Power-Tipps von TI, Teil 16

Beschaltung von Durchflusswandlern mit Snubbern

< zurück

Seite: 2/2

Anbieter zum Thema

Bild 3: Das Verdoppeln der Nachschwingfrequenz ermöglicht die Berechnung der parasitären Elemente(Bild:  Texas Instruments)
Bild 3: Das Verdoppeln der Nachschwingfrequenz ermöglicht die Berechnung der parasitären Elemente
(Bild: Texas Instruments)

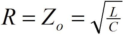
Bild 3 zeigt nochmals die Signalverläufe, nun jedoch mit 470 pF über D2 und bei der Hälfte der ursprünglichen Nachschwingfrequenz. Somit beträgt die parasitäre Kapazität der Schaltung etwa 150 pF. Zu beachten ist, dass das bloße Hinzufügen einer Kapazität auf die Nachschwingamplitude wenig Einfluss hat. Die Schaltung erfordert vielmehr einen bestimmten Widerstand, um das Nachschwingen zu dämpfen. Auch deshalb ist der Faktor 3 beim Kondensator für den Anfang ein guter Wert. Bei richtiger Wahl des Widerstandwertes stellt sich ein gutes Dämpfungsverhalten mit minimalen Einbußen beim Wirkungsgrad ein. Der optimale Wert für den Dämpfungswiderstand ist fast gleich dem Wellenwiderstand der parasitären Elemente (Gleichung 2).

Gleichung 2(Bild:  Texas Instruments)
Gleichung 2
(Bild: Texas Instruments)

Unter Rückgriff auf Gleichung 1 errechnet sich bei einer Nachschwingfrequenz von 35 MHz und einer parasitären Kapazität von 150 pF die Streuinduktivität zu 150 nH. Setzt man 150 nH in Gleichung 2 ein, ergibt sich für den Widerstand des Snubberglieds ein Wert von ca. 30 Ohm.

Bild 4: Durch geeignete Wahl des Dämpfungswiderstands lässt sich das Nachschwingen praktisch ganz eliminieren(Bild:  Texas Instruments)
Bild 4: Durch geeignete Wahl des Dämpfungswiderstands lässt sich das Nachschwingen praktisch ganz eliminieren
(Bild: Texas Instruments)

Bild 4 veranschaulicht, wie sich die Hinzunahme des Dämpfungswiderstands auswirkt. Das Nachschwingen ist praktisch eliminiert, und die Überspannung hat sich von 60 auf 40 Volt verringert. Somit kann eine Diode mit niedrigerer Nennspannung gewählt werden, was die Effizienz verbessert. Der letzte Schritt dieses Prozesses besteht in der Berechnung der Verluste im Dämpfungswiderstand.

Gleichung 3(Bild:  Texas Instruments)
Gleichung 3
(Bild: Texas Instruments)

Dies erfolgt durch Auflösen von Gleichung 3, in der f die Betriebsfrequenz ist.Nach der Berechnung müssen Sie noch entscheiden, ob die Schaltung die Verluste in der Snubber-Beschaltung verkraftet. Wenn nicht, geht es darum, einen Kompromiss zwischen dem Nachschwingen und den Snubber-Verlusten zu finden. Wie Sie den optimalen Dämpfungswiderstand ermitteln, erfahren Sie im Power-Tipp Nr. 4, (siehe dort Bild 3).

Zusammengefasst ist die Beschaltung eines Durchflusswandlers mit einem Snubberglied ein simpler Vorgang: 1) Hinzufügen der Kapazität, die eine Halbierung der Nachschwingfrequenz bewirkt 2) Berechnen der parasitären Kapazität und Induktivität 3) Berechnen des Dämpfungswiderstands und 4) Ermitteln, ob die in der Schaltung entstehenden Verluste akzeptabel sind.

Ich hoffe, Sie sind auch nächstes Mal wieder dabei, wenn wir uns mit weiteren Snubber-Bauelementen für Stromversorgungen beschäftigen wollen.

Quellenangabe

Middlebrook, R. D. und Slobodan Cuk, "Advances in Switched-Mode Power Conversion", Bd. I und II, 2. Auflage, TESLAco, 1983, 533 Seiten. Erhältlich bei TESLAco, 10 Mauchly, Irvine, CA 92718, Tel. +1 (714) 727-1960. (Erste Auflage C 1981.)

* * Robert Kollman ist Senior Applications Manager und Distinguished Member of Technical Staff bei Texas Instruments

Artikelfiles und Artikellinks

(ID:27445180)

Jetzt Newsletter abonnieren

Verpassen Sie nicht unsere besten Inhalte

Mit Klick auf „Newsletter abonnieren“ erkläre ich mich mit der Verarbeitung und Nutzung meiner Daten gemäß Einwilligungserklärung (bitte aufklappen für Details) einverstanden und akzeptiere die Nutzungsbedingungen. Weitere Informationen finde ich in unserer Datenschutzerklärung. Die Einwilligungserklärung bezieht sich u. a. auf die Zusendung von redaktionellen Newslettern per E-Mail und auf den Datenabgleich zu Marketingzwecken mit ausgewählten Werbepartnern (z. B. LinkedIn, Google, Meta).

Aufklappen für Details zu Ihrer Einwilligung