Anbieter zum Thema
Wie sich ein Spektrumanalysator auf das System auswirkt
Bei der Messung der Produkte einer Intermodulation mit einem Spektrumanalysator können Effekte ähnlich wie bei kaskadierten aktiven Komponenten auftreten. Der Grund liegt darin, dass Spektrumanalysatoren nichtlineare Elemente wie Eingangsmischer oder Vorverstärker enthalten und daher eigene Intermodulationsprodukte erzeugen. Solche Intermodulationsprodukte können ähnlich große Amplituden aufweisen wie die vom Messobjekt erzeugten Intermodulationsprodukte.
Abhängig vom Phasenbezug der Intermodulationsprodukte von Messobjekt und Spektrumanalysator zueinander kann die gesamte gemessene Intermodulationsverzerrung größer (gleichphasige Intermodulationsprodukte) oder kleiner (gegenphasige Intermodulationsprodukte) sein als die tatsächliche IMD des Messobjekts. Beides führt zu einer Verfälschung des Messergebnisses und sollte vermieden werden.
Bei Spektrumanalysatoren ist dem HF-Eingang eine mechanische Eichleitung nachgeschaltet. Diese dient zur Pegelanpassung am Eingang nichtlinearer Komponenten des Analysators wie dem ersten Mischer (Bild 1).
Durch entsprechende Einstellung des Eingangspegels am ersten Mischer lassen sich Intermodulationsverzerrungen vermeiden. Auch wenn ein Vorverstärker verwendet wird, erzeugt der Eingangsmischer normalerweise den Hauptanteil der Intermodulationsverzerrung. Jedoch können alle Halbleiterkomponenten, die der Eichleitung nachgeschaltet sind, zur Intermodulationsverzerrung beitragen. Abhängig vom Pegel des Messsignals schränken verschiedene Faktoren den Dynamikbereich eines Spektrumanalysators ein:
- Eigenrauschen PN des Spektrumanalysators bei niedrigeren Pegeln
- Kompression des Eingangsmischers bei hohen Pegeln
- Phasenrauschen bei Signalen mit kleinem Pegel nahe an einem Träger mit hohem Pegel
Was beim Messen von Mehrton-Signalen zu beachten ist
Werden Mehrton-Signale mit einem Spektrumanalysator gemessen, können außerdem Intermodulationsprodukte den Dynamikbereich einschränken. Besonders zu beachten sind hierbei die Intermodulationsprodukte dritter Ordnung, da sie die dominierende Komponente für die IM-Verzerrung darstellen.
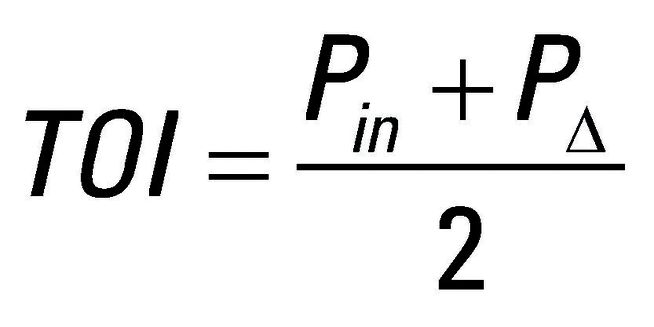
Datenblätter für Spektrumanalysatoren spezifizieren die Zweiton-Intermodulationsverzerrung als sogenannten Third-Order Intercept (TOI; deutsch: Interceptpunkt dritter Ordnung, IP3), gemessen mit einem Zweiträger-CW-Signal. TOI ist der theoretische Pegel, bei dem Intermodulationsprodukte dritter Ordnung mit derselben Amplitude wie die anliegenden CW-Signale erzeugt würden. Er kann wie folgt berechnet werden [1]:
Dabei ist TOI der Interceptpunkt dritter Ordnung in dBm, Pin der Pegel jedes der beiden Eingangssignale in dBm und PΔ die Amplitude der Intermodulationsprodukte bezogen auf Pin (Bild 2). Da aktive Komponenten in Kompression gehen, sobald sie im nichtlinearen Bereich arbeiten, kann der (theoretische) TOI-Pegel bei einer realen Messung nicht erreicht werden (am Ausgang eines Verstärkers). Er stellt jedoch eine aussagefähige Kenngröße (Figure of Merit) für die Berechnung des intermodulationsfreien Dynamikbereichs PΔdar:
PΔ=2(TOI - Pin) (Formel 2)
Die Amplitude PIM3 der Intermodulationsprodukte dritter Ordnung ist folglich:
Ein weiterer Faktor, der den Dynamikbereich einschränkt, insbesondere bei niedrigen Eingangspegeln, ist das Eigenrauschen des Spektrumanalysators. Datenblätter spezifizieren diese Größe als Eigenrauschanzeige (DANL). Kombiniert man alle Störgrößen, so ergibt sich das sogenannte Dynamic Range Chart (Dynamikbereichsdiagramm). Bei niedrigen Eingangspegeln schränkt das Eigenrauschen den Dynamikbereich ein. Bei höheren Pegeln wird diese Einschränkung wesentlich durch Intermodulationsprodukte dritter Ordnung bestimmt.
(ID:42540100)

