Anbieter zum Thema
Numerische Berechnungsprogramme

Mit numerischen Berechnungsprogrammen, die die Wärmeabgabe durch Strahlung und Konvektion berücksichtigen, kann man diese Messungen sehr gut reproduzieren und auf andere Leiterplattenaufbauten anwenden [2]. In Bild 2 ist der Zusammenhang zwischen Stromstärke und Leiterbahnbreite für eine Temperaturerhöhung von 20 °C dargestellt.
Je höher der Kupferinhalt in der Leiterplatte ist, d.h., je besser die Wärmespreizung ist, desto mehr Strom kann über die Leiterbahn bei gleichem Temperaturniveau transportiert werden. Die blaue Kurve aus der IPC-2221 stellt aus heutiger technologischer Sicht einen Minimalstrom dar, der zu einer sehr konservativen Auslegung von (zu breiten) Leiterbahnen führt.
Einfluss des Leiterquerschnitts
Ein wesentliches weiteres Manko der IPC-2221-Charts ist die x-Achse des Originaldiagramms: Der Leiterquerschnitt. Der Leiterquerschnitt = Breite * Dicke suggeriert, dass Leiter mit dem gleichen Querschnitt (egal, ob breit und dünn oder hoch und dick) die gleiche Temperatur bei gleichem Strom aufweisen müssten. Das kann aber nicht sein, da der Wärmeeintrag in die Leiterplatte und damit die daraus folgende Wärmeabgabe von der Grundfläche des Leiters abhängt.
Deshalb ist bei gleichem Strom und gleichem Querschnitt eine breite dünne Leiterbahn immer kühler als eine schmale hohe. Richtigerweise muss man für Leiterbahnen, deren Dicke d anders ist als 35 µm, den in den IPC Charts abgelesenen Strom erst mit Hilfe des Jouleschen Gesetzes umrechnen. Die richtige Umrechnungsformel gibt Gleichung 1 wieder.

(Gl. 1)
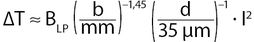
Ein kleines Beispiel: eine auf 85 µm galvanisierte Außenbahn könnte bei gleicher Temperatur und gleicher Leiterbreite den √85/35 fachen Strom tragen. Als Ergebnis früher berechneter Parameterstudien [2] gehorcht die Temperaturerhöhung einer Leiterbahn auf FR4 Leiterplatten einem Gesetz gemäß Gleichung 2.

(Gl. 2)
In dieser Formel ist b die Breite der Leiterbahn in mm und d deren Dicke in µm. Der empirische Koeffizient BLP ist vom Aufbau der Leiterplatte abhängig und beträgt 3,6 für eine einlagige Leiterplatte, 1,7 für die zweilagige IPC-Leiterplatte und kleiner als 1,5 für Multilayer. Je kleiner der B-Wert ist, desto höher ist die Strombelastbarkeit. Gleichung 2 gilt auch für Flex-Leiterplatten, nicht jedoch für Keramiksubstrate (DCB), für die der Exponent von b bei etwa –1,1 liegt.
Artikelfiles und Artikellinks
(ID:330067)