Aktive Filter sorgen in unterschiedlichsten Anwendungen wie Signalverarbeitung, Audiotechnik oder Schaltnetzteilen für präzise Steuerung und Signalqualität. Doch wie funktionieren diese?
Aktiver Tiefpassfilter mit Schaltung zur Verstärkungssteuerung.
(Bild: Analog Devices)
Filter sind in der Elektronik und Elektrotechnik Schaltungen, die elektrische Signale je nach Frequenz in der Amplitude sowie in der Phasenlage verändern. Neben passiven Bauteilen wie Widerstände, Kondensatoren und Induktivitäten, beinhalten aktive Filter zusätzlich mindestens ein, manchmal auch mehrere aktive Bauteile, wie beispielsweise Verstärker. Durch den Einsatz von Verstärkern lassen sich leistungsfähigere Filter mit bestimmten Charakteristika effizient und kostengünstig realisieren. Ein weiterer Vorteil aktiver Filter ist, dass die Lastimpedanz der nachfolgenden Schaltungsstufen die Filtereigenschaften nicht beeinflusst. Zudem verhindert die hohe Eingangsimpedanz des Verstärkers eine übermäßige Belastung des Filterausgangs.
Filter findet man in einem breiten Spektrum von Anwendungen, wo sie folgende Aufgaben haben:
Verringerung des DC-Offsets von Verstärkern mit hoher Verstärkung .
Trennen von Signalen, indem nur die Signale von Interesse durchgelassen werden. Dies ist beispielsweise bei einem Funkempfänger der Fall, bei dem nur das für die Verarbeitung benötigte Signal durchgelassen und alle anderen Signale gedämpft werden.
Aliasing in Analog/Digital-Systemen eliminieren.
Rekonstruktion des Signals am Ausgang eines Digital/Analog-Systems unter Beseitigung höherer Frequenzanteile (Oberwellen, Abtastfrequenz).
Ein idealer Filter hat einen Amplitudengang, der für die interessierenden Frequenzen entweder Eins oder verstärkungsabhängig ist und für andere Frequenzen Null. Die Frequenz, bei der der Amplitudengang von der festen Verstärkung zu Null wechselt, wird als Grenzfrequenz oder -3 dB-Frequenz bezeichnet.
Aktiver Tiefpassfilter mit Verstärkungssteuerung
Der Frequenzgang des Filters in Bild 1 entspricht dem eines einfachen passiven Tiefpassfilters, erweitert um einen Operationsverstärker zur Verstärkungssteuerung und Verstärkung. Der Basis-RC-Tiefpassfilter stellt einen Niederfrequenzpfad bereit, indem es mit dem nichtinvertierenden Eingang des Operationsverstärkers verbunden wird.
Die Amplitude des Ausgangssignals wird im Durchlassbereich mit der Verstärkung A angehoben. A ergibt sich aus dem Verhältnis von Rückkopplungswiderstand (R2) zu Eingangswiderstand (R1), Gleichung 1.
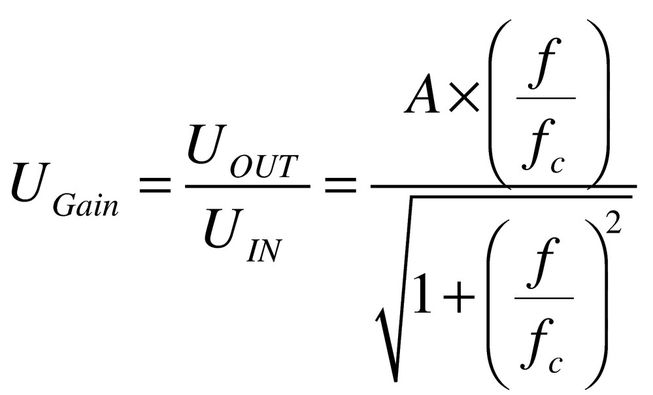
Die Verstärkung des Tiefpassfilters erster Ordnung in Abhängigkeit von der Frequenz ist daher
Darin sind:
A = Spannungsverstärkung
f = Frequenz des Eingangssignals
fc = Grenzfrequenz
Aus obiger Formel ergibt sich, dass die frequenzabhängige Verstärkung der Schaltung bei Frequenzen unterhalb der Grenzfrequenz einen Wert nahe A liefert und einen Wert von A/√2, wenn die Signalfrequenz der Grenzfrequenz entspricht. Für Frequenzen oberhalb der Grenzfrequenz sinkt die Ausgangsspannung proportional zur Zunahme der Signalfrequenz.
Aktiver Tiefpassfilter mit invertierendem Verstärker
Die Schaltung in Bild 2 zeigt ein aktiven Tiefpassfilter mit invertierendem Verstärker. Anders als bei der vorherigen Filterkonfiguration wird hier der Niederfrequenz-Eingang am invertierenden Eingang des Operationsverstärkers eingespeist.
Der Filter wirkt im Durchlassbereich als invertierender Verstärker mit der Verstärkung A, wobei A aus dem negativen Quotienten aus Rückkopplungswiderstand (R2) und Eingangswiderstand (R1) resultiert (Gleichung 4).
