EP Basics Quiz

Prof. Poppe fragt nach – Folge 15

< zurück

Seite: 2/2

Anbieter zum Thema

„Was ist der Tunneleffekt?“

Auflösung

Alle Antworten sind richtig! Kern des Tunneleffekt ist die in der Quantenwelt vorhandene Möglichkeit eines Teilchens, für kurze Zeit in Bereiche einzudringen, für die ihm für einen dauerhaften Aufenthalt die Energie fehlt. Dies ermöglicht Elektronen in Flash-Speichern dünne Oxide zu überwinden und Protonen auf der Sonne, Kernkräfte wirken zu lassen, obwohl die elektrische Abstoßung sie eigentlich daran hindert einander nahe genug zu sein.

Mit dem Wort „Tunneleffekt“ wird ein quantenmechanisches Phänomen beschrieben, welches nach den Regeln der klassischen Physik unmöglich ist. Das Wort Tunnel geht dabei auf ein anschauliches Beispiel zurück: Ein Auto, welches antriebslos auf einen Berg zurollt, kommt aufgrund seiner kinetischen Energie bis zu einem bestimmten Punkt hinauf. Ist der Berg hoch genug, rollt es wieder zurück. Es wird nie das Tal auf der anderen Seite erreichen. Hat der Berg jedoch einen Tunnel, dann und nur dann kann das Auto im Tal jenseits des Berges ankommen. Soweit die klassische Physik. Nach den Regeln der Quantenmechanik hat jedoch jeder Berg einen „Wahrscheinlichkeitstunnel“, welcher dem Auto in seltenen Fällen erlaubt, das gegenüberliegende Tal zu erreichen. Im Falle eines Autos kann man fast 100 % sicher sein, dass es seit der Entstehung der Erde kein einziges Mal passiert ist.

Ganz anders sind die Verhältnisse auf der Nanometerskala, denn „In der Quantenwelt ist es möglich, sich durch eine energetisch verbotene Zone schnell hindurchzumogeln.“ (Richard P. Feynman)

Bild 1: Veranschaulichung des Tunneleffekts.(Bild:  M.Poppe, Grundkurs Theoretische Elektrotechnik)
Bild 1: Veranschaulichung des Tunneleffekts.
(Bild: M.Poppe, Grundkurs Theoretische Elektrotechnik)

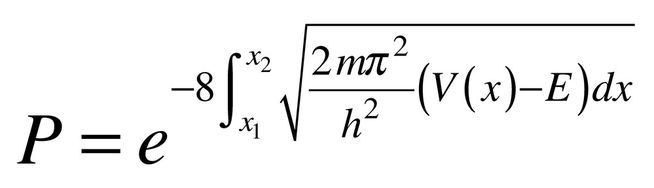
Im Alltag verlassen wir uns auf die Abwesenheit eines im Makroskopischen wirkenden Tunneleffektes. Das in Bild. 1 gezeigte Durchdringen einer Mauer ist zwar quantenmechanisch möglich, aber so unwahrscheinlich, dass es während der angenommenen Lebensdauer des Universums nicht ein einziges Mal passieren wird. Hierzu ein Blick auf die schwer herzuleitende, aber im Resultat doch verständliche Wahrscheinlichkeit P für einen Körper der Masse m und der Energie E, eine Barriere welche ihm die Lageenergie V(x) abverlangt zu durchtunneln:

0124125203v1 (Bild: VCG)

Hier sind x1 und x2 die Punkte, zwischen denen sich das Objekt klassischer Weise nicht aufhalten kann. Die Wahrscheinlichkeit nimmt also exponentiell mit der Breite ab, und die Skala wird durch das Planck‘sche Wirkungsquantum h=6,6310-34JS gesetzt. Man kann den Exponenten so lesen: Er ist der Faktor um den die Wirkung des tunnelnden Tigers größer ist als ein einzelnes Wirkungsquantum – eine unvorstellbar große Zahl. Beobachtbare Wahrscheinlichkeiten entstehen daher nur in der Welt einzelner Elementarteilchen und Atome. Der Tiger bleibt chancenlos.

Bild 2: Wellenfunktion Ψ (rot) und Dichte p (grün) der Elektronen auf dem Weg vom Inversionskanal zum floating gate. Außerhalb des Oxids ist der Verlauf von Ψ harmonisch, innerhalb stark in Flugrichtung x abnehmend.(Bild:  M.Poppe, Grundkurs Theoretische Elektrotechnik)
Bild 2: Wellenfunktion Ψ (rot) und Dichte p (grün) der Elektronen auf dem Weg vom Inversionskanal zum floating gate. Außerhalb des Oxids ist der Verlauf von Ψ harmonisch, innerhalb stark in Flugrichtung x abnehmend.
(Bild: M.Poppe, Grundkurs Theoretische Elektrotechnik)

EEPROMs sind die häufigste Anwendung des Tunneleffekts. Ihre Speicherelemente sind Transistoren mit zwei übereinander liegenden Gates, dessen unteres elektrisch isoliert („floating“) ist. Zum Speichern wird den Elektronen im Kanal möglichst viel Energie zugefügt um das obige (V(x)–E) möglichst klein und so die Tunnelwahrscheinlichkeit groß zu machen. So gelingt es dann einigen Elektronen, das Oxid zu durchtunneln und das floating gate dauerhaft aufzuladen. Denn weder ihre quantenmechanische Wellenfunktion Ψ, noch die Dichte der in Richtung Gate fliegenden Elektronen p= |Ψ|2, geht gegen Null.

Haben Sie die Antwort gewusst?  (mr)

* Bis 2022 lehrte Prof. Martin Poppe Elektrotechnik an der Fachhochschule Münster. Er ist renommierter Autor von Fachbüchern wie „Prüfungstrainer Elektrotechnik“ (ISBN 978-3-662-65001-1), aus dem die aktuelle Frage entnommen ist, oder „Grundkurs Theoretische Elektrotechnik“ (ISBN 978-3-662-61913-1).

(ID:50385928)

Jetzt Newsletter abonnieren

Verpassen Sie nicht unsere besten Inhalte

Mit Klick auf „Newsletter abonnieren“ erkläre ich mich mit der Verarbeitung und Nutzung meiner Daten gemäß Einwilligungserklärung (bitte aufklappen für Details) einverstanden und akzeptiere die Nutzungsbedingungen. Weitere Informationen finde ich in unserer Datenschutzerklärung. Die Einwilligungserklärung bezieht sich u. a. auf die Zusendung von redaktionellen Newslettern per E-Mail und auf den Datenabgleich zu Marketingzwecken mit ausgewählten Werbepartnern (z. B. LinkedIn, Google, Meta).

Aufklappen für Details zu Ihrer Einwilligung