EP Basics Quiz

Prof. Poppe fragt nach – Folge 6

< zurück

Seite: 2/2

Anbieter zum Thema

„Was versteht man unter dem Skin Effect?“

1. Die Wirkung einer an der Oberfläche einer Leitung befindlichen Oxidschicht auf das Leitungsverhalten
2. Das Drängen des Stromes an die Oberfläche bei hohen Frequenzen
3. Die Bildung einer Haut bei erkaltendem Kakao

Antwort 3 ist inhaltlich korrekt, allerdings wird dieser Vorgang in der Regel nicht als Skin Effect bezeichnet. Antwort 2 ist richtig. Daher wird der Skin Effect im Deutschen als Stromverdrängung bezeichnet, was den Vorgang im Übrigen präziser beschreibt als der englische Begriff. Denn der Effekt ergibt sich aus der Wechselwirkung von Strömen und Feldern innerhalb der Leitung. Es ist kein Oberflächeneffekt.

Wechselströme erzeugen oszillierende Magnetfelder. Da die Ströme in Richtung der Leitung hin und her oszillieren, bilden die Magnetfeldlinien Ringe, welche die Stromrichtung umschließen. Gemäß dem Induktionsgesetz erzeugen diese oszillierenden Magnetfelder wiederum senkrecht zu ihnen verlaufende, oszillierende elektrische Felder, welche letztlich zu einer nach außen gerichteten Kraft auf die Ladungsträger führen. So wird der Gesamtstrom nach außen gedrängt.

Stromverdrängung (Skin Effect): Der größte Teil des Stromes fließt nahe der Oberfläche bis zu einer Eindringtiefe δs (Endringtiefe). (Bild:  M. Poppe, Prüfungstrainer Elektrotechnik)
Stromverdrängung (Skin Effect): Der größte Teil des Stromes fließt nahe der Oberfläche bis zu einer Eindringtiefe δs (Endringtiefe).
(Bild: M. Poppe, Prüfungstrainer Elektrotechnik)

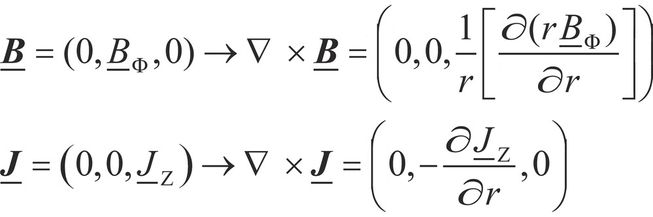
Zur Berechnung des Effekts werden die im Bild gezeigten Größen verwendet. Es wird zweckmäßigerweise mit den komplexen Feldern E = Êejωt und B = Bejωtgerechnet, so dass das Ohm’sche Gesetz in differenzieller Form als J = σE geschrieben werden kann. Innerhalb eines stromdurchflossenen Leiters werden die Magnetfelder praktisch ausschließlich von dem Stromfluss erzeugt, also nach dem Ampère’schen Gesetz gemäß ∇×B ≈ μJ. Die Erzeugung der Wirbelströme folgt aus dem Induktionsgesetz ∇×E = -jωB und dem Ohm’schen Gesetz. So gilt insgesamt ein Satz von zwei Gleichungen

0117388672 (Bild: Prof. Poppe)

aus denen sich das Magnetfeld eliminieren lässt, um die Abhängigkeit vom Radius der Leitung zu bestimmen. Hierzu werden Zylinderkoordinaten verwendet: B = (Br, Bϕ, BZ). Für das im Bild gezeigte Leitungsstück ist dann

0117388679 (Bild: Prof. Poppe)

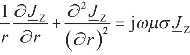
Der Vergleich der letzten beiden Gleichungssysteme ergibt mithilfe der Kettenregel für die Differenziation die folgende Differenzialgleichung für die Stromdichte:

0117388693 (Bild: Prof. Poppe)

Deren Lösung ist eine Besselfunktion. In der Nähe der Oberfläche des Leiters kann diese durch eine Exponentialfunktion angenähert werden, welche beschreibt, wie schnell die Stromdichte mit der Entfernung zur Oberfläche abnimmt:

0117388657 (Bild: Prof. Poppe)

mit

0117413873 (Bild: Prof. Poppe)

Der Parameter δs wird Eindringtiefe genannt. Je höher also die Frequenz, desto schmäler wird die Schicht, in der Strom unbedrängt fließt.

Für die Elektronik sind die Konsequenzen offensichtlich: Um kein Leitermaterial zu verschwenden, müssen hochfrequente Ströme mithilfe von HF Litze, also Bündeln von gegeneinander isolierten dünnen Drähten transportiert werden. Der Durchmesser sollte nicht viel größer als die doppelte Eindringtiefe sein. Die Stromverdrängung hat auch Einfluss auf das Hochfrequenzverhalten von Spulen. Je mehr der Strom an die Oberfläche gedrängt wird, desto größer wird der Ohm’sche Spulenwiderstand. Energietechniker lieben Spulen mit dicken Leitungen, HF-Techniker solche aus dünnen Drähten. (cg)

* Bis 2022 lehrte Prof. Martin Poppe Elektrotechnik an der Fachhochschule Münster. Er ist renommierter Autor von Fachbüchern wie „Prüfungstrainer Elektrotechnik“ (ISBN 978-3-662-65001-1), aus dem die aktuelle Frage entnommen ist, oder „Grundkurs Theoretische Elektrotechnik“ (ISBN 978-3-662-61913-1).

(ID:49956092)

Jetzt Newsletter abonnieren

Verpassen Sie nicht unsere besten Inhalte

Mit Klick auf „Newsletter abonnieren“ erkläre ich mich mit der Verarbeitung und Nutzung meiner Daten gemäß Einwilligungserklärung (bitte aufklappen für Details) einverstanden und akzeptiere die Nutzungsbedingungen. Weitere Informationen finde ich in unserer Datenschutzerklärung. Die Einwilligungserklärung bezieht sich u. a. auf die Zusendung von redaktionellen Newslettern per E-Mail und auf den Datenabgleich zu Marketingzwecken mit ausgewählten Werbepartnern (z. B. LinkedIn, Google, Meta).

Aufklappen für Details zu Ihrer Einwilligung