Wie Messabweichungen korrigiert werden können
Messtechniker schlagen sich täglich mit ihr herum: der Messabweichung. Doch was bedeutet sie für meine Messung und wie kann ich sie korrigieren? Der Beitrag gibt Antworten.
Anbieter zum Thema

Eine typische interne Struktur eines Messsystems zur Temperaturmessung zeigt das Bild 1. Jede einzelne der internen Funktionskomponenten führt das jeweilige Eingangssignal in ein Ausgangssignal über, wobei der Zusammenhang durch eine Kennlinie angegeben werden kann. Im Messsystem werden die Kennlinien jeder einzelnen Komponente hintereinander geschaltet. Das Ergebnis ist eine Kennlinie, die gesamte Messsystem beschreibt. Für einen Hersteller besteht die Kunst darin, diese Kennlinie möglichst so zu gestalten, dass sie dem Ideal xa(xw) = xw (Formel 1) möglichst weit entspricht, also einer Geraden.
Der konkrete Verlauf einer Kennlinie hängt aber von Herstellungstoleranzen und von externen Einflusseffekten während des Messprozesses (Störgrößen) ab, so dass zwischen dieser Idealkennlinie und der realen Kennlinie eine von der Messgröße xw abhängige Messabweichung e(xw) = xa(xw) - xw (Formel 2) existiert, wie sie in Bild 2 dargestellt ist. Die Abkürzung e hat sich in vielen Publikationen etabliert. Sie stammt vom englischen Error ab, dem im Angelsächsischen hierfür dominierenden Fachbegriff.
Im Deutschen wurde die Bezeichnung Fehler bereits vor längerer Zeit durch Abweichung ersetzt. Der Grund liegt darin, dass im üblichen Sprachgebrauch unter einem Fehler eine Fehlfunktion eines technischen Systems verstanden wird, was hier jedoch nicht gemeint ist. Leider ist eine reale Kennlinie xa(xw) ein recht theoretisches Gebilde und bleibt bei der Anwendung des Messsystems unbekannt. Der Hersteller kann nicht für jede denkbare Kombination von Störgrößen und bezogen auf jedes gefertigte System die jeweilige Kennlinie exakt angeben.
Worst Case und relative Messabweichungen
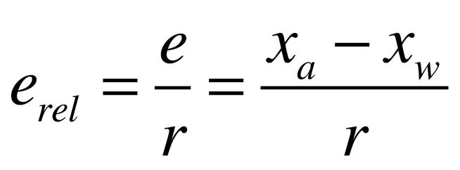
Deshalb ist der Hersteller bemüht, sogenannte Worst-Case-Fälle zu betrachten und die hierfür geltenden maximal zu erwartenden Messabweichungen zu spezifizieren. Die realen Kennlinienpunkte können in der praktischen Anwendung sowohl oberhalb als auch unterhalb der Idealkennlinie sein – die zugehörigen Messabweichungen also positiv oder negativ sein. Deshalb ist es üblich, dass eine Worst-Case-Angabe mit einem ±-Wert angegeben werden. Messabweichungen findet man alternativ zur genannten Definition als Absolutangabe (±0,5 °C) häufig auch als Relativangabe in Prozent (±1,3%) bzw. Teilen davon (Promille ‰ oder Parts per Million, ppm). Relative Messabweichungen erel ergeben sich aus den entsprechenden Absolutabweichungen e gemäß Formel 3.
Die Variable r ist hierbei ein Referenzwert, für den nachfolgende drei unterschiedliche Definitionen üblich sind:
- bezogen auf den Messwert: r = xa (Formel 4)
- bezogen auf die Spanne: r = xmax - xmin (Formel 5)
- bezogen auf den Messbereichsendwert:
r = xmax (6)
Die Angabe einer relativen Messabweichung ohne Hinweis auf den benutzten Referenzwert ist wertlos. Die sich jeweils ergebenden Prozentzahlen können bei ein und demselben Absolutwert in einer sehr unterschiedlichen Größenordnung liegen, wie am Beispiel eines Temperaturmessgeräts, wenn man einen Messbereich von -40 bis 120 °C und einen Messwert von 20 °C annimmt: absolute Messabweichung: ±0,5 °C, relative Messabweichung, bezogen auf den Messwert: ±2,5%, relative Messabweichung, bezogen auf die Spanne: ≈ ±0,3% und relative Messabweichung, bezogen auf den Messbereichsendwert:≈ ±0,4%.
