Anbieter zum Thema
Optimierung nach verschiedenen Vorgaben

In WEBENCH wird die Optimierung in Richtung kleiner Footprint, hoher Wirkungsgrad und niedrige Materialkosten durch einen virtuellen Drehknopf und mithilfe von Grafiken vereinfacht. Der Anwender kann den Knopf nach rechts drehen, um einen hohen Wirkungsgrad zu erzielen, oder für einen kleinen Footprint nach links. In Bild 6 ist ein Diagramm mit Optimierungen für einen Buck-Schaltregler zu sehen. Generell ist bei einer hohen Optimierungszahl (rechte Seite des Diagramms) die Schaltfrequenz niedriger, was geringere Schaltverluste und einen höheren Wirkungsgrad zur Folge hat. Dies erfordert allerdings auch eine höhere Induktivität zur Begrenzung des Welligkeitsstroms, sodass eine größere Spule mit mehr Windungen benötigt wird und der Footprint des Designs größer wird. Das Gegenteil trifft bei niedrigen Optimierungszahlen (linke Seite) zu. Dank höherer Schaltfrequenzen kann die Induktivität niedriger gewählt werden. Die dementsprechend kompaktere Spule verkleinert den Footprint, jedoch haben die vermehrten AC-Schaltverluste auch eine Verringerung des Wirkungsgrads zur Folge. Der Zielkonflikt zwischen hohem Wirkungsgrad und kleinem Footprint wird hieran sehr gut deutlich.
Elektrische Simulation
Was sollte einen Designer zu einer elektrischen Simulation veranlassen, wenn doch das Design bereits erstellt und hinsichtlich seiner wichtigsten Parameter optimiert ist? Ein Beweggrund könnte sein, die Funktionsfähigkeit unter dynamischen Bedingungen zu verifizieren. Ebenso könnte eine weitere Optimierung des Designs erwünscht sein; beispielsweise um ein schnelleres Einschwingverhalten zu erzielen, die Ausgangsspannungswelligkeit zu minimieren oder die Schleifenstabilität zu verbessern. Im WEBENCH Electrical Simulator sind die folgenden Simulationsarten verfügbar: Bode-Diagramm (AC), statischer Zustand, Anlaufphase sowie Reaktion auf Eingangs- und Lastsprünge. Alle diese Simulationen geben dem Anwender die Möglichkeit, verschiedene Stimulusquellen zu konfigurieren, um eine definierte Störung in der Schaltung hervorzurufen und die Reaktion zu beobachten.

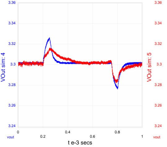
Als Beispiel soll betrachtet werden, wie zwei verschiedene Schaltregler reagieren, wenn der Laststrom von 2 A plötzlich auf 0,2 A abfällt und wieder auf 2 A ansteigt; mit einer Abfall- und Anstiegszeit von jeweils 50 µs. Bild 7 zeigt Simulationen zum Vergleich des im Voltage-Mode-PWM-Modus arbeitenden LM22680 mit dem LM25576, der auf dem Emulated-Current-Mode-Regelverfahren (ECM) basiert. Wie man sieht, erholt sich der ECM-Regler schneller von den Lastsprüngen, während beim PWM-Baustein das Über- und Unterschwingen geringer ist. Welcher Lösung der Vorzug gegeben wird, hängt also davon ab, welches Verhalten für den Designer wichtiger ist.
(ID:332960)