Gekoppelte Induktivitäten sind oft die bessere Wahl
Der Einsatz einer gekoppelten Induktivität anstelle zweier diskreter Bauteile bietet neben Platz- und Gewichtseinsparungen eine ganze Reihe weiterer Vorteile.
Anbieter zum Thema

Gekoppelte Induktivitäten sind elementare Komponenten, die in großem Umfang in elektrischen Anwendungen von der Stromverteilung bis hin zu Funkübertragungsanlagen eingesetzt werden. Im Wesentlichen unterscheiden sich gekoppelte Induktoren von Transformatoren dadurch, dass gekoppelte Induktoren etwas Energie speichern, die später im Rahmen des topologischen Vorgangs freigesetzt wird.
Im Gegensatz dazu sind Transformatoren so konzipiert, dass sie Energie sofort und mit möglichst geringen Verlusten zwischen den Wicklungen übertragen. Die Verwendung eines gekoppelten Induktors anstelle von zwei diskreten Induktoren hat den offensichtlichen Vorteil, dass Platinenplatz und Masse eingespart werden. Ihr Einsatz bietet jedoch eine Reihe weiterer Vorteile wie einen geringeren Ripple-Strom, Spannungsumwandlung, Änderung der Impedanz einer Schaltung und eine galvanische Isolation. In dem vorliegenden Artikel werden die grundlegenden Eigenschaften gekoppelter Induktivitäten behandelt.
Grundlagen gekoppelter Induktivitäten
Bei gekoppelten Induktoren gibt es zwei Wicklungen, die sich einen einzigen Kern teilen. Der Induktivitätswert einer einzelnen Wicklung ist abhängig vom Kernmaterial, der Geometrie des Kernmaterials, den Windungszahlen und der Wicklungsart. Die gegenseitige Induktivität zwischen den beiden Wicklungen kann ausgedrückt werden mit:
M stellt die gegenseitige Induktivität (H) dar und L1 und L2 sind die Induktivitäten der Primär- und Sekundärwicklung. Das setzt jedoch voraus, dass eine perfekte Kopplung zwischen den Wicklungen, ohne Streufluss besteht. In der Realität gibt es immer einen gewissen Streufluss, obwohl einige Konstruktionen extrem eng miteinander gekoppelt sind.
Eine Zahl zum Ausdrücken der Kopplung zwischen den Wicklungen ist der Kopplungskoeffizient k. Er wird durch eine Zahl zwischen null und eins dargestellt, wobei k = 0 bedeutet, dass keine Kopplung vorliegt und k = 1 bedeutet, dass eine perfekte Kopplung vorliegt. Dieser Koeffizient kann verwendet werden, um die Gleichung [1] zu modifizieren, somit ergibt sich Gleichung [2]:
In gekoppelten Induktivitäten gibt es zwei Wicklungen, die sich einen einzigen Kern teilen und so miteinander gekoppelt sind. Dieses Prinzip kennen wir vom Transformator und Bild 2 verdeutlicht die Zusammenhänge.
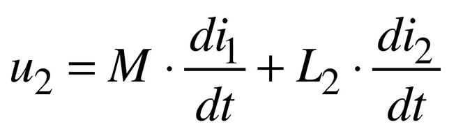
In Bild 1 bewirkt ein Strom i1 in der Induktivität L1 über den Fluss Φ eine Spannung u2 in der Induktivität L2 auf der Sekundärseite des Transformators.
Dieser Effekt wird als Gegeninduktivität bezeichnet und kann durch die folgende Formel [3] beschrieben werden:
Somit besteht ein Transformator aus zwei magnetisch gekoppelten Induktivitäten, der Selbstinduktionsspannung und der gegenseitigen Induktionsspannung. Die Spannungen an den Induktivitäten können beschrieben werden mit:
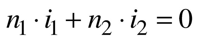
In Bild 2 ist das entsprechende Schaltbild dargestellt. Die beiden Punkte im Schaltbild geben die Wicklungsrichtung an. Die ideale Induktivität hat keine Verluste und kein Streufeld. Weder Verluste im Kupferdraht, noch im Ferritkern und im Isoliermaterial.
Der Drahtwiderstand beträgt 0 Ω und der magnetische Widerstand des Ferritkerns 0 (u → ∞). Für diesen Fall gilt:
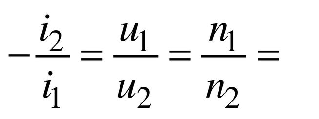
Somit gilt für den idealen Transformator, bzw. die gekoppelte Induktivität folgender Zusammenhang:
Das dazugehörige Schaltbild, des idealen Transformators, bzw. der idealen gekoppelten Induktivität zeigt Bild 3.
Es gibt eine Reihe von parasitären Effekten, die das Verhalten gekoppelter Induktivitäten beeinflussen.
Parasitäre Effekte werden als Komponenten dargestellt
Diese parasitären Effekte sind als Komponenten im Ersatzschaltbild in Bild 4 dargestellt.