Der Messbereichsendwert als Referenzwert findet allgemeine Anwendung, wenn der Messbereichsbeginn bei 0 liegt. In diesem Fall ergeben sich gleiche Relativabweichungen wie bei der Berechnung auf Basis der Spanne. Generell muss der Anwender bei auf Messbereichsendwerten bezogenen Relativangaben - bei Spannen gilt analoges – vorsichtig sein: So täuscht die entsprechende Angabe von 1% für einen Spannungsmessbereich von 0 bis 10 V eine eher kleine Abweichung vor. Misst man jedoch bei eher kleineren Spannungen in diesem Messbereich, sieht es im Detail ganz anders aus. Die generell zu erwartende maximale Absolutabweichung von 0,1 V (gemäß 1% von 10 V) heißt bei einem Messwert von 1 V eine auf diesen bezogene Relativabweichung von 10% (gemäß 0,1 V/1 V), bei nur noch 0,1-V-Messwert ergeben sich bereits 100% (gemäß 0,1 V/0,1 V).
Die Nullpunktkorrektur und eine definierte Messgröße
Eine systematische Messabweichung kann bis zu einem gewissen Teil vom Anwender korrigiert werden: Am häufigsten und auch am einfachsten durchführbar ist die Nullpunktkorrektur (auch Offsetkorrektur) gemäß Bild 3, links. Korrigiert wird hierbei die Nullpunktabweichung unter den konkret zum Zeitpunkt der Kalibrierung herrschenden Betriebsbedingungen, also insbesondere den dabei gerade vorhandenen Störgrößen (Temperatur oder Feuchte). Sehr zuverlässig wird damit generell auch die durch Fertigungsstreuungen vorhandene Nullpunktabweichung des Messsystems korrigiert.
Für eine Nullpunktkorrektur muss zunächst einmalig bei der Erstinbetriebnahme an einem Kalibrierpunkt eine definierte Messgröße durch geeignete Maßnahmen erzeugt werden. Das Messsystem wird mit einem Messwert antworten, der entsprechend der aktuellen realen Kennlinie (im Bild als durchgezogene Linie gezeichnet) nach oben oder unten gegenüber der (gestrichelten) idealen Kennlinie verschoben ist. Der Kalibrierpunkt ist beim Nullpunkt des Messbereichs. Die bei der Kalibriermessung gewonnene Nullpunktabweichung muss bei allen nachfolgenden echten Messungen vorzeichenrichtig korrigiert werden. Sämtliche Änderungen in den Betriebsbedingungen gegenüber dem Kalibrierzeitpunkt wie auch Drifteffekte führen zu einer Verschlechterung dieser Korrekturmaßnahme, was Rekalibrierungen in angemessenen Zeitabständen sinnvoll machen kann.
Es hängt sehr von der Art der Messgröße ab, ob diese mit vernünftigem Aufwand durch den Anwender künstlich generiert werden kann. Mit am einfachsten ist dies beispielsweise bei Wägesystemen. Der Nullpunkt wird hier ganz einfach dadurch dargestellt, dass kein Wägegut während der Kalibriermessung aufgebracht ist (in der Wägetechnik die Tara-Funktion, womit beispielsweise zusätzlich das Leergewicht von unterschiedlichen Wägebehältern kompensiert wird). Oder bei Abstandsmessungen (ein Abstand 0 ist einfach einstellbar) oder Messungen vieler elektrischer Größen wie Spannung, Strom oder Widerstand.
