EP Basics Quiz

Prof. Poppe fragt nach – Folge 13

< zurück

Seite: 2/2

Anbieter zum Thema

„Was sagt das Ohm’sche Gesetz über den Bremsmechanismus der Elektronen aus?“

Auflösung

Antwort 3 ist richtig. Die Proportionalität von Strom und Spannung kann nur beobachtet werden, wenn die Bewegung der Atomrümpfe für das Abbremsen verantwortlich ist. Hierzu folgende Überlegungen:

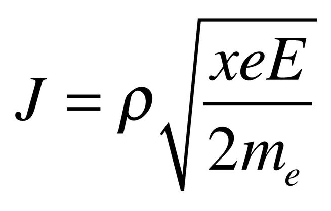
Man stelle sich die Elektronen der Einfachheit halber als quasi frei fliegende Bälle im Festkörper vor, zunächst für den Fall ruhender Hindernisse (Atomrümpfe). Wenn x als Abstand zwischen zwei Stößen festgelegt wird, vEnd als die Endgeschwindigkeit und t die Zeit, bis diese erreicht ist, dann ergibt sich eine mit der Wurzel der Feldstärke E ansteigenden Endgeschwindigkeit. Diese ist gleich der doppelten Durchschnittsgeschwindigkeit. So ergibt sich bei einer Ladungsdichte ρ eine Stromdichte (für ruhende Hindernisse)

Bildergalerie

0122987534v1 (Bild: VCG Richter)

wobei e die Elementarladung ist. Wäre also die Bewegung der Festkörperatome vernachlässigbar, müsste

0122987532v1 (Bild: VCG Richter)

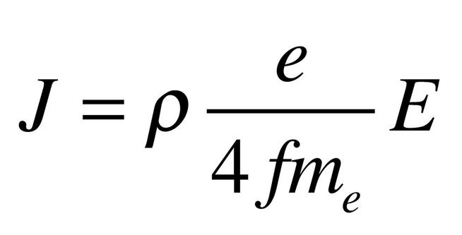
beobachtet werden. Die extreme Alternative ist, dass die Geschwindigkeit der Ladungsträger für die Stoßhäufigkeit gar keine Rolle spielt. Die Zeit t zwischen zwei Stößen wäre zum Beispiel durch die doppelte Schwingfrequenz t=1/(2f) der Festkörperatome gegeben. Dann ergäbe sich eine Stromdichte die dem Ohm’schen Gesetz entspricht (für schnell bewegte Hindernisse).

0122987533v1 (Bild: VCG Richter)

Außerdem erklärte sich der Anstieg des Widerstandes mit der Temperatur. Quantenmechanische Rechnungen führen übrigens auf ähnliche Zusammenhänge. Die Gültigkeit des Ohm’schen Gesetzes legt also nahe, dass die Bewegungen der Atomrümpfe für das Abbremsen der Elektronen entscheidend sind.

In Leitern ist die Driftgeschwindigkeit der Elektronen mit dem Wort „Schneckentempo“ gut beschrieben. Bei Halbleitern die hohen Feldstärken ausgesetzt sind kann diese Geschwindigkeit in die Größenordnung der Elektronengeschwindigkeit im thermischen Gleichgewicht nahekommen. Dann ändern sich die Verhältnisse grundlegend.

Das Endstadium ist, wie Bild 1 zeigt, erreicht, wenn die Elektronengeschwindigkeit und damit der Strom nur noch von der Temperatur abhängen – nicht mehr von der Feldstärke.

Haben Sie die Antwort gewusst, oder haben Sie etwas dazugelernt?  (mr)

* Bis 2022 lehrte Prof. Martin Poppe Elektrotechnik an der Fachhochschule Münster. Er ist renommierter Autor von Fachbüchern wie „Prüfungstrainer Elektrotechnik“ (ISBN 978-3-662-65001-1), aus dem die aktuelle Frage entnommen ist, oder „Grundkurs Theoretische Elektrotechnik“ (ISBN 978-3-662-61913-1).

(ID:50318498)

Jetzt Newsletter abonnieren

Verpassen Sie nicht unsere besten Inhalte

Mit Klick auf „Newsletter abonnieren“ erkläre ich mich mit der Verarbeitung und Nutzung meiner Daten gemäß Einwilligungserklärung (bitte aufklappen für Details) einverstanden und akzeptiere die Nutzungsbedingungen. Weitere Informationen finde ich in unserer Datenschutzerklärung. Die Einwilligungserklärung bezieht sich u. a. auf die Zusendung von redaktionellen Newslettern per E-Mail und auf den Datenabgleich zu Marketingzwecken mit ausgewählten Werbepartnern (z. B. LinkedIn, Google, Meta).

Aufklappen für Details zu Ihrer Einwilligung