Die Komponenten in Bild 4 repräsentieren folgende Effekte:
- Streuinduktivität LLx (leakage inductance),
- Kupferwiderstand der Wicklungen, RWx,
- Kapazität zwischen den Wicklungen, CWWxy,
- Kapazität zwischen den Windungen CWx (Windung zu Windung) mit RDCx (Verluste im Dielektrikum).
Ein Problem bei der Anwendung der gekoppelten Induktivitäten in Schaltnetzteilen ist der Umgang mit der Streuflussenergie, die durch die Streuinduktivitäten LLx verursacht wird. Die Folge davon ist eine Resonanz, die zwischen den parasitären Kapazitäten und der parasitären Induktivität verursacht wird. Durch die Resonanz entstehen hohe Schaltspannungsspitzen über den MOSFETs, die begrenzt werden müssen.
Die Streuinduktivität in gekoppelten Induktivitäten
Betrachtet man die beiden Wicklungen der gekoppelten Induktivität, so ist die Gesamtmenge des von einer Wicklung erzeugten Flusses nicht vollständig mit der zweiten Wicklung gekoppelt. Jeder magnetische Flussanteil der Primärwicklung, der nicht mit der Sekundärwicklung gekoppelt ist, wirkt als induktive Impedanz in Reihe mit der Primärwicklung. Daher wird diese Streuinduktivität im Ersatzschaltbild in Bild 4 als zusätzliche Induktivitäten LL1 und LL2 dargestellt. In Bild 5 ist zur Verdeutlichung des Streueffektes das Schaltbild einer gekoppelten Induktivität ohne Verluste, jedoch mit Streuinduktivitäten dargestellt.
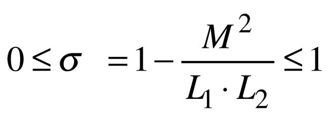
Der Streufaktor σü ist ein Maß für den Teil des Feldes, der nicht durch beide Wicklungen des Transformators fließt. Der Streufaktor σü wird wie folgt beschrieben:
σü = 0 bedeutet, dass keine Streuinduktivität vorliegt und im Fall von σü = 1, dass keine Kopplung zwischen den beiden Wicklungen des Transformators besteht. Die Induktivität σü.L1 in Bild 5 wird als Streuinduktivität bezeichnet. (1 – σü) L1 ist die Induktivität, die zur gewünschten Funktion beiträgt. Das Übersetzungsverhältnis der Wicklungen beträgt:
Aus obiger Formel kann die Gegenkopplungsinduktivität abgeleitet werden:
Damit ergibt sich für die Sekundärinduktivität L2:
Um zu verstehen, wie die Streuinduktivität in der Praxis minimiert werden kann, müssen die Parameter, die sie beeinflussen, bekannt sein. Die Induktivität einer langen zylindrischen Spule (Bild 6), definiert sich mit:
wobei lW die Länge der Spule ist.
Wenn nun eine zweite Wicklung über die erste gewickelt wird, wie in Bild 7 gezeigt, hat die zweite Wicklung die Induktivität L2:
A1 und A2 sind die Flächen der einzelnen Wicklung, Ad ist der Flächenunterschied zwischen den beiden Wicklungen.
Wie in Gleichung 14 zu sehen, beträgt der Unterschied der Induktivität zwischen den beiden Wicklungen somit:
Die Differenz der einzelnen Spulenflächen kann berechnet werden mit:
MLT ist die durchschnittliche Wicklungslänge, Hins ist der Abstand zwischen den Wicklungen (Isolierung), H1 und H2 sind die Dicken der Wicklungen 1 bzw. 2.
Die Streuinduktivität ist somit unabhängig vom Kernmaterial und von einem Luftspalt in einem Kern. Hauptfaktoren für die Streuinduktivität sind die geometrischen Unterschiede der beiden Wicklungen. Zur Minimierung der Streuinduktivität der Spule in Bild 7 muss entweder die Länge der Spule L1 vergrößert werden, oder der Abstand zwischen den Wicklungen muss verringert werden. Daher muss die Fläche A1 der Fläche A2 entsprechen. Das kann z.B. durch bifilares Wickeln der beiden Spulen auf den gleichen Kern erreicht werden.
Bild 8 zeigt verschiedene mögliche Wicklungskonfigurationen. Bei der vorhandenen Geometrie ist das am häufigsten verwendete Mittel eine Sandwich-Konstruktion (Bild 8e), bei der die Sekundärwicklung zwischen der geteilten Primärwicklung gewickelt ist.
Inter-Windungs- und Wicklungskapazitäten
In Bild 4 sind die parasitären Kapazitäten dargestellt. Darin sind:
- Kapazität zwischen den Wicklungen, CWWxy
- Kapazität zwischen den Windungen (Windung zu Windung), CWx mit RDCx
Die Koppelkapazität zwischen den beiden Wicklungen kann als Plattenkondensator zwischen den beiden Wicklungen betrachtet werden und wird als Wicklungskapazität bezeichnet. Sie kann reduziert werden, indem der Abstand zwischen den Wicklungslagen erhöht wird, oder indem die Oberfläche der Wicklungen verringert wird. Beide Maßnahmen führen jedoch direkt zu einer Erhöhung der Streuinduktivität. Die parasitäre Kapazität zwischen den Windungen stellt sich Windung für Windung ein. Die Kapazität nimmt mit jeder Windung zu. Sie kann durch verschiedene Wicklungstechniken und teilweise durch Verwendung eines Isolationsmaterials des Drahts mit einer niedrigen Dielektrizitätskonstante reduziert werden.
