Die Auflösung

Prof. Poppe fragt nach – Folge 7

< zurück

Seite: 2/2

Anbieter zum Thema

„Wie wirkt sich die verlangsamte Ausbreitung elektromagnetischer Wellen in Materie auf den Energietransfer aus?“

1. Das hat keinen Einfluss
2. Der Energietransfer wird um einen Faktor verringert.

Antwort 1 (Das hat keinen Einfluss.) ist richtig. Das mag überraschen. Denn wenn Wasser langsamer fließt, wird auch weniger Masse pro Zeit transportiert. Wie kann es dann sein, dass eine elektromagnetische Welle bei reduzierter Geschwindigkeit genauso viel Energie genauso schnell transportiert wie bei Lichtgeschwindigkeit?

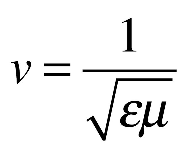
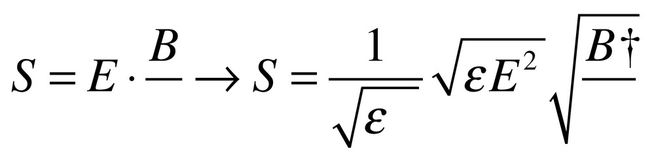
Hierzu wird der Poynting-Vektor S = ( E × B )/µ, welcher die Dichte des Energietransfers beschreibt, genauer unter die Lupe genommen. In der Regel stehen Magnetfeld und elektrisches Feld senkrecht aufeinander, so dass für die Beträge S = E⋅H = E⋅B/μ gilt. Jeder Fluss, auch der Energiefluss, ist das Produkt aus Dichte und Fließgeschwindigkeit. Es bietet sich daher an, auch den Betrag des Poynting-Vektors als ein solches Produkt hinzuschreiben. Das Resultat

0119450464v3 (Bild: VCG)

zeigt: In dem Maße, in dem die Geschwindigkeit relativ zur Lichtgeschwindigkeit reduziert wird, steigt die Energiedichte: εr = 4 halbiert die Geschwindigkeit

0119450461v3 (Bild: VCG)

und verdoppelt die elektrische Energiedichte

0119450462v3 (Bild: VCG)

Auf diese Weise bleibt die Energieflussdichte (Leistungsdichte) unverändert. Wenn also die Welle das Material durchdringt, polarisiert es dessen Moleküle, wodurch diese Energie aufnehmen. Daher geht mit der elektrischen Welle auch eine von Molekül zu Molekül weitergegebene Energiewelle einher – ein mikroskopisches Erdbeben. Die Materie bremst und verstärkt gleichzeitig die Energiedichte um genau den gleichen Faktor:

0119450460v3 (Bild: VCG)

In Bild 1 sind die Veränderungen der Welle für ein Eindringen vom Vakuum in Glas

0119450465v3 (Bild: VCG)

zusammengefasst. Der Einfachheit halber wird der reflektierte Teil außen vor gelassen. Der nicht reflektierte Teil der Strahlung wird auf 2/3 der Lichtgeschwindigkeit abgebremst. Seine magnetische Energiedichte wächst dagegen um den Faktor 3/2, während die es elektrischen Feldes auf 2/3 ihres Vakuumwertes abnimmt. Hinzu kommt eine materiegebundene Polarisationswelle, deren Energiedichte 5/6 der Energiedichte des elektrischen Feldes im Vakuum ist. So steigt die Energiedichte im Glass insgesamt um 50 Prozent gegenüber der im Vakuum.

Bild 1: Veränderungen der Energiedichten einer elektromagnetischen Welle beim Eindringen in Glass.(Bild:  M. Poppe, Prüfungstrainer Elektrotechnik)
Bild 1: Veränderungen der Energiedichten einer elektromagnetischen Welle beim Eindringen in Glass.
(Bild: M. Poppe, Prüfungstrainer Elektrotechnik)

Ergänzung zu Bild 1: Veränderungen der Energiedichten wE0 ,wB0 einer elektromagnetischen Welle beim Eindringen in Glass (ohne Reflektion). Die magnetische Energiedichte steigt auf wB1, die des elektrischen Feldes sinkt. Hinzu kommt die molekulare Polarisationsenergie mit der Dichte wMaterie.  (mr)

* Bis 2022 lehrte Prof. Martin Poppe Elektrotechnik an der Fachhochschule Münster. Er ist renommierter Autor von Fachbüchern wie „Prüfungstrainer Elektrotechnik“ (ISBN 978-3-662-65001-1), aus dem die aktuelle Frage entnommen ist, oder „Grundkurs Theoretische Elektrotechnik“ (ISBN 978-3-662-61913-1).

(ID:50094530)

Jetzt Newsletter abonnieren

Verpassen Sie nicht unsere besten Inhalte

Mit Klick auf „Newsletter abonnieren“ erkläre ich mich mit der Verarbeitung und Nutzung meiner Daten gemäß Einwilligungserklärung (bitte aufklappen für Details) einverstanden und akzeptiere die Nutzungsbedingungen. Weitere Informationen finde ich in unserer Datenschutzerklärung. Die Einwilligungserklärung bezieht sich u. a. auf die Zusendung von redaktionellen Newslettern per E-Mail und auf den Datenabgleich zu Marketingzwecken mit ausgewählten Werbepartnern (z. B. LinkedIn, Google, Meta).

Aufklappen für Details zu Ihrer Einwilligung