EP Basics Quiz

Prof. Poppe fragt nach – Folge 2

< zurück

Seite: 2/2

Anbieter zum Thema

„Wann gelten die Maxwell'schen Gleichungen?“

1. Nur, wenn keine gebundenen Ladungen und Ströme vorhanden sind
2. Nur im Vakuum
3. Immer

Sowohl Antwort 1 (Nur, wenn keine gebundenen Ladungen und Ströme vorhanden sind) als auch Antwort 2 (Nur im Vakuum) sind falsch.

Nur Antwort 3 (Immer) ist richtig – die Maxwell’schen Gleichungen gelten immer. Leider ist gleichzeitig auch richtig, dass diese Gleichungen in der Ingenieurskunst nicht zu gebrauchen sind. Dieser Konflikt von richtig und nutzlos soll im Folgenden erklärt und überwunden werden. Die Gleichungen „mit Materie“ ergeben sich dann fast zwangsläufig.

Kern des Problems ist die Tatsache, dass auf der einen Seite elektromagnetische Felder immer nur als Ganzes gemessen werden, Stromzähler aber immer nur den nicht gebundenen Anteil der Ströme messen. Man hat also einerseits Gesamtfelder, die sowohl von gebundenen als auch von freien Ladungsträgern und Strömen verursacht werden, andererseits interessiert in der Elektrotechnik in erster Linie der freie Anteil der Ladungen und Ströme. Die Maxwell’schen Gleichungen „ohne Materie“ unterscheiden nicht zwischen gebundenen und freien Strömen. Daher können sie keinen Zusammenhang herstellen zwischen dem, was der Stromzähler zählt und dem, was die Hallsonde misst. Dazu braucht man die Gleichungen „mit Materie“. Wie diese aus denen „ohne Materie“ hervorgehen (und nicht umgekehrt!) wird im Folgenden gezeigt.

Die Maxwell’schen Gleichungen lassen sich für die Felder E und B mithilfe der Ladungsdichte ρ und der Stromdichte J formulieren als:

0116518610 (Bild: Prof. Poppe)

Bild 1: Veranschaulichung der Bedeutung der Maxwell’schen Gleichungen.(Bild:  M.Poppe, Prüfungstrainer Elektrotechnik)
Bild 1: Veranschaulichung der Bedeutung der Maxwell’schen Gleichungen.
(Bild: M.Poppe, Prüfungstrainer Elektrotechnik)

Bild 1 skizziert und veranschaulicht die Bedeutung der vier Mawell'schen Gleichungen. Ein hervorstechendes Merkmal dieser vier Gleichungen ist ihre Linearität. Weil alle Gleichungen linear sind, lassen sich Ladungen, Stromdichten, Felder und die sie verknüpfenden Differenzialgleichungen ohne Verlust an Korrektheit addieren und subtrahieren.

Dies ist der Schlüssel zur Bestimmung der Gleichungen, welche den Einfluss der Materie auf elektromagnetische Felder beschreiben. Alle uns umgebenden Materialien bestehen aus geladenen Teilchen, den Elektronen und Atomkernen. Dabei bilden die Stoffe das Rückgrat der Elektrotechnik, in denen ein Teil der Ladungsträger „frei“ beweglich ist, also Strecken jenseits eines Atomdurchmessers zurücklegen kann. Die verbleibenden Ladungsträger sind gebunden. Innerhalb eines solchen Materials ist die Gesamtheit von Ladungen und Strömen durch:

0116518611 (Bild: Prof. Poppe)

gegeben. In der gleichen Weise, also so:

0116518612 (Bild: Prof. Poppe)

werden dann die Feldanteile addiert. Für beide Teilladungen und Ströme gelten die zu ihnen gehörenden Maxwell’schen Gleichungen:

0116518615 (Bild: Prof. Poppe)

Gesucht wird nun ein System von Gleichungen, welches die Gesamtfelder in Beziehung zu den freien Teilladungen und Teilströmen bringt. Dieses System erhält man durch Einsetzen von Gl. (3) in Gl. (4). Das Ergebnis:

0116518616 (Bild: Prof. Poppe)

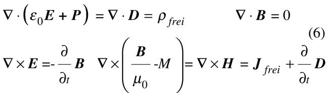
ist meist in der folgenden Form bekannt:

0116518617 (Bild: Prof. Poppe)

und wird oft als „Maxwell’sche Gleichungen für Felder in Materie“ oder auch „makroskopische Gleichungen“ bezeichnet. Diese Gleichungen sind also nicht Kern der Theorie, sondern eine Anwendung der Maxwell’schen Gleichungen (1) auf den Spezialfall, dass zwischen freien und gebundenen Ladungen und Strömen unterschieden wird. Der Vollständigkeit halber: Aus den Gleichungen (3) und (4) lassen sich auch noch zwei Gleichungen für die gebundenen Ladungen und Ströme gewinnen – es gibt also in Wahrheit sechs „Gleichungen mit Materie“.

Tabelle 1: Bedeutung der traditionellen Feldgrößen(Bild:  Prof. Poppe)
Tabelle 1: Bedeutung der traditionellen Feldgrößen
(Bild: Prof. Poppe)

Der Vergleich der Gleichungen (5) und (6) ergibt die in Tabelle 1 gezeigte Bedeutung der Feldgrößen H, D, M und P, dort ist auch nochmals die jeweilige Ursache genannt.

Sie alle sind selbst keine Felder, sondern ununterscheidbare Anteile an den beiden Feldern E und B. Wären sie eigenständige Felder, dürfte man sie nicht addieren (vergl. Äpfel und Birnen). Berechnet man zum Beispiel die Größe μ0H an einem Punkt, so gibt das Ergebnis an, welchen Beitrag die freien Ströme an dieser Stelle zum Magnetfeld leisten. (cg)

* Bis 2022 lehrte Prof. Martin Poppe Elektrotechnik an der Fachhochschule Münster. Er ist renommierter Autor von Fachbüchern wie „Prüfungstrainer Elektrotechnik“ (ISBN 978-3-662-65001-1), aus dem die aktuelle Frage entnommen ist, oder „Grundkurs Theoretische Elektrotechnik“ (ISBN 978-3-662-61913-1).

(ID:49726536)

Jetzt Newsletter abonnieren

Verpassen Sie nicht unsere besten Inhalte

Mit Klick auf „Newsletter abonnieren“ erkläre ich mich mit der Verarbeitung und Nutzung meiner Daten gemäß Einwilligungserklärung (bitte aufklappen für Details) einverstanden und akzeptiere die Nutzungsbedingungen. Weitere Informationen finde ich in unserer Datenschutzerklärung. Die Einwilligungserklärung bezieht sich u. a. auf die Zusendung von redaktionellen Newslettern per E-Mail und auf den Datenabgleich zu Marketingzwecken mit ausgewählten Werbepartnern (z. B. LinkedIn, Google, Meta).

Aufklappen für Details zu Ihrer Einwilligung