Die Grenzfrequenz der Schaltung berechnet sich genau wie die der nichtinvertierenden aktiven Tiefpassfilterschaltung.
Aktiver Hochpassfilter mit Verstärkungssteuerung
Jetzt geht es um die Schaltung in Bild 3. Bei dieser Filterschaltung handelt es sich um einen aktiven Hochpassfilter, der hohe Frequenzen durchlässt und verstärkt. Neben des eigentlichen RC-Hochpassfilters beinhaltet die Schaltung einen Operationsverstärker zur Verstärkungsregelung und -verstärkung. Der Frequenzgang des Filters entspricht dem eines passiven Hochpassfilters.
Die Verstärkung A des Ausgangssignals wird vom Eingangswiderstand (R3) und vom Rückkopplungswiderstand (R2) bestimmt, genau wie der eines nichtinvertierenden aktiven Tiefpassfilters. Die Verstärkung des Hochpassfilters erster Ordnung in Abhängigkeit von der Frequenz ist:
Darin sind:
A = Spannungsverstärkung
f = Frequenz des Eingangssignals
fc = Grenzfrequenz
Vergleicht man das Ergebnis mit dem idealen Frequenzgang eines passiven Hochpassfilters, so ist der Frequenzgang eines aktiven Hochpassfilters auf die Bandbreite des Operationsverstärkers oder das Verhalten des offenen Regelkreises beschränkt. Es gibt einen Punkt im Spektrum, an dem die Verstärkung mit zunehmender Frequenz abnimmt, so dass der gesamte Frequenzgang wie der eines Bandpassfilters aussieht.
Aktiver Bandpassfilter mit zwei Grenzfrequenzen
Im Gegensatz zu den obigen Filterkonfigurationen, bei denen der Durchlassbereich durch nur eine Grenzfrequenz bestimmt wird (DC bis zur Grenzfrequenz für den Tiefpassfilter und Grenzfrequenz aufwärts für den Hochpassfilter), hat der aktive Bandpassfilter zwei Grenzfrequenzen, die bestimmen, welche Frequenzen durchgelassen und welche unterdrückt werden. Bild 4 zeigt einen einfachen aktiven Bandpassfilter.
Stand: 08.12.2025
Es ist für uns eine Selbstverständlichkeit, dass wir verantwortungsvoll mit Ihren personenbezogenen Daten umgehen. Sofern wir personenbezogene Daten von Ihnen erheben, verarbeiten wir diese unter Beachtung der geltenden Datenschutzvorschriften. Detaillierte Informationen finden Sie in unserer Datenschutzerklärung.
Einwilligung in die Verwendung von Daten zu Werbezwecken
Ich bin damit einverstanden, dass die Vogel Communications Group GmbH & Co. KG, Max-Planckstr. 7-9, 97082 Würzburg einschließlich aller mit ihr im Sinne der §§ 15 ff. AktG verbundenen Unternehmen (im weiteren: Vogel Communications Group) meine E-Mail-Adresse für die Zusendung von redaktionellen Newslettern nutzt. Auflistungen der jeweils zugehörigen Unternehmen können hier abgerufen werden.
Der Newsletterinhalt erstreckt sich dabei auf Produkte und Dienstleistungen aller zuvor genannten Unternehmen, darunter beispielsweise Fachzeitschriften und Fachbücher, Veranstaltungen und Messen sowie veranstaltungsbezogene Produkte und Dienstleistungen, Print- und Digital-Mediaangebote und Services wie weitere (redaktionelle) Newsletter, Gewinnspiele, Lead-Kampagnen, Marktforschung im Online- und Offline-Bereich, fachspezifische Webportale und E-Learning-Angebote. Wenn auch meine persönliche Telefonnummer erhoben wurde, darf diese für die Unterbreitung von Angeboten der vorgenannten Produkte und Dienstleistungen der vorgenannten Unternehmen und Marktforschung genutzt werden.
Meine Einwilligung umfasst zudem die Verarbeitung meiner E-Mail-Adresse und Telefonnummer für den Datenabgleich zu Marketingzwecken mit ausgewählten Werbepartnern wie z.B. LinkedIN, Google und Meta. Hierfür darf die Vogel Communications Group die genannten Daten gehasht an Werbepartner übermitteln, die diese Daten dann nutzen, um feststellen zu können, ob ich ebenfalls Mitglied auf den besagten Werbepartnerportalen bin. Die Vogel Communications Group nutzt diese Funktion zu Zwecken des Retargeting (Upselling, Crossselling und Kundenbindung), der Generierung von sog. Lookalike Audiences zur Neukundengewinnung und als Ausschlussgrundlage für laufende Werbekampagnen. Weitere Informationen kann ich dem Abschnitt „Datenabgleich zu Marketingzwecken“ in der Datenschutzerklärung entnehmen.
