersteller bieten entsprechende DC-Bias-Modelle zum Download an. Wir konzentrieren uns hier auf Methoden in LTSpice, mit Hilfe derer Sie das spannungsabhängige Verhalten simulieren können.
Lineare und nichtlineare Kondensatormodelle in LTSpice
Bild 1: Tanh-Näherungsfunktion und zugehörige Parameter.
(Bild: ADI)
Der Spice-Simulator bietet neben dem bekannten Kondensatormodell mit konstanter Kapazität ein nichtlineares Modell an, welches eine Ladungsgleichung auswertet. Basis dabei ist die erforderliche Ladungserhaltung des Kondensators. Das stört nicht weiter, da sich die Kapazität durch Differentiation der Ladung nach der Spannung ergibt.
Im umgekehrten Fall muss die Stammfunktion (Integral) der spannungsabhängigen Kapazität gebildet werden. Die folgenden Modelle beinhalten die erforderlichen mathematischen Umformungen bereits, um sie direkt einzusetzen.
In erster Ordnung verwendet man eine lineare Spannungsabhängigkeit C(Ubias) = C0 – Ubias [(C0 – CUmax) / Umax. Daraus ergibt sich durch Integration die Ladungsgleichung Q(Ubias) = Ubias∙C(0 V ) – 1/2 U2bias (C(0 V) – C(Umax) / Umax. Diese lässt sich nun direkt in LTSpice-Nomenklatur statt des Kapazitätswerts im Kondensator einsetzen: Q=x*{c0V}–0.5*x**2*({c0V}–{cUmax})/{Umax}.
Schneller Kapazitätsabfall und Sättigung: Das tanh-Modell
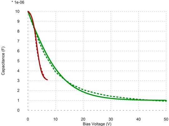
Bild 2: 10-µF-MLCC; rot 6,3 V 0805 Hersteller 1; grün 50 V 1210 Hersteller 2. Die Linie zeigt die tanh-Näherung.
(Bild: ADI)
Bei vielen MLCC fällt die Kapazität aber schon bei moderatem DC-Bias schnell ab und sättigt dann nahezu auf einem niedrigen Wert. Nimmt man in diesen Fällen nur das lineare Modell, wird die effektive Kapazität in einem großen Spannungsbereich zu hoch simuliert.
Für diesen Fall kann ein auf dem hyperbolischen Tangens (tanh) basierendes Modell C(Ubias) = (C0 –Csat) / 2 [1 – tanh (2(Ubias – Uth) / Utra)] + Csat verwendet werden, für das die Parameter ohne weitere Hilfsmittel leicht abgeschätzt werden können.
Auch dabei kann der Kapazitätswert einfach durch die Ladungsgleichung Q = x*({C0+Csat})/2+({Csat–C0})/4*{Utra}*ln(cosh((x–{Uth})*2/{Utra})) ersetzt werden.
Das Kondensatormodell in LTSpice überprüfen
Bild 3: Beispiel eines MLCCs (10 µF; 6,3 V) mit verschiedenen Kapazitätsmodellen in LTSpice.
(Bild: ADI)
Um das Kondensatormodell in LTSpice zu überprüfen, legen Sie eine linear ansteigende Spannung mit dU/dt = 1 V/s an. Der Strom durch den Kondensator I = C∙dU/dt entspricht vom Betrag her dem Kapazitätswert. Bild 1 zeigt, dass die vorgeschlagenen nichtlinearen Modelle dem Standardmodell mit konstanter Kapazität überlegen sind. Bei einem derartigen Kapazitätsverlauf ist für die meisten Anwendungen das lineare Modell ausreichend.
Stand: 08.12.2025
Es ist für uns eine Selbstverständlichkeit, dass wir verantwortungsvoll mit Ihren personenbezogenen Daten umgehen. Sofern wir personenbezogene Daten von Ihnen erheben, verarbeiten wir diese unter Beachtung der geltenden Datenschutzvorschriften. Detaillierte Informationen finden Sie in unserer Datenschutzerklärung.