Messsysteme mit Beschleunigungssensoren lassen sich bezogen auf ihren Nullpunkt kalibrieren, indem man sie so auf einer ebenen Fläche ablegt, dass ihre Messrichtung parallel zur Erdoberfläche liegt, also keine Beschleunigung (auch nicht die Erdbeschleunigung von je nach Standort in Deutschland etwa 9,81 m/s²) wirkt. Bei Temperaturmessungen wird es schon schwieriger, hier müssten 0 °C durch gefrierendes Wasser oder eine Klimakammer erzeugt werden.
Kombinierte Nullpunkt- und Steigungskorrektur

Mehr Aufwand erfordert die kombinierte Nullpunkt- und Steigungskorrektur gemäß Bild 3, rechts. Es sind zwei Kalibriermessungen erforderlich. Zusätzlich zur Messung am Nullpunkt ist noch ein zweiter Kalibrierpunkt zu wählen, meist wird hierfür der Messbereichsendwert gewählt. Ziel der Korrekturrechnung für den nachfolgenden echten Messbetrieb ist es, dass unter den Betriebsbedingungen zum Kalibrierzeitpunkt die reale Kennlinie so vertikal verschoben und um ihren Nullpunkt gedreht wird, dass für die beiden Kalibrierpunkte keine Messabweichungen mehr existieren. Anders ausgedrückt: Stellt man sich eine Hilfsgerade durch die beiden im Bild gekennzeichneten Kalibrierpunkte vor, so weist diese eine Steigung auf, die von der Steigung der idealen Kennlinie abweicht (im Beispiel des Bildes steiler ist). Durch die Korrektur wird die so definierte Steigung der realen Kennlinie der Steigung der idealen Kennlinie angepasst.
Wer den im Display eines Multimeters angezeigten Messwert einer beliebigen Gleichgröße (konstante Spannung einer Batterie) über einen gewissen Zeitraum beobachtet, wird feststellen, dass sich mitunter die letzten numerischen Stellen mehr oder weniger zufällig laufend verändern. Die Ursachen liegen hierbei typischerweise in elektronischen Rauschvorgängen des analogen Schaltungsteils des Multimeters sowie in elektromagnetischen Einstreuungen der wie eine Antenne wirkenden Anschlussleitungen. Gleiches gilt generell für die meisten Messprozesse, insofern analoge elektrische Signale zu verarbeiten sind, also auch für sämtliche Systemlösungen mit PC-Messkarten bzw. -modulen.
Statistische Abweichungen und ihre Korrektur
Aufgrund der statistischen Natur dieser physikalischen Vorgänge lässt sich der genaue Anzeigewert dieser fließenden letzten numerischen Stellen nicht vorhersagen. Wer sich jedoch die Mühe macht, eine größere Anzahl bis auf die letzte Stelle nach und nach vom Display abgelesener (oder per Software von einem Messmodul in eine PC-Applikation eingelesener) Messwerte zu notieren, kann eine gewisse statistische Gesetzmäßigkeit erkennen. Die überwiegende Mehrzahl solcher statistischer Prozesse in der Messtechnik nähert sich zumindest grob der bekannten Normalverteilung, welche auch als Gaußverteilung bekannt ist, mit ihrer charakteristischen Glockenform an. Bei einer echten Normalverteilung liegen:
- ca. 68,3% aller Messwerte in einem Bereich von ±1 s um einen Mittelwert x–a
- ca. 95,5% aller Messwerte in einem Bereich von ±2 s um und x–a
- ca. 99,7% aller Messwerte in einem Bereich von ±3 s um x–a
Die Normalverteilung reicht von -∞ bis +∞. In der Praxis wird man das jedoch nicht beobachten. Die reale Glockenkurve wird in ihrer Breite begrenzt sein: Sie wird letztlich gegenüber dem Original seitlich etwas eingedrückt. Deshalb geht der Messtechniker davon aus, dass innerhalb eines Bereichs von ±3 s um den Mittelwert praktisch alle vorkommenden Messwerte liegen. Die bei einer derartigen Messung auftretende statistische Messabweichung beträgt im Worst-Case-Fall (Formel 7): e ≈ ±3 s. Statistische Messabweichungen können nun zumindest um einen substanziellen Anteil ebenfalls minimiert werden. Immer dann, wenn im normalen Messbetrieb eine Messung zeitlich ansteht, wird eine Sequenz von N Einzelmessungen durchgeführt – die Messgröße muss unverändert bleiben – und man berechnet aus den zugehörigen N Messwerten den Mittelwert gemäß Formel 8:
Wichtig ist, dass der zeitliche Abstand zwischen zwei Einzelmessungen zur Veränderungsgeschwindigkeit der hinter dem statistischen Effekt liegenden physikalischen Prozesse passt. Die Messwerte müssen die Chance haben, sich zwischen den Einzelmessungen ändern zu können: Man darf keinesfalls mit zu hoher Messrate die Einzelmessungen takten.
