Eine Induktivität ist eines der grundlegenden Bauteile einer elektronischen Schaltung, kann aber von Entwicklungsingenieuren übersehen oder missverstanden werden. In diesem Beitrag beschäftigen wir uns mit den wesentlichen theoretischen Grundlagen der Funktionsweise von Induktivitäten, ihren Anwendungsbereichen und den verschiedenen Bauarten.
Bild 1: Gleichtaktdrossel 04770x von Bourns.
(Bild: Mouser Electronics)
Was ist eine Induktivität?
Eine Induktivität ist ein passives Bauteil, das Energie in einem Magnetfeld speichert. Er besteht in der Regel aus einer Drahtspule, die an zwei Klemmen angeschlossen ist. Der Draht ist isoliert, um Kurzschlüsse zu vermeiden, und die Spule kann einen Kern aus einem Material haben, das die Stärke des Magnetfelds erhöht.
Eine Änderung des elektrischen Stroms, der durch eine Induktivität fließt, erzeugt ein Magnetfeld, das diese Änderung des Stroms hemmt. Das Feld ist proportional zur Änderungsrate des Stroms. Das bedeutet, dass sich schnell ändernde Signale stärker gehemmt werden als sich langsam ändernde Ströme. Eine Induktivität wirkt also wie ein Filter, der höherfrequente Signale blockiert. Daher werden Induktivitäten häufig auch als Drosseln bezeichnet.
Bildergalerie
Induktivitäten sind für viele verschiedene Schaltungsanwendungen unerlässlich. Aufgrund ihrer Vielseitigkeit werden Induktivitäten in zahlreichen Systemen eingesetzt, von IoT-Sensoren bis hin zu Antriebssträngen für Elektrofahrzeuge. Induktivitäten sind in der Regel kostengünstige Komponenten, die in großen Stückzahlen ausgeliefert werden. Laut einer Studie wird der Weltmarkt für Induktivitäten voraussichtlich von 5,1 Mrd. US-$ im Jahr 2022 auf 7 Mrd. US-$ im Jahr 2027 wachsen.
Wie funktioniert eine Induktivität?
Wenn der sich ändernde elektrische Strom in einer Induktivität ein Magnetfeld erzeugt, wird in diesem Feld Energie gespeichert. Die Stärke des magnetischen Feldflusses und damit die Menge der gespeicherten Energie hängt von mehreren Faktoren ab, beispielsweise von der Größe und Form der Spule, der Anzahl der Drahtwindungen in der Spule und davon, ob sie einen festen Kern hat. Ein ferromagnetisches Material wie Eisen kann die Feldstärke stark erhöhen.
Das Verhältnis zwischen der magnetischen Flussverkettung und dem Strom I wird als Induktivität L eines bestimmten Bauteils wie folgt definiert:
(1)
Dabei ist N = Anzahl der Windungen in der Spule, ΦB = magnetischer Fluss und I ist der Strom, der durch die Spule fließt.
Da sich das Magnetfeld mit der Zeit verändert, induziert es in der Drahtspule eine elektromotorische Kraft (EMK) oder Spannung. Die Lenzsche Regel besagt, dass die Richtung dieser Spannung die Änderung des Stroms hemmt.
Das Faraday'sche Induktionsgesetz besagt, dass die Größe der induzierten Spannung proportional zur Änderungsrate des Magnetfeldes ist:
(2)
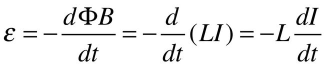
Wenn man also diese Gleichung umstellt und L aus der ersten Gleichung einsetzt, ergibt sich:
(3)
Die Spannung können wir hierbei wie folgt berechnen:
(4)
Wenn wir also die Induktivität eines Bauteils kennen, können wir die Beziehung zwischen Strom und Spannung berechnen, ohne Werte für das Magnetfeld selbst ableiten zu müssen.
Wenn sich der Strom durch die Spule nicht mehr ändert und konstant bleibt, sinkt die induzierte Spannung daher auf Null. Das Magnetfeld speichert immer noch potenzielle Energie.
Die Einheit der Induktivität ist Henry (H), und die Induktionswerte in den gängigen Bauteilen reichen von 1 µH bis 10 H und mehr.
Eine tatsächliche Induktivität (als Bauteil) wird natürlich nicht genau diesem theoretischen Verhalten einer idealen Induktivität entsprechen. Denn neben den oben genannten Faktoren sind weitere Einflussgrößen zur berücksichtigen, z. B. der Widerstand des Drahtes und die parasitäre Kapazität zwischen den Drahtwindungen in der Spule.