Falls ich im Internet auf Portalen der Vogel Communications Group einschließlich deren mit ihr im Sinne der §§ 15 ff. AktG verbundenen Unternehmen geschützte Inhalte abrufe, muss ich mich mit weiteren Daten für den Zugang zu diesen Inhalten registrieren. Im Gegenzug für diesen gebührenlosen Zugang zu redaktionellen Inhalten dürfen meine Daten im Sinne dieser Einwilligung für die hier genannten Zwecke verwendet werden. Dies gilt nicht für den Datenabgleich zu Marketingzwecken.
Recht auf Widerruf
Mir ist bewusst, dass ich diese Einwilligung jederzeit für die Zukunft widerrufen kann. Durch meinen Widerruf wird die Rechtmäßigkeit der aufgrund meiner Einwilligung bis zum Widerruf erfolgten Verarbeitung nicht berührt. Um meinen Widerruf zu erklären, kann ich als eine Möglichkeit das unter https://contact.vogel.de abrufbare Kontaktformular nutzen. Sofern ich einzelne von mir abonnierte Newsletter nicht mehr erhalten möchte, kann ich darüber hinaus auch den am Ende eines Newsletters eingebundenen Abmeldelink anklicken. Weitere Informationen zu meinem Widerrufsrecht und dessen Ausübung sowie zu den Folgen meines Widerrufs finde ich in der Datenschutzerklärung, Abschnitt Redaktionelle Newsletter.
Die Schaltung besteht aus drei Stufen. Die erste Stufe ist ein RC-Hochpassfilter, der die untere Grenzfrequenz fL festlegt und Signale unterhalb dieser definierten Frequenz dämpft. Die nächste Stufe ist die Verstärkungsstufe – im Wesentlichen ein Operationsverstärker, der die Signale der Hochpassfilterstufe verstärkt. Rechts daneben befindet sich die RC-Tiefpassfilterstufe. Sie bestimmt die höhere Grenzfrequenz fH und dämpft Signale über dieser definierten Frequenz. Aus der Differenz zwischen oberer und unterer Grenzfrequenz ergibt sich die Bandbreite BW des Bandpassfilters.
Die Spannungsverstärkung VGAIN des Filters ergibt sich aus der Gleichung
Darin sind:
Amax ist die maximale Spannungsverstärkung. Sie resultiert aus der Multiplikation der Verstärkung der Hochpassstufe mit der Verstärkung der Tiefpassstufe
f ist die Frequenz des Eingangssignals
fL ist die untere Grenzfrequenz
fH ist die obere Grenzfrequenz
Bei näherer Betrachtung der Schaltung ist das hier vorgestellte aktive Bandpassfilter im Prinzip ein System zweiter Ordnung. Indem man ein Tiefpassfilter und ein Hochpassfilter hintereinander schaltet, entsteht ein Bandpassfilter zweiter Ordnung. Da der Filter zwei reaktive Bauteile, nämlich die Kondensatoren, enthält, wird es eine Spitzenantwort bei einer Resonanzfrequenz fr haben, die sich aus dem geometrischen Mittel der oberen und der unteren Grenzfrequenz ergibt (Gleichung 8).
Die Resonanzfrequenz wird auch als Mittenfrequenz bezeichnet. Hier wird jedoch der Begriff Resonanzfrequenz verwendet.
Abgesehen davon, dass sich aus den Grenzfrequenzen die Resonanzfrequenz ergibt, bestimmen sie auch den Gütefaktor Q des Filters. Die Güte Q ist ein Maß für die Selektivität des Filters und ist definiert als Quotient aus Resonanzfrequenz fr und Bandbreite BW (Gleichung 9). Q charakterisiert zusammen mit der Verstärkung und der Resonanzfrequenz den Frequenzgang des Filters zweiter Ordnung.
Wenn Q größer als 1 ist, hat der Bandpassfilter einen viel schmaleren Durchlassbereich. Bei Q kleiner 1 ergibt sich ein breiterer Durchlassbereich.
Signalunterdrückung mit der aktiven Bandsperre
Die Schaltung besteht aus kombinierten Hochpass- und Tiefpassfiltern. Das Eingangssignal liegt gleichzeitig an den Eingängen des Hoch- und Tiefpassfilters an. Die Signale am Ausgang jedes Filters gelangen zum Eingang des Summierverstärkers, wo sie addiert und verstärkt werden. Durch die Addition der Signale des Tief- und des Hochpassfilters überschneiden sich deren Frequenzgänge nicht. Ähnlich wie der Bandpassfilter ist auch die Bandsperre ein System zweiter Ordnung. Die Definition von Bandbreite, Gütefaktor und Resonanzfrequenz für die Bandsperre ist die gleiche wie für den Bandpassfilter. Wie der Bandpass hat auch die Bandsperre ein breiteres Sperrband, wenn Q kleiner als 1 ist und ein viel schmaleres Sperrband bei Q >1. Eine schmalbandige Bandsperre wird als Kerbfilter bezeichnet (Bild 5). (mr)
* Antoniu Miclaus ist System Applications Engineer bei Analog Devices; Doug Mercer ist Consulting Fellow bei Analog Devices.