EP Basics Quiz

Prof. Poppe fragt nach – Folge 12

< zurück

Seite: 2/2

Anbieter zum Thema

„ Was ist der magnetische Widerstand?“

    1) Der elektrische Widerstand eines Magneten
    2) Eine Rechengröße zur Bestimmung von Magnetfeldern
    3) Eine Näherungsgröße für Materialien mit kleinem µr

Auflösung

Antwort 2 ist richtig. Obwohl das Rechenverfahren auf bestimmten Werten von µr beruht ist Antwort 3 falsch: Das Verfahren funktioniert nur, wenn sich das Magnetfeld überwiegend in einem Material mit einem µr befindet, welches viel größer als das der Umgebung ist.

Vor der Entwicklung rechnergestützter Berechnungsverfahren wurden Magnetfelder in ferromagnetischen Konstruktionen mithilfe der sogenannten Magnetkreise berechnet. Denn es gibt Parallelen zwischen statischen Magnetfeldern und statischen, geschlossenen Stromkreisen, deren Ausnutzung es erlaubt, Magnetfelder mit den Techniken der Schaltkreisberechnung zu bestimmen.

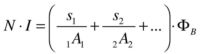
In geschlossene Formen gegebenen Ferromagnetika ist der magnetische Fluss ΦB (fast) ebenso erhalten wie der Strom I in einem Schaltkreis. Wenn die betrachteten Objekte in Einzelteile mit Längen si parallel zum Magnetfeld und Querschnitten Ai senkrecht dazu zerlegt werden können, dann kann die Berechnung des Magnetfeldes auf eine einfache Schaltkreisberechnung zurückgeführt werden. Denn das Ampere’sche Gesetz für solche, in Bild 1 gezeigten, Objekte hat die gleiche Struktur wie das Ohm’sche Gesetz:

0121959449v1 (Bild: Prof. Martin Poppe)

Daher wird jedem Teilstück der Konstruktion ein „magnetischer Widerstand“ oder auch eine „Reluktanz“ "R"=s/(µA) zugewiesen, und das Produkt N ⋅ l übernimmt die Rolle der Spannung in einem statischen Stromkreis. In der Folge können die Berechnungsverfahren für statische Stromkreise auch für Magnetfelder in Motoren und Transformatoren genutzt werden – zum Beispiel das Maschenstromverfahren oder die Überlagerungsmethode. Das Ergebnis kann zurückübersetzt werden: Man erhält aus dem jeweiligen Strom für jedes Materialstück einen magnetischen Fluss ΦB aus dem dann mittels B= ΦB/(hb) die Stärke des (Kraft-) Feldes B gewonnen werden kann.

Magnetkreise werden gerne überinterpretiert. Daher noch zwei Hinweise:

Erstens kann alles, was mit Magnetkreissubstitutionen berechnet wird auch ohne diese berechnet werden.

Zweitens handelt es sich hier um ein Berechnungsverfahren - mehr nicht.

Alle für Magnetkreise eingeführten Größen haben nur innerhalb dieses Verfahrens eine Bedeutung. In der Vergangenheit unternommene Versuche, eine symmetrische Theorie von elektrischen Feldern und Magnetfeldern zu konstruieren, scheiterten ausnahmslos, wenn zeitabhängige Felder betrachtet wurden. (mr)

* Bis 2022 lehrte Prof. Martin Poppe Elektrotechnik an der Fachhochschule Münster. Er ist renommierter Autor von Fachbüchern wie „Prüfungstrainer Elektrotechnik“ (ISBN 978-3-662-65001-1), aus dem die aktuelle Frage entnommen ist, oder „Grundkurs Theoretische Elektrotechnik“ (ISBN 978-3-662-61913-1).

(ID:50251800)

Jetzt Newsletter abonnieren

Verpassen Sie nicht unsere besten Inhalte

Mit Klick auf „Newsletter abonnieren“ erkläre ich mich mit der Verarbeitung und Nutzung meiner Daten gemäß Einwilligungserklärung (bitte aufklappen für Details) einverstanden und akzeptiere die Nutzungsbedingungen. Weitere Informationen finde ich in unserer Datenschutzerklärung. Die Einwilligungserklärung bezieht sich u. a. auf die Zusendung von redaktionellen Newslettern per E-Mail und auf den Datenabgleich zu Marketingzwecken mit ausgewählten Werbepartnern (z. B. LinkedIn, Google, Meta).

Aufklappen für Details zu Ihrer Einwilligung