Schutzbeschichtungen von Leiterplatten zerstörungsfrei inspizieren
Die Conformal Coating Inspection ist eine effektive, verlässliche und schnelle Methode zur Bestimmung der Qualität und Konsistenz der Schutzbeschichtung auf PCBs mit nur einer automatischen optischen Inspektion (AOI).
Anbieter zum Thema

Eine der größten Herausforderungen bei der Herstellung von Leiterplatten (PCBs) in der Elektronikbranche ist der Schutz vor rauen Umgebungen mit hoher Luftfeuchtigkeit, starken Temperaturschwankungen und Staub oder chemischer Verunreinigung. Seit den 60er Jahren wird das Konzept der Schutzbeschichtung (Conformal Coating) als Lösung für diese Probleme eingesetzt (Bild 1).
Ein plastischer, transparenter Schutzlack, der perfekt auf der bestückten Leiterplatte haftet, wird mit variierender Dicke auf die Baugruppe aufgetragen, wobei die resultierende Dicke auch vom verwendeten Material abhängt [1].
Ursprünglich nur bei militärischen und luftfahrttechnischen Anwendungen verwendet, besteht heute ein Bedarf an Schutzbeschichtungen für vielfältige Anwendungen in unterschiedlichsten Betriebsumgebungen. Der Auftrag von Schutzbeschichtungen wird so zu einem integralen Bestandteil von Elektronik-Produktionsprozessen.
Eine wirksame Qualitätskontrolle für dieses Schutzverfahren ist unerlässlich, um den korrekten Lackauftrag und die Einhaltung der geforderten Normen zu gewährleisten und Ausfälle der Baugruppen zu vermeiden. Das wichtigste Kriterium für die Zuverlässigkeit der Schutzbeschichtung ist die Dicke des Schutzlacks. Die Messung dieser Dicke ist jedoch eine Herausforderung, da deren Wert von 30 bis 300 μm reichen kann.
Dicke der Beschichtung
Die genaueste verfügbare Technologie für die Dickenmessung der Schutzbeschichtung ist die Betrachtung von Schliffbildern der Baugruppe unter einem Lichtmikroskop. Dieses Verfahren ist jedoch destruktiv und daher in der Serienproduktion nicht anwendbar.
Die meisten zerstörungsfreien Verfahren basieren auf der Inspektion sehr kleiner Oberflächenbereiche. Beispiele hierfür sind Weißlicht-Interferometrie, Drucksonden und Wirbelstromprüfungen. Um die gesamte Oberfläche der Baugruppe zu überprüfen, muss der Test mehrmals wiederholt werden, was einen zeitaufwändigen Prozess bedeutet, der nicht mit den Durchsatz-Anforderungen in der Produktion vereinbar ist.
Automatische optische Inspektion von Schutzbeschichtungen
Eine Möglichkeit große Leiterplatten-Bereiche schnell zu vermessen, ist die automatische optische Inspektion (AOI) bzw. die Schutzbeschichtungs-Inspektion (englisch: conformal coating inspection; CCI). Leider eignen sich klassische Ansätze mit sichtbarem Licht und klassischen 3D-Kamerasystemen nicht gut für Dickenmessungen, da die Schicht meist transparent ist und nur sehr wenig Struktur aufweist, die zur Lösung des Korrespondenzproblems der Stereo-Rekonstruktion benötigt wird. Die Lasertriangulation besitzt eine zu geringe Höhenauflösung. Um dieses Problem zu umgehen, enthalten viele Schutzlacke ultraviolett fluoreszierende Marker, die von Kameras leicht gemessen werden können (Bild 2).
Da die Intensität dieser Fluoreszenz von der Menge der Markermoleküle an jeder Position abhängt, kann man von ihr auf die Dicke der Schutzbeschichtung an jeder Position schließen.
Dickenmessung durch Fluoreszenz
Auf welchem Prinzip beruht nun ein mit einer UV-Beleuchtung ausgestattetes AOI-System? Die Grundannahme bei der Dickenmessung mit UV-Fluoreszenz ist, dass die Fluoreszenz-Marker nahezu gleichmäßig verteilt sind und ein konstantes Fluoreszenzverhalten aufweisen. Gleich dicke Schichten emittieren Licht mit gleicher Intensität, wenn sie mit gleicher UV-Intensität angeregt werden. Das Licht wird von einer Kamera erfasst, die seine Intensität misst. Bild 3 zeigt eine Prinzipskizze des Aufbaus.
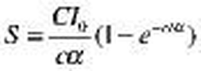
Es gilt die Gleichung

mit den Parametern: S = Intensität des reflektierten Lichts, C = Konstante, I0 = Intensität des gesendeten UV-Lichts, c = Marker-Konzentration, α = Dämpfung und t = Dicke der Schutzbeschichtung.
Da die meisten dieser Parameter unbekannt sind, müssen sie kalibriert werden. Die Idee ist, für die Kalibrierung eine bewährte Messmethode der Dicke zu verwenden, um eine Anpassungskurve für das Intensitäts-Dicken-Verhältnis zu erhalten.
Die von Seica angebotenen Systeme der Dragonfly Next>-Serie nutzen diesen Ansatz und ermöglichen dank der Kombination aus Software und Scantechnologie mit erweiterten, dedizierten Funktionen eine effiziente und einfache Messung der Dicke der Schutzbeschichtung auf der gesamten Baugruppenoberfläche.
Die Scantechnologie verwendet ein spezielles optisches System (Bild 4), das eine telezentrische Bildaufnahme ermöglicht, bei der alle Komponenten der Baugruppe senkrecht abgebildet werden und nur ihre Oberseite zeigen.