Bei manuell abzulesenden Messwerten im Display eines Labormessgeräts macht man dies fast automatisch, indem man die sich kontinuierlich verändernden letzten numerischen Stellen ausblendet und nur die Stellen zuvor protokolliert. Der so gewonnene Wert entspricht zwar nicht exakt dem Mittelwert, ist jedoch meist schon recht gut teilkorrigiert. Liest man viele Messergebnisse bis zur letzten Stelle rein manuell ab, so ist das nicht nur sehr aufwendig, sondern auch sehr fehleranfällig. Besser ist eine softwaregesteuerte Messung. Hier wird in der Messapplikation eine zeitgesteuerte Schleife für N Einzelmessungen programmiert. Bei der Festlegung von N wird man hier stets einen Kompromiss zwischen statistischer Güte (hohes N) und benötigter Messzeit (niedriges N) finden müssen.

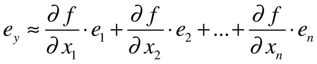
Bei vielen messtechnischen Aufgabenstellungen werden Messwerte mithilfe mathematischer Zusammenhänge miteinander verrechnet, um auf das Messergebnis zu kommen. Das zugehörige Szenario zeigt Bild 4. Jede der n Messgrößen x1, ..., xn unterliegt einer zugehörigen Messabweichung e1, ..., en. Aus den zugehörigen Messwerten xa1, ..., xan wird gemäß y = f(x1, x2, ..,xn) (Formel 9) das Messergebnis y berechnet. Es lässt sich zeigen, dass unter der Annahme kleiner Messabweichungen e1, ..., en (was wir in der Praxis stets anstreben müssen) die für y dann zu erwartende Messabweichung ey gemäß Formel 10
berechnet werden kann. Sämtliche Messabweichungen verstehen sich auch hier als Worst-Case-Angaben. Man leitet also lediglich die Berechnungsfunktion f jeweils nach jeder Eingangsgröße partiell ab, was messtechnisch gesprochen der Empfindlichkeit von y gegenüber dieser Eingangsgröße entspricht, und addiert anschließend die mit den korrespondierenden Messabweichungen multiplizierten Empfindlichkeiten.
Trotz geringer Einzelabweichungen großer Gesamtfehler
Da die einzelnen Messabweichungen meist auch hier nur als ±-Werte bekannt sind, werden für eine Worst Case-Betrachtung ausschließlich die Beträge der Ableitungen und Messabweichungen in der Formel angesetzt.
Zusammengefasst lässt sich sagen: Auch wenn jeder einzelne Messwert nur mit einer geringen Messabweichung behaftet ist, so kann dennoch ein aus mehreren Messwerten berechnetes Messergebnis eine große Abweichung aufweisen.
Literaturempfehlung: Jörg Böttcher:
Kompendium Messtechnik und Sensorik. ISBN 978-3-7448-5626-3 (Paperback), Verlag: Books on Demand.
Grundlagen Messtechnik
Grundlagen Spektrumanalysator: praktische Tipps für den Messtechniker
Oszilloskop – Einstellungen und Betriebsarten
Grundlagen Messtechnik: Was beim Messen von Wechselgrößen zu beachten ist
* Prof. Dr.-Ing. Jörg Böttcher hat eine Professur für Regelungstechnik und Elektrische Messtechnik an der Universität der Bundeswehr in München inne.
(ID:45883786)


