Anbieter zum Thema
Die drei Arbeitspunkte bei einem LED-Treiber
Der Verlauf der Verlustleistung im Treiber ist gekennzeichnet durch im wesentlichen drei Arbeitspunkte: der erste Arbeitspunkt liegt bei VSUPPLY = VLED. Im Arbeitspunkt tritt theoretisch keine Verlustleistung im Treiber mehr auf. Ein zweiter Arbeitspunkt liegt vor, wenn die Versorgung VSUPPLY gerade ausreichend hoch ist, um den erwarteten Strom komplett aus dem primären Zweig zu treiben. Auch hier ist theoretisch die Verlustleistung im Treiber nahe null, der Shunt-Widerstand nimmt seine maximale Leistung PSHUNT, MAX auf. Der dritte relevante Arbeitspunkt ist das Verlustleistungsmaximum zwischen den beiden Minima. Dieser Arbeitspunkt liegt vor, wenn sich der Strom genau im Verhältnis 50 Prozent : 50 Prozent zwischen den Ausgängen aufteilt. Quantitativ liegt der Wert bei
Die beiden Leistungs-Nullstellen des Treibers liegen in der Theorie bei: VSUPPLY,PV,ZERO1 = VLED (Formel 4) sowie VSUPPLY,PV,ZERO2 = VLED + ILED * RSHUNT (Formel 5). Ruft man sich das Ziel wieder vor Augen, im Beispiel eine Treiberschaltung für 3x150 mA auslegen zu wollen, so kann das über zwei Widerstände mit 0,6 W realisiert werden (Bauform SMD 1206). Eine zusätzliche Kapazität an Verlustleistung von 1,2 W pro Strang wird durch diese beiden Widerstände bereitgestellt. Damit lässt sich die Leistung auf der Leiterplatte verteilen oder an einem geeigneten Ort umzusetzen, wie beispielsweise auf einem entfernten Kühlkörper.
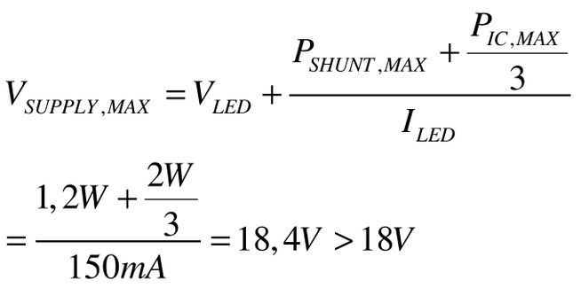
Teilt man die angenommene Verlustleistungsgrenze von 2 W im Treiber beispielsweise auf drei Kanäle zu je 0,66 W auf, so gelangt man zu folgendem Zusammenhang:
Das thermische Designziel für einen Dauerbetrieb bei einer Spannung von 18 V ist somit erreicht. In der „Bill of Material“ der Schaltung reduziert sich der Bedarf an integrierten Bausteinen erheblich. Im vorgestellte Beispiel reduziert sich der Aufwand von drei integrierten Treiber-Bausteinen auf nur noch einen, zuzüglich kostengünstiger Widerstände.
Methoden, um die Verlustleistung zu verteilen
Moderne Methoden, um die Verlustleistung zu verteilen, reduzieren den Aufwand an integrierten Schaltungen auf bis zu ein Drittel im Vergleich zu klassischen Lösungen. Gleichzeitig wird das thermische Design um die Möglichkeit erweitert, wesentliche Anteile der Verlustleistung dort anfallen zu lassen, wo sie bevorzugt abgeleitet werden kann.
Im Portfolio von Elmos Semiconductor findet sich eine ganze Familie von ICs mit diesen Vorteilen: Die Produkte E522.80 bis E522.83 sowie E522.90 bis E522.93 stellen jeweils drei individuell konfigurierbare und dimmbare Kanäle zur Verfügung. Dabei reichen die Ströme bis zu 3x150 mA pro IC. Neben dem gezeigten Powermanagement finden sich weitere Design-vereinfachende Funktionen wie Diagnosen für die Außenbeschaltung, ein Junction-Temperaturmanagement oder Überspannungsderating.
* Andre Sudhaus ist Gruppenleiter und IC-Entwickler bei Elmos Semiconductor in Dortmund.
Artikelfiles und Artikellinks
(ID:44247853)