Das optische System ist auf einem Schlitten mit einer RGB-Zeilenkamera montiert. Die Beleuchtung aus LED-Streifen befindet sich ebenfalls auf dem Schlitten. Dieser wird über die Baugruppe gefahren, die sich auf einem Transportriemen unter dem Scanner befindet. Der größte Vorteil dieses Systems ist die vergleichsweise geringe Erfassungszeit im Vergleich zu einem komplexen Flächenkamera-System, das über die Szenerie bewegt werden muss (Bild 5).
Um die Kalibrierung auf einen bestimmten Dickenwert zu erleichtern, bieten die Systeme der Dragonfly Next>-Serie eine graphische Benutzeroberfläche (Bild 6), die es ermöglicht, verschiedene Modelle zur Messung der Lackdicke (basierend auf dem Wirbelstromprinzip und der Weißlicht-Interferometrie) zu verwenden.
Für jede Beschichtungscharge kann der Anwender der Systeme der Dragonfly Next>-Serie (Bild 7) die Standard-Testpositionen genau messen (Wirbelstrom/Weißlicht-Interferometrie), die automatisch analysiert und zur Anpassung des Fluoreszenzmodells der Produktions-Messung verwendet werden.
Das Dragonfly Next>-Serie-System ist daher ein automatisches, optisches Inspektionssystem, das in der Lage ist, Schutzbeschichtungen auf elektronischen Baugruppen im Produktionstakt zu überprüfen.
Die Systeme der Dragonfly Next>-Serie sorgen durch die Kombination von LED-Mehrfarbenbeleuchtung und UV-LED-Beleuchtung mit einer Zeilenkamera für eine schnelle und vollständige Messung des Beschichtungslacks. Diese Art der Abtastung gewährleistet die vollständige Erkennung von Fehlern und liefert objektive und wiederholbare Ergebnisse.
Die Testergebnisse werden in der Reparaturstation angezeigt, um die dokumentierte Reparatur der Baugruppe sicherzustellen. Das bedeutet Zeit- und Kostenersparnis sowie eine deutliche Qualitätsverbesserung.
Die Dragonfly Next>-Serie kann nicht nur zur Schichtdicken-Messung der Schutzbeschichtung, sondern auch zur Überwachung des Produktionsprozesses eingesetzt werden. In der Tat können diese Systeme bestehende Probleme im Fertigungsprozess, wie z. B. eine verstopfte Düse oder Materialveränderungen aufzeigen.
Die Hauptmerkmale der Systeme u. A. folgende:
- Möglichkeit der Anpassung an verschiedene Produktionslinien sowie der Implementierung kundenspezifischer Konfigurationen.
- Möglichkeit der gleichzeitigen Inspektion auf beiden Seiten der Baugruppe.
- Möglichkeit, die Inspektionsergebnisse per Barcode den einzelnen Baugruppen zuzuordnen.
- Höhere Prüfgeschwindigkeit als bei Flächenkamera-basierten Standardsystemen.
- Die Programmerstellung erfolgt innerhalb weniger Minuten.
- Das Programm kann auch offline über den Programmierplatz erstellt werden, sodass die Produktion nicht unterbrochen werden muss.
- Das Debugging des Prüfprogramms ist intuitiv und erfordert kein tiefes Verständnis der Prozesse.
- Dank des motorisierten Systems ist es möglich, die „Bauteilseite“ zu inspizieren, um das Vorhandensein einer Schutzbeschichtung auch in Bereichen sicherzustellen, die normalerweise nicht mit Standard-AOI-Systemen inspiziert werden.
- Einfachste Regel für die Wartung: Halten Sie einfach die äußere Glasplatte des Scanners sauber.
Nachfolgend werden zwei konkrete Beispiele für die Inspektion von Schutzbeschichtungen aufgeführt, die mit Weißlicht-LED-Beleuchtung (Bild 8, links) und mit UV-LED-Beleuchtung (Bild 8, rechts) unter Verwendung des Systems Dragonfly Next>-Serie realisiert wurden.
Bild 8 zeigt eine Baugruppe mit Durchsteck- und SMD-Bauteilen. In dem Bereich, der die SMD-Bauteile aufweist, wurde ein Lack für die Schutzbeschichtung aufgebracht. Die Schutzschicht enthält einen in Bild 8, rechts deutlich sichtbaren UV-Marker der hellblau fluoresziert. Die Baugruppe wurde mit ultraviolett und rot leuchtenden LEDs beleuchtet. Erstere aktivieren den im Lack enthaltenen, auf UV-Licht reagierenden Marker für die Schutzbeschichtung, während die roten LEDs die Strukturen der Baugruppe verdeutlichen, um dem Anwender die Orientierung im Bild zu erleichtern.
Die im Bild beobachteten Intensitätsabweichungen korrelieren direkt mit den Schichtdickenabweichungen auf der Baugruppe. Außerdem sind einige Bereiche zu erkennen, die nicht perfekt abgedeckt sind, sowie einige Spritzer in Bereichen, die nicht beschichtet werden sollten.
So zeigt sich, dass die CCI eine effektive, zuverlässige und schnelle Methode zur Messung der Qualität und Konsistenz der Schutzbeschichtung darstellt. Sie basiert auf einem Modell zur Analyse der Fluoreszenz-Intensität von ultraviolettem Licht, das (in Verbindung mit geeigneten Kalibrierverfahren) auf die Baugruppen projiziert wird.
TDR-Messtechnik: Impedanzen auf Leiterplatten und in Steckern analysieren
Sichere Datenübertragung auf Leiterplatten
Quellen
[1] www.primelettronica.com
* Francesco Argentiero ist Anwendungstechniker bei Seica SpA Strambino
(ID:45567021)