Anwendungsbeispiele für Induktivitäten
Induktivitäten werden in vielen verschiedenen Bereichen eingesetzt. Eine der wichtigsten allgemeinen Anwendungen ist die Filterung in Stromversorgungen, um hochfrequentes Rauschen und Restwelligkeit zu entfernen. Die Induktivität fungiert als Tiefpassfilter, der den Gleichstrom durchlässt und höhere Frequenzen blockiert. Ein spezieller Anwendungsfall ist die Rauschunterdrückung in differentiellen Paaren von Strom- oder Datenkabeln, wo Gleichtaktdrosseln das in den Kabeln induzierte Gleichtaktrauschen entfernen.
Diese Hochfrequenzfilterung ist wichtig, um elektromagnetische Störungen (EMI) zu reduzieren und die Normen für elektromagnetische Verträglichkeit (EMV) zu erfüllen; ohne diese Filterung können Produkte nicht legal verkauft werden.
Im Automotive-Bereich nimmt die EMI-Problematik aufgrund der zunehmenden Anzahl elektronischer Module und Systeme im Fahrzeug zu. Da es immer mehr Schaltnetzteile gibt, nehmen auch die elektromagnetischen Störungen (EMI) zu, die reduziert werden müssen.
Eine weitere Verwendung von Induktivitäten ist die Kombination mit Kondensatoren, um einen LC-Schaltkreis oder LC-Filter zu bilden, der auch als Resonanzkreis oder abgestimmter Schaltkreis bezeichnet wird. Der einfachste LC-Filter verwendet eine Induktivität (L) und einen Kondensator (C). Durch Hinzufügen weiterer Komponenten kann die Leistung beim Blockieren unerwünschter Frequenzen verbessert werden. Eine LC-Schaltung kann auch als Bandpassfilter verwendet werden, der nur Signale in einem bestimmten Frequenzbereich durchlässt.
Stand: 08.12.2025
Es ist für uns eine Selbstverständlichkeit, dass wir verantwortungsvoll mit Ihren personenbezogenen Daten umgehen. Sofern wir personenbezogene Daten von Ihnen erheben, verarbeiten wir diese unter Beachtung der geltenden Datenschutzvorschriften. Detaillierte Informationen finden Sie in unserer Datenschutzerklärung.
Einwilligung in die Verwendung von Daten zu Werbezwecken
Ich bin damit einverstanden, dass die Vogel Communications Group GmbH & Co. KG, Max-Planckstr. 7-9, 97082 Würzburg einschließlich aller mit ihr im Sinne der §§ 15 ff. AktG verbundenen Unternehmen (im weiteren: Vogel Communications Group) meine E-Mail-Adresse für die Zusendung von redaktionellen Newslettern nutzt. Auflistungen der jeweils zugehörigen Unternehmen können hier abgerufen werden.
Der Newsletterinhalt erstreckt sich dabei auf Produkte und Dienstleistungen aller zuvor genannten Unternehmen, darunter beispielsweise Fachzeitschriften und Fachbücher, Veranstaltungen und Messen sowie veranstaltungsbezogene Produkte und Dienstleistungen, Print- und Digital-Mediaangebote und Services wie weitere (redaktionelle) Newsletter, Gewinnspiele, Lead-Kampagnen, Marktforschung im Online- und Offline-Bereich, fachspezifische Webportale und E-Learning-Angebote. Wenn auch meine persönliche Telefonnummer erhoben wurde, darf diese für die Unterbreitung von Angeboten der vorgenannten Produkte und Dienstleistungen der vorgenannten Unternehmen und Marktforschung genutzt werden.
Meine Einwilligung umfasst zudem die Verarbeitung meiner E-Mail-Adresse und Telefonnummer für den Datenabgleich zu Marketingzwecken mit ausgewählten Werbepartnern wie z.B. LinkedIN, Google und Meta. Hierfür darf die Vogel Communications Group die genannten Daten gehasht an Werbepartner übermitteln, die diese Daten dann nutzen, um feststellen zu können, ob ich ebenfalls Mitglied auf den besagten Werbepartnerportalen bin. Die Vogel Communications Group nutzt diese Funktion zu Zwecken des Retargeting (Upselling, Crossselling und Kundenbindung), der Generierung von sog. Lookalike Audiences zur Neukundengewinnung und als Ausschlussgrundlage für laufende Werbekampagnen. Weitere Informationen kann ich dem Abschnitt „Datenabgleich zu Marketingzwecken“ in der Datenschutzerklärung entnehmen.
