Anbieter zum Thema
Calculation of a capacitive power supply
In practice, the power supplies most in demand are those that provide a DC voltage at the output. The simplest solution is in single pulse rectification as shown in Figure 2; for the calculation example, an output voltage of around 9 VDC is generated at a maximum load current of 15 mA.
How to calculate the Value of R1 to limit the current trough D1
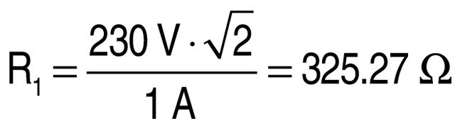
For the function of a Zener diode: During the positive half-wave, D1 operates as a voltage-limiting component. In order to achieve the required output voltage of 9 V, the Zener's voltage would have to be 9.7 V, because about 0.7 V drops off at D2. However, as no Zener diodes with this value are available, a diode with a value of 10 V and a maximum power dissipation of 1.3 W is chosen. If the power supply switches on at the line voltage peak, an inadmissibly high current would flow through D1, resulting in its destruction. To limit the current therefore, R1 is connected on the line side. As a rule, Zener diodes with a power dissipation of 1.3 W can manage momentary currents of about 1 A. This enables the value of R1 to be calculated as follows:
The nearest standard value is 330 Ω. In operation, R1 is continuously subjected to the entire load current. To calculate this, the ratio of ACRMS to the DC average value must be taken into consideration. As this involves single pulse rectification, the form factor is 2.22. With the required 15 mA output current this produces a current through R1 of 33.3 mA and consequently a power dissipation of:
A resistor is chosen with a load capacity of 0.5 W. The voltage drop through this resistor is almost 11 V.
Calculation of the necessary reactance of capacitor C
From the data determined thus far, it is now possible to calculate the necessary reactance of capacitor C1. In order to guarantee a reliable supply of the load even when there is an undervoltage, the calculation should be performed with a voltage drop of at least 10%; in addition, the voltage drop via R1 and D1 must to be taken into consideration. This produces the reactance as follows:
From this it is possible to calculate the necessary capacitance at the normal line frequency of 50 Hz:
Consequently, the next standard value is a capacitance of 0.68 µF. Depending on the climatic conditions this means, for example, that the EPCOS X2 capacitor type B32933A3684K* from the heavy-duty series is suitable. This has a lead spacing of 22.5 mm and is designed for a voltage of 305 VACRMS at a maximum permissible operating temperature of 105 °C. Alternatively, one can use the B32923H3684K* type, which is even designed for up to 110 °C, likewise with a lead spacing of 22.5 mm. Both types exhibit a capacitance tolerance of ±10%.
The economical standard type 1N4001 (50 V, 1 A), designed for peak currents of up to 35 A, is sufficient for the diode D2 which ensures the single pulse reactance. This diode is offered by a number of semiconductor suppliers.
(ID:43634765)



