Anbieter zum Thema
Beispiel für ein Pierce-Gate-Design
Es sei ein 20-MHz-Clock (Taktgenerator) mittels der Pierce-Gate-Topologie zu konzipieren, der die folgenden Anforderungen erfüllen soll:
- Frequenz: 20 MHz
- Frequenz Stabilität über Temperatur: ±50 ppm
- Frequenz Toleranz bei 25 °C: ±50 ppm
- Temperaturbereich: –20 bis 70 °C
- Zusätzliche Anforderungen: Kostengünstige Bauweise, alle Komponenten in Oberflächenmontagetechnik (SMT) und keine Werkseinstellung der Komponenten zur Erfüllung der Kalibrierspezifikation von ±50 ppm.
Folgende Randbedingungen sind gegeben:
- Das Invertiergatter ist Bestandteil eines Mikroprozessors mit Cin = 4 pF und Cout = 9 pF,
- der Rückkopplungswiderstand RS ist nicht intern vorgesehen, wie aus Bild 1 ersichtlich,
- der Mikroprozessor-Hersteller hat bereits festgestellt, dass ein Kristall mit maximalem ESR von 40 Ω bei dieser Frequenz zuverlässig funktioniert.
Gesucht sind C1, C2, RS, Rf und die Spezifizierung des Quarzes.

Für die Lösung wählen wir zuerst einen Wert für Rf. Diese Komponente ist nicht kritisch für das Design und kann bei dieser Frequenz im Bereich von 470 kΩ bis 5 MΩ liegen wie in Tabelle 1 angegeben. Hier sei Rf = 1 MΩ. Der Wert von C1 und C2 zusammen mit Cin und Cout des Inverters (siehe Bild 3) dient zur Einstellung der am Quarz erforderlichen Lastkapazität. Für den Aufbau eines Taktgebers muss die Lastkapazität des Quarzes so spezifiziert werden, dass sie im Bereich der Standardwerte von 18 oder 20 pF liegt. Dies sind häufig verwendete Lastkapazitätswerte in der Quarzindustrie. Die dem Kristall in einem Pierce-Gate-Oszillator vorliegende Lastkapazität beträgt:

(Gleichung 2)
Die meisten Entwickler neigen dazu, Cin und Cout zu vernachlässigen, entweder, weil sie nicht wissen, dass diese Größen vorhanden sind, oder weil sie im Inverter-Datenblatt nicht aufgeführt sind. Sie sind jedoch, verglichen mit den externen Kapazitäten C1 und C2, wertmäßig signifikant. Wenn Cin und Cout nicht spezifiziert sind, ist ein grober Schätzwert von jeweils 5 pF ein guter Ausgangspunkt. Die Schaltung kann nachträglich durch Verändern der Startwerte von C1 und C2 optimiert werden.
Bei einem Pierce-Gate-Oszillator sollte C2 = C1 gesetzt werden oder C2 um einen oder zwei Standardwerte größer als C1. Nach einigen Schritten mittels Gleichung 2 und unter Annahme von 3 pF für die Streuverluste der Leiterplatte erhalten wir C1 = C2 = 27 pF für die Anfangswerte.

Somit ergibt sich bei den erhaltenen Werten:
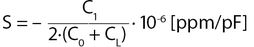
Damit ist die Lastkapazität des Quarzes mit 20 pF vorzugeben. Die einzuhaltende Kalibrierung oder Toleranz (Frequenz bei 25 °C) beträgt ebenfalls ±50 ppm. Im Gegensatz zur Anforderung „Frequenz gegenüber Temperatur“, die durch den Schnittwinkel des Kristallrohlings geregelt wird, kann die Kalibrierung auf der Leiterplatte erfolgen. Allerdings sieht die Anforderung kein Trimmen/Kalibrieren bei der Produktion vor. Zum Einstellen der Kalibrierspezifizierung auf den Quarz ohne Trimmen muss bekannt sein, wie sich die Quarzfrequenz gegenüber der Lastkapazität um den gewählten 20-pF-Lastpunkt herum verändert. Dies geht aus der Gleichung für Trimmungsempfindlichkeit hervor:

(Gleichung 3)
mit
C1: dynamische Kapazität des Quarzes
C0: Parallelkapazität des Quarzes
CL = Lastkapazitäts-Spezifizierung (hier 20 pF)
Dies ist eine praktische Gleichung, da sie angibt, wie weit entfernt von der Vorgabefrequenz der Oszillator bei Raumtemperatur für jedes pF ist, um das die Last auf Grund von Variantenstreuung bzw. Toleranz von den 20 pF entfernt ist. Das Problem dabei ist, dass für die Gleichung die dynamische und die Parallelkapazität benötigt werden, über die wir nicht verfügen. Allerdings werden wir das Problem angehen, indem wir eine Reserve für die Kalibrierung annehmen. Bei der Bestellung des Quarzes müssen beim Hersteller die Parameter für C0 und C1 erfragt werden, um sicherzustellen, dass die getroffene Annahme zutreffend ist.
(ID:281492)