Falls ich im Internet auf Portalen der Vogel Communications Group einschließlich deren mit ihr im Sinne der §§ 15 ff. AktG verbundenen Unternehmen geschützte Inhalte abrufe, muss ich mich mit weiteren Daten für den Zugang zu diesen Inhalten registrieren. Im Gegenzug für diesen gebührenlosen Zugang zu redaktionellen Inhalten dürfen meine Daten im Sinne dieser Einwilligung für die hier genannten Zwecke verwendet werden. Dies gilt nicht für den Datenabgleich zu Marketingzwecken.
Recht auf Widerruf
Mir ist bewusst, dass ich diese Einwilligung jederzeit für die Zukunft widerrufen kann. Durch meinen Widerruf wird die Rechtmäßigkeit der aufgrund meiner Einwilligung bis zum Widerruf erfolgten Verarbeitung nicht berührt. Um meinen Widerruf zu erklären, kann ich als eine Möglichkeit das unter https://contact.vogel.de abrufbare Kontaktformular nutzen. Sofern ich einzelne von mir abonnierte Newsletter nicht mehr erhalten möchte, kann ich darüber hinaus auch den am Ende eines Newsletters eingebundenen Abmeldelink anklicken. Weitere Informationen zu meinem Widerrufsrecht und dessen Ausübung sowie zu den Folgen meines Widerrufs finde ich in der Datenschutzerklärung, Abschnitt Redaktionelle Newsletter.
Die Fähigkeit von Induktivitäten, Energie für kurze Zeit zu speichern, bedeutet, dass sie in DC/DC-Wandlern sehr hilfreich sein können. Die Kombination mehrerer Induktivitäten mit einem gemeinsamen Magnetfeld ist die Grundlage für die Herstellung von Transformatoren.
Induktivitäten werden auch in Relais und Schaltgeräten verwendet, wo das Magnetfeld die Bewegung von Kontakten bewirkt, die einen elektronischen Schalter schließen und den Stromfluss zur Last ermöglichen. Bei Induktionsmotoren, wird beispielsweise mithilfe eines Wechselstroms ein Magnetfeld in der Spule erzeugt, das eine Motorspindel in Drehung versetzt.
Wir haben bereits oben beschrieben, dass ein ferromagnetischer Kern den Induktionswert einer Spule stark verändern kann. Dies ist die Kerneigenschaft von induktiven Sensoren: Wenn ein metallischer Gegenstand in die Nähe der Spule eine Induktivität kommt, kann die Stromänderung in der Spule erfasst werden. Induktive Sensoren sind in der Automatisierung und in industriellen Prozessen weitverbreitet, unter anderem, weil sie keinen physischen Kontakt benötigen und daher auch bei Staub, Wasser oder Schmutz gut funktionieren. Induktive Sensoren werden z. B. auch verwendet, um die Anwesenheit von Fahrzeugen an Verkehrsknotenpunkten zu erkennen.
Induktivitäten kommen außerdem zum Einsatz, um die Impedanzen einer Stromquelle an die Impedanzen der zu versorgenden Last anzupassen. Dadurch wird die an die Last übertragene Leistung und damit der Wirkungsgrad des Systems optimiert.
Typen von Induktivitäten
Es gibt verschiedene weitverbreitete Arten von Induktivitäten, beispielsweise mit Luftkern, Eisenkern und Ferritkern. Sie sind in vielen verschiedenen Formen und Größen, von winzigen oberflächenmontierten Bauteilen bis hin zu großen Spulen erhältlich.
Eine Luftkerninduktivität ist, wie der Name schon sagt, ein Bauteil ohne ferromagnetischen Kern. Wie wir bereits beschrieben haben, ist die Induktivität geringer; allerdings treten bei Luftspulen nicht die Energieverluste auf, die bei ferromagnetischen Kernen aufgrund von Wirbelströmen und Hysterese auftreten. Da diese Kernverluste mit steigender Frequenz zunehmen, sind LuftkernInduktivitäten häufig die bevorzugte Wahl für Anwendungen im Hochfrequenz-(HF-)Bereich.
Andere Induktivitätstypen haben einen ferromagnetischen Kern, um ihre Induktivität zu erhöhen. In einigen Fällen ist die Induktivität damit um einen Faktor von mehreren Tausend größer im Vergleich zu einer Induktivität mit Luftkern.