Einwilligung in die Verwendung von Daten zu Werbezwecken
Ich bin damit einverstanden, dass die Vogel Communications Group GmbH & Co. KG, Max-Planckstr. 7-9, 97082 Würzburg einschließlich aller mit ihr im Sinne der §§ 15 ff. AktG verbundenen Unternehmen (im weiteren: Vogel Communications Group) meine E-Mail-Adresse für die Zusendung von redaktionellen Newslettern nutzt. Auflistungen der jeweils zugehörigen Unternehmen können hier abgerufen werden.
Der Newsletterinhalt erstreckt sich dabei auf Produkte und Dienstleistungen aller zuvor genannten Unternehmen, darunter beispielsweise Fachzeitschriften und Fachbücher, Veranstaltungen und Messen sowie veranstaltungsbezogene Produkte und Dienstleistungen, Print- und Digital-Mediaangebote und Services wie weitere (redaktionelle) Newsletter, Gewinnspiele, Lead-Kampagnen, Marktforschung im Online- und Offline-Bereich, fachspezifische Webportale und E-Learning-Angebote. Wenn auch meine persönliche Telefonnummer erhoben wurde, darf diese für die Unterbreitung von Angeboten der vorgenannten Produkte und Dienstleistungen der vorgenannten Unternehmen und Marktforschung genutzt werden.
Meine Einwilligung umfasst zudem die Verarbeitung meiner E-Mail-Adresse und Telefonnummer für den Datenabgleich zu Marketingzwecken mit ausgewählten Werbepartnern wie z.B. LinkedIN, Google und Meta. Hierfür darf die Vogel Communications Group die genannten Daten gehasht an Werbepartner übermitteln, die diese Daten dann nutzen, um feststellen zu können, ob ich ebenfalls Mitglied auf den besagten Werbepartnerportalen bin. Die Vogel Communications Group nutzt diese Funktion zu Zwecken des Retargeting (Upselling, Crossselling und Kundenbindung), der Generierung von sog. Lookalike Audiences zur Neukundengewinnung und als Ausschlussgrundlage für laufende Werbekampagnen. Weitere Informationen kann ich dem Abschnitt „Datenabgleich zu Marketingzwecken“ in der Datenschutzerklärung entnehmen.
Falls ich im Internet auf Portalen der Vogel Communications Group einschließlich deren mit ihr im Sinne der §§ 15 ff. AktG verbundenen Unternehmen geschützte Inhalte abrufe, muss ich mich mit weiteren Daten für den Zugang zu diesen Inhalten registrieren. Im Gegenzug für diesen gebührenlosen Zugang zu redaktionellen Inhalten dürfen meine Daten im Sinne dieser Einwilligung für die hier genannten Zwecke verwendet werden. Dies gilt nicht für den Datenabgleich zu Marketingzwecken.
Recht auf Widerruf
Mir ist bewusst, dass ich diese Einwilligung jederzeit für die Zukunft widerrufen kann. Durch meinen Widerruf wird die Rechtmäßigkeit der aufgrund meiner Einwilligung bis zum Widerruf erfolgten Verarbeitung nicht berührt. Um meinen Widerruf zu erklären, kann ich als eine Möglichkeit das unter https://contact.vogel.de abrufbare Kontaktformular nutzen. Sofern ich einzelne von mir abonnierte Newsletter nicht mehr erhalten möchte, kann ich darüber hinaus auch den am Ende eines Newsletters eingebundenen Abmeldelink anklicken. Weitere Informationen zu meinem Widerrufsrecht und dessen Ausübung sowie zu den Folgen meines Widerrufs finde ich in der Datenschutzerklärung, Abschnitt Redaktionelle Newsletter.
Bild 2: Simulation der Störstromunterdrückung des Eingangsfilters beim Abwärtswandler LT8619 von der Wandlerseite aus bei verschiedenen Versorgungsspannungen mit dem tanh-Modell.
(Bild: ADI)
Im vorliegenden Fall haben wir nur einen einzelnen nichtidealen Effekt simuliert. Auswirkungen von Alterung, Temperaturabhängigkeit, Frequenzabhängigkeit, AC-Amplitudenabhängigkeit oder dielektrischer Absorption werden nicht berücksichtigt. In vielen Anwendungen dominiert jedoch die DC-Bias-Abhängigkeit und es reicht somit vollkommen aus, wenn Sie ausschließlich Auswirkungen des DC-Bias betrachten.
* Reiner Bidenbach arbeitet als Applikationsingenieur bei Analog Devices in Freiburg.