Bifilare Wicklung sorgt für eine enge Kopplung
Die bifilar gewickelten Induktivitäten in den Bildern 9a und 9c haben kein exaktes 1:1-Längen- und damit Übersetzungsverhältnis, da für die Verbindung eine zusätzliche 90-Grad-Drehung (1/4 einer Umdrehung) zum Anschluss-Pin hinzugefügt werden muss. Die bifilare Wicklung sorgt jedoch für eine enge gegenseitige Kopplung zwischen den Wicklungen, hat aber den Nachteil, dass die Kapazitäten zwischen den Windungen höher werden, was eine niedrigere Resonanzfrequenz zur Folge hat. Die Induktivitäten mit gekreuzten Wicklungen (Bild 9b und 9d) haben separate Schichten für jedes Wicklungspaket und somit ein genaues 1:1-Windungsverhältnis, was eine geringere Streuinduktivität ergibt. Aufgrund der getrennten Wicklungspakete ist die Kapazität zwischen den Wicklungen geringer, aber auch die gegenseitige Kopplung. Einige mögliche Wicklungskonstruktionen sind am Beispiel der gekoppelten Induktivität WE-DD in Bild 9 dargestellt. Bild 10 zeigt einige verfügbare gekoppelte Induktivitäten von Würth Elektronik eiSos.
Gekoppelte Induktivitäten von Würth Elektronik eiSos
Das Sortiment der gekoppelten Induktivitäten von Würth Elektronik eiSos reicht von Ausführungen mit hohem Kopplungsfaktor bis hin zu Hochstrom- oder Hochspannungsserien. Diese Produkte wurden sorgfältig angepasst, um dauerhaft hohen Spannungen standzuhalten, indem je nach Isolationsanforderung vollisolierter Draht (FIW: Fully Insulated Wire) oder dreifach isolierter Draht (TIW: Triple Insulated Wire) verwendet wird. Auch Versionen mit unterschiedlichen Übersetzungsverhältnissen und unterschiedlichen Drahtstrukturen sind verfügbar.
* Dr. Richard Blakey ist Application Engineer bei der Würth Elektronik eiSos GmbH & Co. KG in Waldenburg.
* Arpankumar Patel ist Product Manager bei der Würth Elektronik eiSos GmbH & Co. KG in Waldenburg.
(ID:45685990)
![[1] [1]](https://cdn1.vogel.de/unsafe/654x0/smart/images.vogel.de/vogelonline/bdb/1512500/1512566/original.jpg)
![[2] [2]](https://cdn1.vogel.de/unsafe/654x0/smart/images.vogel.de/vogelonline/bdb/1512500/1512567/original.jpg)
![[3] [3]](https://cdn1.vogel.de/unsafe/654x0/smart/images.vogel.de/vogelonline/bdb/1512500/1512568/original.jpg)
![[4] [4]](https://cdn1.vogel.de/unsafe/654x0/smart/images.vogel.de/vogelonline/bdb/1512500/1512570/original.jpg)
![[5] [5]](https://cdn1.vogel.de/unsafe/654x0/smart/images.vogel.de/vogelonline/bdb/1512500/1512571/original.jpg)
![[6] [6]](https://cdn1.vogel.de/unsafe/654x0/smart/images.vogel.de/vogelonline/bdb/1512500/1512572/original.jpg)
![[7] [7]](https://cdn1.vogel.de/unsafe/654x0/smart/images.vogel.de/vogelonline/bdb/1512500/1512573/original.jpg)
![[8] [8]](https://cdn1.vogel.de/unsafe/654x0/smart/images.vogel.de/vogelonline/bdb/1512500/1512574/original.jpg)
![[9] [9]](https://cdn1.vogel.de/unsafe/654x0/smart/images.vogel.de/vogelonline/bdb/1512500/1512575/original.jpg)
![[10] [10]](https://cdn1.vogel.de/unsafe/654x0/smart/images.vogel.de/vogelonline/bdb/1512500/1512576/original.jpg)
![[11] [11]](https://cdn1.vogel.de/unsafe/654x0/smart/images.vogel.de/vogelonline/bdb/1512500/1512577/original.jpg)
![[12] [12]](https://cdn1.vogel.de/unsafe/654x0/smart/images.vogel.de/vogelonline/bdb/1512500/1512578/original.jpg)
![[13] [13]](https://cdn1.vogel.de/unsafe/654x0/smart/images.vogel.de/vogelonline/bdb/1512500/1512579/original.jpg)
![[14] [14]](https://cdn1.vogel.de/unsafe/654x0/smart/images.vogel.de/vogelonline/bdb/1512500/1512580/original.jpg)
![[15] [15]](https://cdn1.vogel.de/unsafe/654x0/smart/images.vogel.de/vogelonline/bdb/1512500/1512581/original.jpg)