Eisenkerne kommen sehr häufig zum Einsatz und bieten für viele Anwendungen eine hervorragende Leistung. Der Kern kann mit dünnen Metallblechen laminiert werden, wodurch Wirbelströme reduziert werden. Für höhere Frequenzen kann ein Ferritkern verwendet werden. Da Ferrit nicht leitend ist, können keine Wirbelströme auftreten.
Produktvorstellung
Mouser Electronics ist ein autorisierter Distributor für viele Hersteller von Induktivitäten, wie beispielsweise Abracon, Bourns, Coilcraft, Epcos, Murata, Taiyo Yuden, TDK, Vishay und Würth Elektronik. Im Folgenden sehen wir uns fünf Beispiele für Induktivitäten für verschiedene Anwendungsbereiche an.
Ein Beispiel für eine Drossel ist die Gleichtaktdrossel 04770x von Bourns (Bild 1), die sich durch ein kompaktes Gehäuse mit ausgezeichneter Dämpfung für symmetrisches und asymmetrisches Rauschen auszeichnet. Die Serie 04770x bietet Induktivitätswerte von 1,5 mH bis 3,3 mH und arbeitet in einem breiten Temperaturbereich von –25 bis 125 °C. Typische Anwendungen für diese Drosseln sind Frequenzumrichter, Antriebe und Steuerschaltungen, Wallboxen und Netzteile.
Die gegossenen SMD-LeistungsInduktivitäten ASPI-F4030 und ASPI-F6060 von Abracon (Bild 2) eignen sich insbesondere für die DC/DC-Wandlung in Schaltnetzteilen. Diese winzigen oberflächenmontierbaren Bauteile mit Abmessungen von nur 4,1 mm × 4,1 mm × 3,1 mm kommen häufig in den Bereichen Elektrofahrzeuge, Robotik, Infotainment und Karosserieelektronik zum Einsatz und bieten einen hohen Wirkungsgrad sowie eine abgeschirmte Konstruktion.
Die halbgeschirmten LeistungsInduktivitäten SRN3010C von Bourns (Bild 3) sind mit einer magnetischen Siliziumdioxid-Beschichtung um die Drosselspulenwicklung herum versehen, um eine wirksame Abschirmung zu gewährleisten. Dadurch strahlen sie ein geringeres Magnetfeld ab als nicht abgeschirmte Induktivitäten. Diese kleinen LeistungsInduktivitäten mit einer Größe von nur 2,0 mm besitzen einen Induktivitätsbereich von 1 µH bis 47 µH und einen Nennstrom von bis zu 3,4 A. Sie eignen sich gut für den Einsatz in DC/DC-Wandlern und Stromversorgungen in Verbraucher-, Industrie- und Telekommunikationsanwendungen.
Zur Rauschunterdrückung in Anwendungen mit höherer Leistung, wie z. B. in Hochstromschaltnetzteilen, sollten Entwickler die LeistungsInduktivitäten für die Oberflächenmontage Power Solutions 3000D von Murata in Betracht ziehen ((https://www.mouser.co.uk/new/murata/murata-3000d-power-inductors/)). Sie bieten einen Nennstrom von bis zu 80 A, einen Induktivitätsbereich von 90 nH bis 155 nH und eine flache Bauform.
Die Single-Pair-Ethernet-(SPE-)Induktivitäten für den industriellen Bereich von EPCOS/TDK ((https://www.mouser.co.uk/new/tdk/tdk-industrial-spe-inductors/)) (Bild 5) sind für Power-over-Ethernet-Anwendungen (PoE) konzipiert. Die Unterdrückung asymmetrischer Störungen ist bei PoE wichtig, damit Systeme einen störungsfreien Datenverkehr und eine störungsfreie Stromversorgung in denselben physikalischen Kabeln gewährleisten können.
Induktivitäten: ein fundamental wichtiges passives Bauteil
Die einfache Induktivität ist ein entscheidendes Bauteil in quasi jedem Elektronikdesign und bietet vielfältige Einsatzmöglichkeiten beispielsweise zur Filterung, Leistungsumwandlung und bei Schaltungsanwendungen. Es gibt viele verschiedene Induktivitäten mit einer großen Bandbreite an elektrischen und physikalischen Eigenschaften.
Mouser bietet ein umfassendes Sortiment an Induktivitäten von branchenführenden Anbietern sowie eine fachkundige Beratung. So können Sie für jede Anwendung die richtige Induktivität finden. (tk)
* Mark Patrick ist Director of Technical Content, EMEA, bei Mouser Electronics.